Suppr超能文献

肉毒毒素注射对痉挛性脑瘫患者髋关节脱位进展的影响:一项初步研究。

Effect of Botulinum Toxin Injection on the Progression of Hip Dislocation in Patients with Spastic Cerebral Palsy: A Pilot Study.

机构信息

Department of Rehabilitation Medicine, Seoul National University Hospital, Seoul National University College of Medicine, Seoul 03080, Korea.

Department of Rehabilitation Medicine, Seoul National University Bundang Hospital, Seoul National University College of Medicine, Seongnam-si 13620, Korea.

出版信息

Toxins (Basel). 2021 Dec 6;13(12):872. doi: 10.3390/toxins13120872.

Abstract

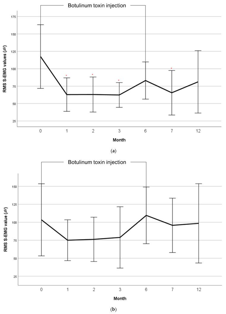
Hip adductor spasticity is a contributing factor to hip dislocation in patients with cerebral palsy (CP). We hypothesized that botulinum toxin injected into the hip adductor muscles would reduce spasticity and help prevent hip dislocation. Twenty patients with bilateral spastic CP aged 2 to 10 years with gross motor function classification system level IV or V were included. Botulinum toxin was injected into the hip adductor muscles at baseline and at 6-month follow-up. Muscle tone was measured with an eight-channel surface electromyography (EMG) recorder. A hip X-ray was performed, and Reimer's hip migration index (MI) was measured. The Wilcoxon signed-rank test was used to compare the surface EMG values of the hip muscles at baseline and follow-up. The mean root mean square surface EMG value of the hip adductor muscles was significantly reduced at 1, 2, 3, and 7 months after the first injection, up to approximately 53% of the baseline. The 1-year progression of the hip MI was -0.04%. Repeated sessions of botulinum toxin injections at the hip adductor muscles significantly reduced muscle tone and hip displacement. A botulinum toxin injection may be used as an adjunctive treatment in the prevention of hip dislocation.

摘要

髋关节内收肌痉挛是脑瘫(CP)患者髋关节脱位的一个致病因素。我们假设将肉毒毒素注射到髋关节内收肌中可以减轻痉挛并有助于预防髋关节脱位。本研究纳入了 20 名年龄在 2 至 10 岁、双侧痉挛性 CP、粗大运动功能分类系统 IV 级或 V 级的患者。在基线和 6 个月随访时,将肉毒毒素注射到髋关节内收肌中。使用 8 通道表面肌电图(EMG)记录器测量肌肉张力。进行髋关节 X 线检查,并测量 Reimer 髋关节迁移指数(MI)。采用 Wilcoxon 符号秩检验比较基线和随访时髋关节肌肉的表面 EMG 值。首次注射后 1、2、3 和 7 个月,髋关节内收肌的平均均方根表面 EMG 值显著降低,约为基线值的 53%。髋关节 MI 的 1 年进展为-0.04%。髋关节内收肌肉毒毒素重复注射可显著降低肌肉张力和髋关节移位。肉毒毒素注射可作为预防髋关节脱位的辅助治疗。

https://cdn.ncbi.nlm.nih.gov/pmc/blobs/df0e/8707328/d5de8a8dae7f/toxins-13-00872-g001.jpg

文献AI研究员

20分钟写一篇综述,助力文献阅读效率提升50倍。

立即体验

用中文搜PubMed

大模型驱动的PubMed中文搜索引擎

马上搜索

文档翻译

学术文献翻译模型,支持多种主流文档格式。

立即体验