• 文献检索
  • 文档翻译
  • 深度研究
  • 学术资讯
  • Suppr Zotero 插件Zotero 插件
  • 邀请有礼
  • 套餐&价格
  • 历史记录
应用&插件
Suppr Zotero 插件Zotero 插件浏览器插件Mac 客户端Windows 客户端微信小程序
定价
高级版会员购买积分包购买API积分包
服务
文献检索文档翻译深度研究API 文档MCP 服务
关于我们
关于 Suppr公司介绍联系我们用户协议隐私条款
关注我们

Suppr 超能文献

核心技术专利:CN118964589B侵权必究
粤ICP备2023148730 号-1Suppr @ 2026

文献检索

告别复杂PubMed语法,用中文像聊天一样搜索,搜遍4000万医学文献。AI智能推荐,让科研检索更轻松。

立即免费搜索

文件翻译

保留排版,准确专业,支持PDF/Word/PPT等文件格式,支持 12+语言互译。

免费翻译文档

深度研究

AI帮你快速写综述,25分钟生成高质量综述,智能提取关键信息,辅助科研写作。

立即免费体验

成人肠生态失调,链球菌过度生长与过敏性紫癜肾炎(IgA 血管炎伴肾炎)相关。

Intestinal dysbiosis featuring abundance of Streptococcus associates with Henoch-Schönlein purpura nephritis (IgA vasculitis with nephritis) in adult.

机构信息

West China Hospital, Sichuan University, Chengdu, Sichuan, China.

West China School of Medicine, Sichuan University, Chengdu, Sichuan, China.

出版信息

BMC Nephrol. 2022 Jan 3;23(1):10. doi: 10.1186/s12882-021-02638-x.

DOI:10.1186/s12882-021-02638-x
PMID:34979948
原文链接:https://pmc.ncbi.nlm.nih.gov/articles/PMC8722171/
Abstract

BACKGROUND

The pathogenesis of Henoch-Schönlein purpura nephritis (HSPN) is closely associated with mucosal infection. But whether intestinal microbiota dysbiosis plays a role in it is not clear.

METHODS

A total of 52 participants including 26 HSPN patients and 26 healthy controls were included. By using 16S ribosomal RNA gene sequencing, the intestinal microbiota composition between HSPN and healthy controls was compared. The diagnostic potency was evaluated by Receiver operating characteristic (ROC) with area under curves (AUC). Meanwhile, correlation analysis was also performed.

RESULTS

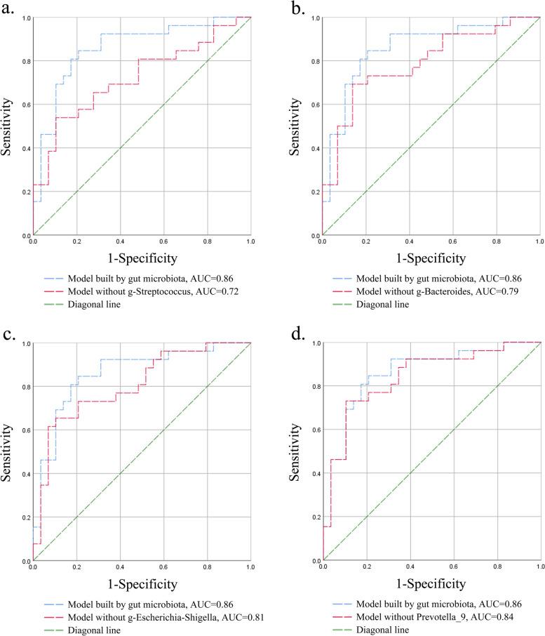
The lower community richness and diversity of fecal microbiota was displayed in HSPN patients and the structure of gut microbiota was remarkedly different. A genus-level comparison indicated a significant increase in the proportions of g-Bacteroides, g-Escherichia-Shigella and g-Streptococcus, and a marked reduction of g-Prevotella_9 in HSPN patients, suggesting that the overrepresentation of potential pathogens and reduction of profitable strains were the main feature of the dysbiosis. The differential taxonomic abundance might make sense for distinguishing HSPN from healthy controls, with AUC of 0.86. The relative abundance of the differential bacteria was also concerned with clinical indices. Among them, Streptococcus spp. was positively associated with the severity of HSPN (P < 0.050). It was found that HSPN patients with higher level of Streptococcus spp. were more likely to suffering from hematuria and hypoalbuminemia (P < 0.050).

CONCLUSIONS

The dysbiosis of gut microbiota was obvious in HSPN patients, and the intestinal mucosal streptococcal infection was distinctive, which was closely related to its severity.

摘要

背景

过敏性紫癜肾炎(HSPN)的发病机制与黏膜感染密切相关。但肠道微生物群失调是否在其中起作用尚不清楚。

方法

共纳入 52 名参与者,包括 26 名 HSPN 患者和 26 名健康对照者。采用 16S 核糖体 RNA 基因测序,比较 HSPN 与健康对照组之间的肠道微生物组成。采用接收者操作特征(ROC)曲线评估诊断效能,曲线下面积(AUC)。同时进行相关性分析。

结果

HSPN 患者粪便微生物群落丰富度和多样性较低,肠道微生物群结构明显不同。属水平比较表明,g-Bacteroides、g-Escherichia-Shigella 和 g-Streptococcus 的比例显著增加,g-Prevotella_9 的比例明显降低,提示潜在致病菌的过度表达和有益菌株的减少是菌群失调的主要特征。分类丰度的差异可能有助于区分 HSPN 与健康对照组,AUC 为 0.86。差异细菌的相对丰度也与临床指标有关。其中,链球菌属与 HSPN 的严重程度呈正相关(P<0.050)。研究发现,链球菌属水平较高的 HSPN 患者更易出现血尿和低白蛋白血症(P<0.050)。

结论

HSPN 患者肠道微生物群失调明显,肠道黏膜链球菌感染具有特征性,与疾病严重程度密切相关。

https://cdn.ncbi.nlm.nih.gov/pmc/blobs/5885/8722171/c1fc8ae70405/12882_2021_2638_Fig3_HTML.jpg
https://cdn.ncbi.nlm.nih.gov/pmc/blobs/5885/8722171/559b228c8bbe/12882_2021_2638_Fig1_HTML.jpg
https://cdn.ncbi.nlm.nih.gov/pmc/blobs/5885/8722171/a9d9e39f67ea/12882_2021_2638_Fig2_HTML.jpg
https://cdn.ncbi.nlm.nih.gov/pmc/blobs/5885/8722171/c1fc8ae70405/12882_2021_2638_Fig3_HTML.jpg
https://cdn.ncbi.nlm.nih.gov/pmc/blobs/5885/8722171/559b228c8bbe/12882_2021_2638_Fig1_HTML.jpg
https://cdn.ncbi.nlm.nih.gov/pmc/blobs/5885/8722171/a9d9e39f67ea/12882_2021_2638_Fig2_HTML.jpg
https://cdn.ncbi.nlm.nih.gov/pmc/blobs/5885/8722171/c1fc8ae70405/12882_2021_2638_Fig3_HTML.jpg

相似文献

1
Intestinal dysbiosis featuring abundance of Streptococcus associates with Henoch-Schönlein purpura nephritis (IgA vasculitis with nephritis) in adult.成人肠生态失调,链球菌过度生长与过敏性紫癜肾炎(IgA 血管炎伴肾炎)相关。
BMC Nephrol. 2022 Jan 3;23(1):10. doi: 10.1186/s12882-021-02638-x.
2
Gut Microbiota Variations between Henoch-Schonlein Purpura and Henoch-Schonlein Purpura Nephritis.过敏性紫癜与过敏性紫癜性肾炎之间的肠道微生物群差异
Gastroenterol Res Pract. 2022 Apr 14;2022:4003491. doi: 10.1155/2022/4003491. eCollection 2022.
3
Variations of tongue coating microbiota in children with Henoch-Schönlein purpura nephritis.儿童过敏性紫癜肾炎患者舌象菌群的变化。
Microb Pathog. 2021 Nov;160:105192. doi: 10.1016/j.micpath.2021.105192. Epub 2021 Sep 14.
4
Gut microbiota dysbiosis is associated with Henoch-Schönlein Purpura in children.肠道微生物失调与儿童过敏性紫癜有关。
Int Immunopharmacol. 2018 May;58:1-8. doi: 10.1016/j.intimp.2018.03.003. Epub 2018 Mar 8.
5
Exploring potential predictors of Henoch-Schönlein purpura nephritis: a pilot investigation on urinary metabolites.探讨过敏性紫癜肾炎的潜在预测因子:尿液代谢物的初步研究。
Eur J Pediatr. 2024 Jul;183(7):3117-3128. doi: 10.1007/s00431-024-05573-9. Epub 2024 Apr 26.
6
Modified Sipjeondaebo-tang (JAROTANG) for Henoch-Schonlein purpura nephritis (HSPN): Two case reports.加味四君子汤(柴罗汤)治疗过敏性紫癜性肾炎(HSPN):两例病例报告
Explore (NY). 2023 May-Jun;19(3):439-444. doi: 10.1016/j.explore.2022.10.001. Epub 2022 Oct 10.
7
Differences in Manifestations and Gut Microbiota Composition Between Patients With Different Henoch-Schonlein Purpura Phenotypes.不同 Henoch-Schonlein 紫癜表型患者的表现和肠道微生物组成的差异。
Front Cell Infect Microbiol. 2021 Jul 1;11:641997. doi: 10.3389/fcimb.2021.641997. eCollection 2021.
8
Proteome analysis reveals novel serum biomarkers for Henoch-Schönlein purpura in Chinese children.蛋白质组分析揭示中国儿童过敏性紫癜新的血清生物标志物。
J Proteomics. 2023 Mar 30;276:104841. doi: 10.1016/j.jprot.2023.104841. Epub 2023 Feb 14.
9
Different histological classifications for Henoch-Schönlein purpura nephritis: which one should be used?过敏性紫癜性肾炎的不同组织学分类:应采用哪一种?
Pediatr Rheumatol Online J. 2019 Feb 28;17(1):10. doi: 10.1186/s12969-019-0311-z.
10
Effect of gut microbiota from Henoch-Schönlein Purpura patients on acid-sensitive ion channel 3 expression and intestinal motility in germ-free rats.过敏性紫癜患者肠道菌群对无菌大鼠酸敏感离子通道 3 表达和肠道运动的影响。
BMC Pediatr. 2021 Dec 1;21(1):536. doi: 10.1186/s12887-021-03013-3.

引用本文的文献

1
From gut to proteomics: the impact of on post-translational modifications in colorectal cancer.从肠道到蛋白质组学:[具体因素]对结直肠癌翻译后修饰的影响。 (原文中“the impact of ”部分缺失具体内容)
Front Oncol. 2025 Aug 18;15:1599183. doi: 10.3389/fonc.2025.1599183. eCollection 2025.
2
Methodological considerations in gut microbiota research on IgA vasculitis: terminology, data presentation, and evidence limitations.IgA血管炎肠道微生物群研究中的方法学考量:术语、数据呈现及证据局限性
Int Urol Nephrol. 2025 Aug 20. doi: 10.1007/s11255-025-04753-2.
3
Dynamic flexibility of the murine gut microbiota to morphine disturbance enables escape from the stable dysbiosis associated with addiction-like behavior.

本文引用的文献

1
Persistent Hematuria and Kidney Disease Progression in IgA Nephropathy: A Cohort Study.IgA 肾病患者持续性血尿与肾脏疾病进展的相关性:一项队列研究。
Am J Kidney Dis. 2020 Jul;76(1):90-99. doi: 10.1053/j.ajkd.2019.11.008. Epub 2020 Mar 18.
2
Fecal microbiota characteristics of Chinese patients with primary IgA nephropathy: a cross-sectional study.中国原发性 IgA 肾病患者的粪便微生物群特征:一项横断面研究。
BMC Nephrol. 2020 Mar 13;21(1):97. doi: 10.1186/s12882-020-01741-9.
3
Streptococcus may aggravate inflammatory damage in chronic nephritis via the chemotaxis of Th22 cells.
小鼠肠道微生物群对吗啡干扰的动态灵活性能够避免与成瘾样行为相关的稳定失调。
bioRxiv. 2025 Jun 1:2025.06.01.657215. doi: 10.1101/2025.06.01.657215.
4
Gut dysbiosis was inevitable, but tolerance was not: temporal responses of the murine microbiota that maintain its capacity for butyrate production correlate with sustained antinociception to chronic morphine.肠道菌群失调是不可避免的,但耐受性并非如此:维持丁酸盐产生能力的小鼠微生物群的时间反应与对慢性吗啡的持续抗伤害感受相关。
Gut Microbes. 2025 Dec;17(1):2446423. doi: 10.1080/19490976.2024.2446423. Epub 2025 Jan 12.
5
Exploration of the pathogenesis of nephrotic syndrome and traditional Chinese medicine intervention based on gut microbiota.基于肠道菌群的肾病综合征发病机制探索与中医干预
Front Immunol. 2024 Dec 9;15:1430356. doi: 10.3389/fimmu.2024.1430356. eCollection 2024.
6
Gut dysbiosis was inevitable, but tolerance was not: temporal responses of the murine microbiota that maintain its capacity for butyrate production correlate with sustained antinociception to chronic morphine.肠道微生物群失调不可避免,但耐受性并非如此:维持其丁酸盐产生能力的小鼠微生物群的时间反应与对慢性吗啡的持续抗伤害感受相关。
bioRxiv. 2024 Nov 27:2024.04.15.589671. doi: 10.1101/2024.04.15.589671.
7
Investigation of Gut Microbiota Disorders in Sepsis and Sepsis Complicated with Acute Gastrointestinal Injury Based on 16S rRNA Genes Illumina Sequencing.基于16S rRNA基因Illumina测序技术对脓毒症及脓毒症合并急性胃肠损伤患者肠道微生物群紊乱情况的研究
Infect Drug Resist. 2023 Nov 30;16:7389-7403. doi: 10.2147/IDR.S440335. eCollection 2023.
8
Regulation of the innate immune response and gut microbiome by p53.p53 对固有免疫反应和肠道微生物组的调节作用。
Cancer Sci. 2024 Jan;115(1):184-196. doi: 10.1111/cas.15991. Epub 2023 Dec 4.
9
Alterations of the gut microbiota in the lupus nephritis: a systematic review.狼疮性肾炎肠道微生物群的改变:系统评价。
Ren Fail. 2023;45(2):2285877. doi: 10.1080/0886022X.2023.2285877. Epub 2023 Nov 23.
10
Landscape of intestinal microbiota in patients with IgA nephropathy, IgA vasculitis and Kawasaki disease.IgA 肾病、IgA 血管炎和川崎病患者的肠道微生物组景观。
Front Cell Infect Microbiol. 2022 Dec 16;12:1061629. doi: 10.3389/fcimb.2022.1061629. eCollection 2022.
链球菌可能通过Th22细胞的趋化作用加重慢性肾炎中的炎症损伤。
Am J Transl Res. 2019 Dec 15;11(12):7432-7440. eCollection 2019.
4
Association between fecal microbiota and generalized anxiety disorder: Severity and early treatment response.粪便微生物群与广泛性焦虑障碍的关联:严重程度和早期治疗反应。
J Affect Disord. 2019 Dec 1;259:56-66. doi: 10.1016/j.jad.2019.08.014. Epub 2019 Aug 13.
5
Extrarenal Immune-Mediated Disorders Linked with Acute Poststreptococcal Glomerulonephritis: a Systematic Review.与急性链球菌感染后肾小球肾炎相关的肾外免疫介导性疾病:系统评价。
Clin Rev Allergy Immunol. 2019 Oct;57(2):294-302. doi: 10.1007/s12016-019-08761-w.
6
Dysbiosis of the gut microbiome is associated with CKD5 and correlated with clinical indices of the disease: a case-controlled study.肠道微生物组失调与 CKD5 相关,并与疾病的临床指标相关:一项病例对照研究。
J Transl Med. 2019 Jul 17;17(1):228. doi: 10.1186/s12967-019-1969-1.
7
Crescent lesions are not a predictive factor in adult-onset Henoch-Schönlein purpura nephritis.新月形皮损并非成人发病型亨-舍二氏紫癜肾炎的预测因素。
Clin Exp Med. 2019 Nov;19(4):449-456. doi: 10.1007/s10238-019-00567-6. Epub 2019 Jul 10.
8
Understanding the gut-kidney axis among biopsy-proven diabetic nephropathy, type 2 diabetes mellitus and healthy controls: an analysis of the gut microbiota composition.理解活检证实的糖尿病肾病、2 型糖尿病和健康对照组之间的肠-肾轴:肠道微生物组组成的分析。
Acta Diabetol. 2019 May;56(5):581-592. doi: 10.1007/s00592-019-01316-7. Epub 2019 Mar 19.
9
Food-induced IgA Vasculitis (Henoch-Schönlein Purpura).食物诱导的IgA血管炎(过敏性紫癜)。
Eur J Case Rep Intern Med. 2018 Feb 22;5(2):000774. doi: 10.12890/2017_000774. eCollection 2018.
10
Effects of probiotic supplements on the progression of chronic kidney disease: A meta-analysis.益生菌补充剂对慢性肾脏病进展的影响:一项荟萃分析。
Nephrology (Carlton). 2019 Nov;24(11):1122-1130. doi: 10.1111/nep.13549. Epub 2019 Apr 30.