• 文献检索
  • 文档翻译
  • 深度研究
  • 学术资讯
  • Suppr Zotero 插件Zotero 插件
  • 邀请有礼
  • 套餐&价格
  • 历史记录
应用&插件
Suppr Zotero 插件Zotero 插件浏览器插件Mac 客户端Windows 客户端微信小程序
定价
高级版会员购买积分包购买API积分包
服务
文献检索文档翻译深度研究API 文档MCP 服务
关于我们
关于 Suppr公司介绍联系我们用户协议隐私条款
关注我们

Suppr 超能文献

核心技术专利:CN118964589B侵权必究
粤ICP备2023148730 号-1Suppr @ 2026

文献检索

告别复杂PubMed语法,用中文像聊天一样搜索,搜遍4000万医学文献。AI智能推荐,让科研检索更轻松。

立即免费搜索

文件翻译

保留排版,准确专业,支持PDF/Word/PPT等文件格式,支持 12+语言互译。

免费翻译文档

深度研究

AI帮你快速写综述,25分钟生成高质量综述,智能提取关键信息,辅助科研写作。

立即免费体验

冠心病和高血压患者肠道微生物群的分析

Analysis of Gut Microbiota in Patients with Coronary Artery Disease and Hypertension.

作者信息

Wan Chuanqi, Zhu Chen, Jin Gulei, Zhu Min, Hua Junyi, He Yuzhou

机构信息

The First Affiliated Hospital of Zhejiang Chinese Medical University, Hangzhou, China.

Guhe Information Technology Company, Hangzhou, China.

出版信息

Evid Based Complement Alternat Med. 2021 Dec 27;2021:7195082. doi: 10.1155/2021/7195082. eCollection 2021.

DOI:10.1155/2021/7195082
PMID:34987598
原文链接:https://pmc.ncbi.nlm.nih.gov/articles/PMC8723847/
Abstract

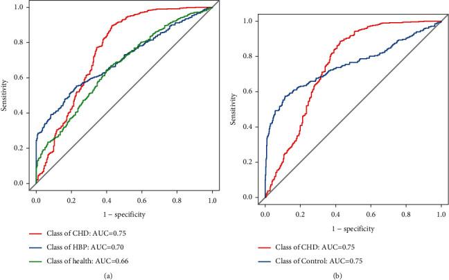
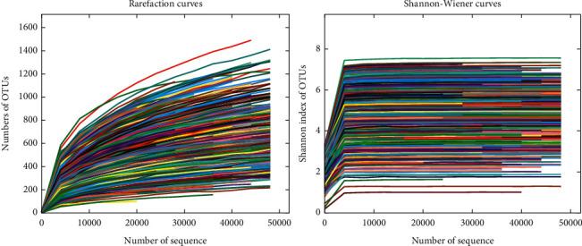
Cardiovascular and cerebrovascular diseases are characterized by high rates of morbidity and mortality. Microbiota is closely associated with cardiovascular disease. We aimed to comprehensively analyze the microbiotas of 300 healthy controls, 300 patients with high blood pressure (HBP), and 300 patients with coronary heart disease (CHD). The results indicated no significant difference in microbiota diversity among the three groups ( > 0.05). However, differences in microbiota richness among the three groups were significant ( < 0.05). Bacteroidetes and Bacteroidia were the dominant bacteria in the CHD group, Enterobacteriales and in the HBP group, and Acidaminococcaceae and in the healthy control group. The prediction results of the random forest model indicated that the population with CHD displayed prominent features with high sensitivity, indicating that microbiota detection might become a novel clinical indicator to predict and monitor the risk of cardiovascular events. The prediction of microbiota function suggested differences in oxygen supply and chronic inflammation between populations with HBP/CHD and healthy populations. Although there is no difference in gut microbiota diversity among the three groups, each group has its dominant microbiota in terms of richness.

摘要

心血管疾病具有高发病率和高死亡率的特点。微生物群与心血管疾病密切相关。我们旨在全面分析300名健康对照者、300名高血压患者(HBP)和300名冠心病患者(CHD)的微生物群。结果表明,三组之间的微生物群多样性无显著差异(>0.05)。然而,三组之间的微生物群丰富度存在显著差异(<0.05)。拟杆菌门和拟杆菌纲是冠心病组中的优势菌,肠杆菌目是高血压组中的优势菌,而健康对照组中的优势菌是氨基酸球菌科。随机森林模型的预测结果表明,冠心病患者群体具有高敏感性的显著特征,这表明微生物群检测可能成为预测和监测心血管事件风险的一种新型临床指标。微生物群功能预测表明,高血压/冠心病患者群体与健康群体在氧气供应和慢性炎症方面存在差异。尽管三组之间肠道微生物群多样性没有差异,但就丰富度而言,每组都有其优势微生物群。

https://cdn.ncbi.nlm.nih.gov/pmc/blobs/5c43/8723847/f3780f733449/ECAM2021-7195082.007.jpg
https://cdn.ncbi.nlm.nih.gov/pmc/blobs/5c43/8723847/6b6334a19059/ECAM2021-7195082.001.jpg
https://cdn.ncbi.nlm.nih.gov/pmc/blobs/5c43/8723847/9a0024f8bcc4/ECAM2021-7195082.002.jpg
https://cdn.ncbi.nlm.nih.gov/pmc/blobs/5c43/8723847/dee74b228a28/ECAM2021-7195082.003.jpg
https://cdn.ncbi.nlm.nih.gov/pmc/blobs/5c43/8723847/c28204b5f23d/ECAM2021-7195082.004.jpg
https://cdn.ncbi.nlm.nih.gov/pmc/blobs/5c43/8723847/8ac9cbbca9ee/ECAM2021-7195082.005.jpg
https://cdn.ncbi.nlm.nih.gov/pmc/blobs/5c43/8723847/eda9fa9b3ff8/ECAM2021-7195082.006.jpg
https://cdn.ncbi.nlm.nih.gov/pmc/blobs/5c43/8723847/f3780f733449/ECAM2021-7195082.007.jpg
https://cdn.ncbi.nlm.nih.gov/pmc/blobs/5c43/8723847/6b6334a19059/ECAM2021-7195082.001.jpg
https://cdn.ncbi.nlm.nih.gov/pmc/blobs/5c43/8723847/9a0024f8bcc4/ECAM2021-7195082.002.jpg
https://cdn.ncbi.nlm.nih.gov/pmc/blobs/5c43/8723847/dee74b228a28/ECAM2021-7195082.003.jpg
https://cdn.ncbi.nlm.nih.gov/pmc/blobs/5c43/8723847/c28204b5f23d/ECAM2021-7195082.004.jpg
https://cdn.ncbi.nlm.nih.gov/pmc/blobs/5c43/8723847/8ac9cbbca9ee/ECAM2021-7195082.005.jpg
https://cdn.ncbi.nlm.nih.gov/pmc/blobs/5c43/8723847/eda9fa9b3ff8/ECAM2021-7195082.006.jpg
https://cdn.ncbi.nlm.nih.gov/pmc/blobs/5c43/8723847/f3780f733449/ECAM2021-7195082.007.jpg

相似文献

1
Analysis of Gut Microbiota in Patients with Coronary Artery Disease and Hypertension.冠心病和高血压患者肠道微生物群的分析
Evid Based Complement Alternat Med. 2021 Dec 27;2021:7195082. doi: 10.1155/2021/7195082. eCollection 2021.
2
Dysbiosis signatures of gut microbiota in coronary artery disease.肠道微生物失调特征与冠状动脉疾病。
Physiol Genomics. 2018 Oct 1;50(10):893-903. doi: 10.1152/physiolgenomics.00070.2018. Epub 2018 Sep 7.
3
Structural and functional dysbiosis of gut microbiota in Tibetan subjects with coronary heart disease.藏族冠心病患者肠道微生物群的结构和功能失调
Genomics. 2022 Nov;114(6):110483. doi: 10.1016/j.ygeno.2022.110483. Epub 2022 Sep 14.
4
Characterizing the gut microbiota in patients with chronic kidney disease.分析慢性肾脏病患者的肠道微生物群。
Postgrad Med. 2020 Aug;132(6):495-505. doi: 10.1080/00325481.2020.1744335. Epub 2020 Apr 2.
5
Differences in gut microbiota structure in patients with stages 4-5 chronic kidney disease.4-5期慢性肾脏病患者肠道微生物群结构的差异
Am J Transl Res. 2021 Sep 15;13(9):10056-10074. eCollection 2021.
6
Molecular characterization of alterations in the intestinal microbiota of patients with grade 3 hypertension.高血压 3 级患者肠道微生物群改变的分子特征。
Int J Mol Med. 2019 Aug;44(2):513-522. doi: 10.3892/ijmm.2019.4235. Epub 2019 Jun 6.
7
[A comparative study on the difference of gut microbiota and its biomarkers between patients with pulmonary tuberculosis and healthy controls].肺结核患者与健康对照者肠道微生物群及其生物标志物差异的比较研究
Zhonghua Jie He He Hu Xi Za Zhi. 2021 Nov 12;44(11):939-946. doi: 10.3760/cma.j.cn112147-20210315-00170.
8
Association Study of Gut Flora in Coronary Heart Disease through High-Throughput Sequencing.基于高通量测序技术的冠心病患者肠道菌群关联研究
Biomed Res Int. 2017;2017:3796359. doi: 10.1155/2017/3796359. Epub 2017 Apr 9.
9
Alterations in the diversity and composition of mice gut microbiota by lytic or temperate gut phage treatment.溶原性或温和性肠道噬菌体处理对小鼠肠道微生物多样性和组成的改变。
Appl Microbiol Biotechnol. 2018 Dec;102(23):10219-10230. doi: 10.1007/s00253-018-9378-6. Epub 2018 Oct 9.
10
Alterations of Gut Microbiome in Tibetan Patients With Coronary Heart Disease.藏族冠心病患者肠道微生物群的改变
Front Cell Infect Microbiol. 2020 Jul 23;10:373. doi: 10.3389/fcimb.2020.00373. eCollection 2020.

引用本文的文献

1
Multi-omics analysis identifies and specific metabolites as key biomarkers in elderly Chinese patients with coronary heart disease.多组学分析确定特定代谢物为中国老年冠心病患者的关键生物标志物。
Front Microbiol. 2025 Apr 23;16:1452136. doi: 10.3389/fmicb.2025.1452136. eCollection 2025.
2
Gut microbiota and epigenetic age acceleration: a bi-directional Mendelian randomization study.肠道微生物群和表观遗传年龄加速:一项双向孟德尔随机化研究。
Aging Clin Exp Res. 2024 Nov 29;36(1):227. doi: 10.1007/s40520-024-02877-6.
3
The Microbial Perspective: A Systematic Literature Review on Hypertension and Gut Microbiota.

本文引用的文献

1
The Types and Proportions of Commensal Microbiota Have a Predictive Value in Coronary Heart Disease.共生微生物群的类型和比例在冠心病中具有预测价值。
J Clin Med. 2021 Jul 15;10(14):3120. doi: 10.3390/jcm10143120.
2
Dissecting the Interplay Mechanism between Epigenetics and Gut Microbiota: Health Maintenance and Disease Prevention.剖析表观遗传学与肠道微生物组的相互作用机制:健康维护与疾病预防。
Int J Mol Sci. 2021 Jun 28;22(13):6933. doi: 10.3390/ijms22136933.
3
Gut microbiota-derived metabolites and risk of coronary artery disease: a prospective study among US men and women.
微生物视角:高血压与肠道微生物群的系统文献综述。
Nutrients. 2024 Oct 30;16(21):3698. doi: 10.3390/nu16213698.
4
Gut Microbiota and Metabolic Alterations Associated with Heart Failure and Coronary Artery Disease.与心力衰竭和冠状动脉疾病相关的肠道微生物群和代谢改变。
Int J Mol Sci. 2024 Oct 20;25(20):11295. doi: 10.3390/ijms252011295.
5
Bacterial and clinical metabolic signatures and their interactions in obese patients post-bariatric surgery.肥胖患者减重手术后的细菌和临床代谢特征及其相互作用。
BMC Gastroenterol. 2024 Oct 12;24(1):363. doi: 10.1186/s12876-024-03450-1.
6
Intestinal microbiome as a diagnostic marker of coronary artery disease: a systematic review and meta-analysis.肠道微生物群作为冠状动脉疾病的诊断标志物:一项系统评价和荟萃分析。
Ann Med Surg (Lond). 2024 Sep 4;86(10):6105-6120. doi: 10.1097/MS9.0000000000002516. eCollection 2024 Oct.
7
The Mediterranean Diet, Its Microbiome Connections, and Cardiovascular Health: A Narrative Review.地中海饮食、其微生物组关联与心血管健康:叙事性综述。
Int J Mol Sci. 2024 Apr 30;25(9):4942. doi: 10.3390/ijms25094942.
8
Combating hypertension beyond genome-wide association studies: Microbiome and artificial intelligence as opportunities for precision medicine.超越全基因组关联研究对抗高血压:微生物组与人工智能作为精准医学的机遇
Camb Prism Precis Med. 2023 May 16;1:e26. doi: 10.1017/pcm.2023.13. eCollection 2023.
9
Ginsenoside Rb1 enhanced immunity and altered the gut microflora in mice immunized by H1N1 influenza vaccine.人参皂苷Rb1增强了接种H1N1流感疫苗小鼠的免疫力并改变了其肠道微生物群。
PeerJ. 2023 Oct 17;11:e16226. doi: 10.7717/peerj.16226. eCollection 2023.
10
Gut microbiota changes in patients with hypertension: A systematic review and meta-analysis.高血压患者肠道菌群变化的系统评价和荟萃分析。
J Clin Hypertens (Greenwich). 2023 Dec;25(12):1053-1068. doi: 10.1111/jch.14722. Epub 2023 Oct 18.
肠道微生物衍生代谢物与冠心病风险:美国男女的前瞻性研究。
Am J Clin Nutr. 2021 Jul 1;114(1):238-247. doi: 10.1093/ajcn/nqab053.
4
Electroacupuncture Inhibits Atherosclerosis through Regulating Intestinal Flora and Host Metabolites in Rabbit.电针通过调节兔肠道菌群和宿主代谢产物抑制动脉粥样硬化。
Evid Based Complement Alternat Med. 2020 Oct 31;2020:5790275. doi: 10.1155/2020/5790275. eCollection 2020.
5
The Role of the Gut Microbiota in Coronary Heart Disease.肠道微生物群在冠心病中的作用。
Curr Atheroscler Rep. 2020 Oct 16;22(12):77. doi: 10.1007/s11883-020-00892-2.
6
Machine Learning Strategy for Gut Microbiome-Based Diagnostic Screening of Cardiovascular Disease.基于肠道微生物组的心血管疾病诊断筛查的机器学习策略。
Hypertension. 2020 Nov;76(5):1555-1562. doi: 10.1161/HYPERTENSIONAHA.120.15885. Epub 2020 Sep 10.
7
Alterations of Gut Microbiome in Tibetan Patients With Coronary Heart Disease.藏族冠心病患者肠道微生物群的改变
Front Cell Infect Microbiol. 2020 Jul 23;10:373. doi: 10.3389/fcimb.2020.00373. eCollection 2020.
8
Gut Microbiota and Cardiovascular Disease.肠道微生物群与心血管疾病。
Circ Res. 2020 Jul 31;127(4):553-570. doi: 10.1161/CIRCRESAHA.120.316242. Epub 2020 Jul 30.
9
Gut Microbiome-Based Diagnostic Model to Predict Coronary Artery Disease.基于肠道微生物群的冠状动脉疾病预测诊断模型
J Agric Food Chem. 2020 Mar 18;68(11):3548-3557. doi: 10.1021/acs.jafc.0c00225. Epub 2020 Mar 6.
10
Intestinal Flora Modulates Blood Pressure by Regulating the Synthesis of Intestinal-Derived Corticosterone in High Salt-Induced Hypertension.肠道菌群通过调节盐诱导高血压时肠道源性皮质酮的合成来调节血压。
Circ Res. 2020 Mar 27;126(7):839-853. doi: 10.1161/CIRCRESAHA.119.316394. Epub 2020 Feb 13.