Lin Xinping, Lin Shiteng, Cui XiaoLi, Zou Daizun, Jiang FuPing, Zhou JunShan, Chen NiHong, Zhao Zhihong, Zhang Juan, Zou Jianjun
School of Basic Medicine and Clinical Pharmacy, China Pharmaceutical University, Nanjing, China.
Department of Clinical Pharmacology, Nanjing First Hospital, Nanjing Medical University, Nanjing, China.
Front Neurol. 2021 Dec 23;12:761092. doi: 10.3389/fneur.2021.761092. eCollection 2021.
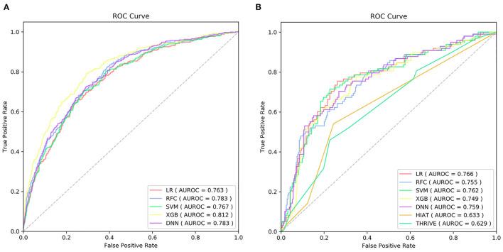
Treatment for mild stroke remains an open question. We aim to develop a decision support tool based on machine learning (ML) algorithms, called DAMS (Disability After Mild Stroke), to identify mild stroke patients who would be at high risk of post-stroke disability (PSD) if they only received medical therapy and, more importantly, to aid neurologists in making individual clinical decisions in emergency contexts. Ischemic stroke patients were prospectively recorded in the National Advanced Stroke Center of Nanjing First Hospital (China) between July 2016 and September 2020. The exclusion criteria were patients who received thrombolytic therapy, age <18 years, lack of 3-month modified Rankin Scale (mRS), disabled before the index stroke, with an admission National Institute of Health stroke scale (NIHSS) > 5. The primary outcome was PSD, corresponding to 3-month mRS ≥ 2. We developed five ML models and assessed the area under curve (AUC) of receiver operating characteristic, calibration curve, and decision curve analysis. The optimal ML model was selected to be DAMS. In addition, SHapley Additive exPlanations (SHAP) approach was introduced to rank the feature importance. Finally, rapid-DAMS (R-DAMS) was constructed for a more urgent situation based on DAMS. A total of 1,905 mild stroke patients were enrolled in this study, and patients with PSD accounted for 23.4% (447). There was no difference in AUCs between the five models (ranged from 0.691 to 0.823). Although there was similar discriminative performance between ML models, the support vector machine model exhibited higher net benefit and better calibration (Brier score, 0.159, calibration slope, 0.935, calibration intercept, 0.035). Therefore, this model was selected for DAMS. In addition, SHAP approach showed that the most crucial feature was NIHSS on admission. Finally, R-DAMS was constructed and there was similar discriminative performance between R-DAMS and DAMS, but the former performed worse on calibration. DAMS and R-DAMS, as prediction-driven decision support tools, were designed to aid clinical decision-making for mild stroke patients in emergency contexts. In addition, even within a narrow range of baseline scores, NIHSS on admission is the strongest feature that contributed to the prediction.
轻度中风的治疗仍是一个悬而未决的问题。我们旨在开发一种基于机器学习(ML)算法的决策支持工具,称为DAMS(轻度中风后残疾),以识别那些仅接受药物治疗就有中风后残疾(PSD)高风险的轻度中风患者,更重要的是,帮助神经科医生在紧急情况下做出个性化的临床决策。2016年7月至2020年9月期间,前瞻性地记录了南京医科大学第一附属医院国家高级卒中中心(中国)的缺血性中风患者。排除标准为接受溶栓治疗的患者、年龄<18岁、缺乏3个月改良Rankin量表(mRS)、在首次中风前有残疾、入院时美国国立卫生研究院卒中量表(NIHSS)>5。主要结局为PSD,对应3个月mRS≥2。我们开发了五个ML模型,并评估了受试者操作特征曲线下面积(AUC)、校准曲线和决策曲线分析。选择最佳的ML模型作为DAMS。此外,引入了SHapley加性解释(SHAP)方法来对特征重要性进行排序。最后,基于DAMS构建了快速DAMS(R-DAMS)以应对更紧急的情况。本研究共纳入1905例轻度中风患者,PSD患者占23.4%(447例)。五个模型的AUC之间没有差异(范围为0.691至0.823)。虽然ML模型之间的判别性能相似,但支持向量机模型表现出更高的净效益和更好的校准(Brier评分,0.159;校准斜率,0.935;校准截距,0.035)。因此,选择该模型作为DAMS。此外,SHAP方法表明,最关键的特征是入院时的NIHSS。最后,构建了R-DAMS,R-DAMS和DAMS之间的判别性能相似,但前者在校准方面表现较差。DAMS和R-DAMS作为预测驱动的决策支持工具,旨在帮助在紧急情况下为轻度中风患者进行临床决策。此外,即使在基线评分范围较窄的情况下,入院时的NIHSS也是对预测贡献最大的最强特征。