Fortin-Guichard Daniel, Ravensbergen H J C, Krabben Kai, Allen Peter M, Mann David L
Department of Human Movement Sciences, Amsterdam Movement Sciences and Institute Brain and Behavior Amsterdam, Faculty of Behavioural and Movement Sciences, Vrije Universiteit Amsterdam, Amsterdam, The Netherlands.
Vision and Hearing Sciences Research Centre, Anglia Ruskin University, Cambridge, UK.
Sports Med Open. 2022 Feb 4;8(1):20. doi: 10.1186/s40798-022-00412-3.
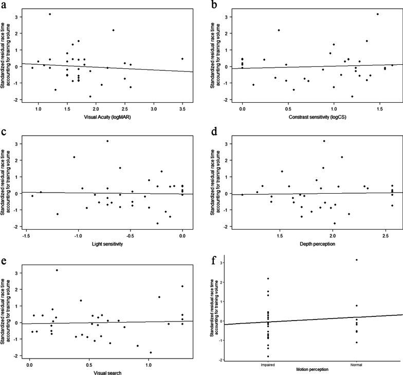
Paralympic swimmers with vision impairment (VI) currently compete in one of the three classes depending on their visual acuity (VA) and/or visual field. However, there is no evidence to suggest that a three-class system is the most legitimate approach for classification in swimming, or that the tests of VA and visual field are the most suitable. An evidence-based approach is required to establish the relationship between visual function and performance in the sport. Therefore, the aim of this study was to establish the relationship between visual function and performance in VI Para swimming. The swimming performance of 45 elite VI swimmers was evaluated during international competitions by measuring the total race time, start time, clean swim velocity, ability to swim in a straight line, turn time, and finish time. Visual function was measured using a test battery that included VA, contrast sensitivity, light sensitivity, depth perception, visual search, and motion perception.
Results revealed that VA was the best predictor of total race time (r = 0.40, p < 0.01), though the relationship was not linear. Decision tree analysis suggested that only two classes were necessary for legitimate competition in VI swimming, with a single cut-off between 2.6 and 3.5 logMAR. No further significant association remained between visual function and performance in either of the two resulting classes (all |rs|< 0.11 and ps > 0.54).
Results suggest that legitimate competition in VI swimming requires one class for partially sighted and another for functionally blind athletes.
目前,视力障碍(VI)的残奥会游泳运动员根据其视力(VA)和/或视野参加三个级别中的一个级别比赛。然而,没有证据表明三级系统是游泳项目分类最合理的方法,也没有证据表明视力和视野测试是最合适的。需要一种基于证据的方法来确定视觉功能与该运动项目表现之间的关系。因此,本研究的目的是确定视力障碍残奥会游泳运动员的视觉功能与表现之间的关系。在国际比赛期间,通过测量总比赛时间、出发时间、净游速、直线游泳能力、转身时间和结束时间,对45名精英视力障碍游泳运动员的游泳表现进行了评估。使用包括视力、对比敏感度、光敏感度、深度感知、视觉搜索和运动感知的一组测试来测量视觉功能。
结果显示,视力是总比赛时间的最佳预测指标(r = 0.40,p < 0.01),尽管这种关系不是线性的。决策树分析表明,视力障碍游泳比赛的合理竞争只需要两个级别,在2.6至3.5 logMAR之间设置一个单一的临界值。在由此产生的两个级别中,视觉功能与表现之间均未发现进一步的显著关联(所有|rs| < 0.11且ps > 0.54)。
结果表明,视力障碍游泳比赛的合理竞争需要为部分视力障碍运动员设立一个级别,为功能性失明运动员设立另一个级别。