Suppr超能文献

比赛和旅行对橄榄球运动员睡眠、健康和训练的影响。

The impact of matches and travel on rugby players' sleep, wellness and training.

机构信息

Institute for Health and Sport (iHeS), Victoria University, Melbourne, Australia.

Adams Centre for High Performance, University of Waikato, Tauranga, New Zealand.

出版信息

PLoS One. 2022 Feb 8;17(2):e0261517. doi: 10.1371/journal.pone.0261517. eCollection 2022.

Abstract

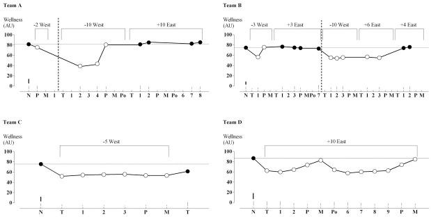
Matches and travel, which are common in professional team sports, may have a negative impact on players. The aim of this study was to quantify the impact on sleep, wellness and training of Super Rugby players. Sleep of 122 players from four teams was monitored using activity monitors for up to three nights before and after matches played at home and overseas. Wellness and internal training load (questionnaires) and external training load (GPS/accelerometer) were also recorded. Separate analyses were performed for each team using a general linear mixed model to estimate the mean effects of travel (translocation overseas and return to the home country) on sleep, wellness and training. The mean effects of matches on sleep and wellness on the nights before, of and after matches. were also estimated. Teams generally experienced small to large reductions in sleep and wellness when overseas; on return, sleep and wellness recovered somewhat. The impact of matches on sleep and wellness differed in magnitude and direction (large reductions to small increases) between teams. External load overseas and upon return was reduced for three of the four teams, whilst internal load was reduced for the three teams that measured it. The changes in sleep, wellness and training can be explained by a combination of travel- and match-related stressors that differed between teams. Teams should consider remediation strategies to mitigate the effects of travel.

摘要

比赛和旅行在职业团队运动中很常见,但可能对运动员产生负面影响。本研究的目的是量化超级橄榄球运动员的睡眠、健康和训练受到的影响。使用活动监测器监测了来自四支球队的 122 名球员在主场和客场比赛前后最多三个晚上的睡眠情况。还记录了健康状况和内部训练负荷(问卷调查)以及外部训练负荷(GPS/加速度计)。使用一般线性混合模型对每个团队分别进行了单独分析,以估计旅行(跨国搬迁和返回本国)对睡眠、健康和训练的平均影响。还估计了比赛前、比赛中和比赛后的晚上对睡眠和健康的平均影响。当球队在海外时,睡眠和健康通常会有小到大幅度的下降;返回后,睡眠和健康会有所恢复。比赛对睡眠和健康的影响在各支球队之间在幅度和方向上(从大幅度下降到小幅度增加)有所不同。四支球队中有三支球队的海外和返回后的外部负荷减少,而三支测量内部负荷的球队的内部负荷减少。睡眠、健康和训练的变化可以用各支球队之间不同的旅行和比赛相关压力源来解释。球队应考虑采取补救策略来减轻旅行的影响。

https://cdn.ncbi.nlm.nih.gov/pmc/blobs/4883/8824341/0e1fe1902880/pone.0261517.g001.jpg

文献AI研究员

20分钟写一篇综述,助力文献阅读效率提升50倍。

立即体验

用中文搜PubMed

大模型驱动的PubMed中文搜索引擎

马上搜索

文档翻译

学术文献翻译模型,支持多种主流文档格式。

立即体验