Suppr超能文献

调查英国首次 COVID-19 封锁期间焦虑和抑郁的患病率:系统评价和荟萃分析。

Investigating the prevalence of anxiety and depression during the first COVID-19 lockdown in the United Kingdom: Systematic review and meta-analyses.

机构信息

Addiction and Mental Health Group, Department of Psychology, University of Bath, UK.

出版信息

Br J Clin Psychol. 2022 Sep;61(3):757-780. doi: 10.1111/bjc.12360. Epub 2022 Feb 9.

Abstract

BACKGROUND

The COVID-19 pandemic has had a significant impact on mental health. Specifically, the stringent lockdown restrictions have heightened anxiety and depression. Therefore, monitoring and supporting the mental health of the population during these unprecedented times is an immediate priority.

METHODS

In this systematic review and meta-analyses, articles that explored the prevalence of anxiety and depression during the first COVID-19 lockdown in the United Kingdom were included. We searched the databases Embase, Medline (PubMed), Web of Science, and PsycINFO for cross-sectional studies. We conducted meta-analyses of prevalence rates using a random-effects model, and the heterogeneity of studies was examined using the I index.

RESULTS

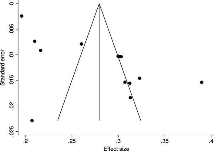
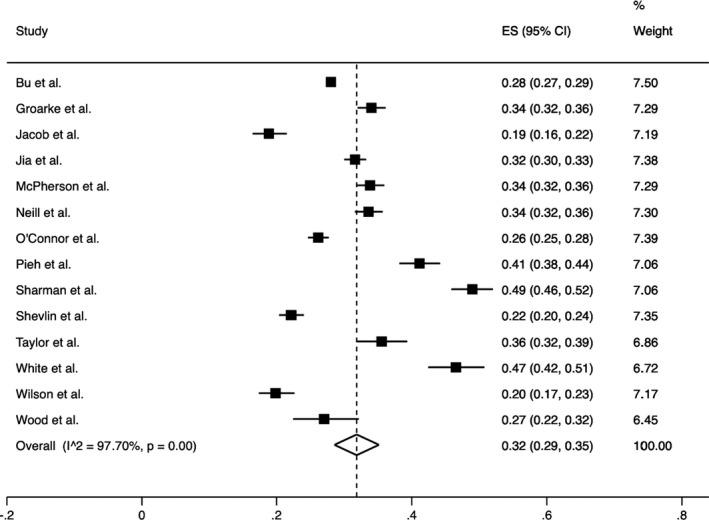
Fourteen studies involving 46,158 participants were included in the review. The studies use clinical cut-off scores on anxiety and depression measures to define cases. While the prevalence of anxiety was 31.00% (95% CI = 26.00 to 35.00), the prevalence of depression was 32.00% (95% CI = 29.00 to 35.00). The prevalence of anxiety pre-pandemic was 4.65%, indicating a 26.35% increase. Whereas the prevalence of depression pre-pandemic was 4.12%, indicating a 27.88% increase. Moreover, participants experienced a slightly greater prevalence of depression than anxiety by 1.00%.

CONCLUSIONS

To conclude, the first COVID-19 lockdown in the United Kingdom increased the prevalence of anxiety and depression among the general population, compared to pre-pandemic data. Hence, it is vital that policymakers and mental health services maximize their efforts to monitor mental health and provide interventions to support those in need.

PRACTITIONER POINTS

Clinical implications Awareness of the high prevalence of anxiety and depression during the first lockdown in the United Kingdom can inform policy development that substantial effort, time, and funding of mental health services are required to support those in need. Similarly, awareness of the prevalence of anxiety and depression in the United Kingdom can contribute to the development of nation-specific interventions and initiatives. Limitations The current review focuses on the UK general population which does not allow the findings to be generalized to the global population. The indirect comparison of the current prevalence rates with the corresponding pre-pandemic prevalence rates obtained from a different study sample increases individual differences, weakening the reliability of the findings.

摘要

背景

COVID-19 大流行对心理健康产生了重大影响。具体来说,严格的封锁限制加剧了焦虑和抑郁。因此,在这个前所未有的时期,监测和支持人口的心理健康是当务之急。

方法

在这项系统评价和荟萃分析中,纳入了探讨英国首次 COVID-19 封锁期间焦虑和抑郁患病率的文章。我们在 Embase、Medline(PubMed)、Web of Science 和 PsycINFO 数据库中搜索了横断面研究。我们使用随机效应模型对患病率进行荟萃分析,并使用 I 指数检查研究的异质性。

结果

综述纳入了 14 项涉及 46158 名参与者的研究。这些研究使用焦虑和抑郁测量的临床截断分数来定义病例。焦虑的患病率为 31.00%(95%CI=26.00 至 35.00),抑郁的患病率为 32.00%(95%CI=29.00 至 35.00)。大流行前焦虑的患病率为 4.65%,表明患病率增加了 26.35%。而大流行前抑郁的患病率为 4.12%,表明患病率增加了 27.88%。此外,参与者经历的抑郁患病率略高于焦虑,相差 1.00%。

结论

总之,与大流行前的数据相比,英国首次 COVID-19 封锁期间,普通人群的焦虑和抑郁患病率有所增加。因此,政策制定者和精神卫生服务部门必须全力以赴,监测心理健康状况,并为有需要的人提供干预措施。

从业者要点

临床意义

认识到英国首次封锁期间焦虑和抑郁的高患病率,可以为政策制定提供信息,需要大量的时间、精力和资金投入精神卫生服务,以支持有需要的人。同样,对英国焦虑和抑郁的患病率的认识可以为制定国家特定的干预措施和倡议做出贡献。

局限性

本综述重点关注英国普通人群,因此无法将研究结果推广到全球人群。目前的患病率与从不同研究样本中获得的相应大流行前患病率的间接比较增加了个体差异,从而削弱了研究结果的可靠性。

https://cdn.ncbi.nlm.nih.gov/pmc/blobs/5963/9111383/b1edba35913c/BJC-9999-0-g004.jpg

文献AI研究员

20分钟写一篇综述,助力文献阅读效率提升50倍。

立即体验

用中文搜PubMed

大模型驱动的PubMed中文搜索引擎

马上搜索

文档翻译

学术文献翻译模型,支持多种主流文档格式。

立即体验