• 文献检索
  • 文档翻译
  • 深度研究
  • 学术资讯
  • Suppr Zotero 插件Zotero 插件
  • 邀请有礼
  • 套餐&价格
  • 历史记录
应用&插件
Suppr Zotero 插件Zotero 插件浏览器插件Mac 客户端Windows 客户端微信小程序
定价
高级版会员购买积分包购买API积分包
服务
文献检索文档翻译深度研究API 文档MCP 服务
关于我们
关于 Suppr公司介绍联系我们用户协议隐私条款
关注我们

Suppr 超能文献

核心技术专利:CN118964589B侵权必究
粤ICP备2023148730 号-1Suppr @ 2026

文献检索

告别复杂PubMed语法,用中文像聊天一样搜索,搜遍4000万医学文献。AI智能推荐,让科研检索更轻松。

立即免费搜索

文件翻译

保留排版,准确专业,支持PDF/Word/PPT等文件格式,支持 12+语言互译。

免费翻译文档

深度研究

AI帮你快速写综述,25分钟生成高质量综述,智能提取关键信息,辅助科研写作。

立即免费体验

一项随机对照临床试验,评估血管紧张素转换酶抑制剂/血管紧张素受体阻滞剂在 COVID-19 住院患者中的管理。

A randomized controlled trial of renin-angiotensin-aldosterone system inhibitor management in patients admitted in hospital with COVID-19.

机构信息

Division of Cardiology, McGill University Health Centre, Montreal, Quebec, Canada; DREAM-CV Lab, McGill University Health Centre Research Institute, McGill University, Montreal, Quebec, Canada.

Division of Cardiology, McGill University Health Centre, Montreal, Quebec, Canada; DREAM-CV Lab, McGill University Health Centre Research Institute, McGill University, Montreal, Quebec, Canada.

出版信息

Am Heart J. 2022 May;247:76-89. doi: 10.1016/j.ahj.2022.01.015. Epub 2022 Feb 7.

DOI:10.1016/j.ahj.2022.01.015
PMID:35143744
原文链接:https://pmc.ncbi.nlm.nih.gov/articles/PMC8820148/
Abstract

BACKGROUND

Renin-angiotensin aldosterone system inhibitors (RAASi) are commonly used among patients hospitalized with a severe acute respiratory syndrome coronavirus 2 infection coronavirus disease 2019 (COVID-19). We evaluated whether continuation versus discontinuation of RAASi were associated with short term clinical or biochemical outcomes.

METHODS

The RAAS-COVID-19 trial was a randomized, open label study in adult patients previously treated with RAASi who are hospitalized with COVID-19 (NCT04508985). Participants were randomized 1:1 to discontinue or continue RAASi. The primary outcome was a global rank score calculated from baseline to day 7 (or discharge) incorporating clinical events and biomarker changes. Global rank scores were compared between groups using the Wilcoxon test statistic and the negative binomial test (using incident rate ratio [IRR]) and the intention-to-treat principle.

RESULTS

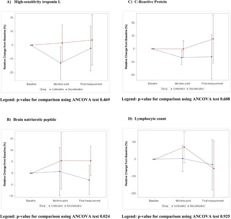
Overall, 46 participants were enrolled; 21 participants were randomized to discontinue RAASi and 25 to continue. Patients' mean age was 71.5 years and 43.5% were female. Discontinuation of RAASi, versus continuation, resulted in a non-statistically different mean global rank score (discontinuation 6 [standard deviation [SD] 6.3] vs continuation 3.8 (SD 2.5); P = .60). The negative binomial analysis identified that discontinuation increased the risk of adverse outcomes (IRR 1.67 [95% CI 1.06-2.62]; P = .027); RAASi discontinuation increased brain natriuretic peptide levels (% change from baseline: +16.7% vs -27.5%; P = .024) and the incidence of acute heart failure (33% vs 4.2%, P = .016).

CONCLUSION

RAASi continuation in participants hospitalized with COVID-19 appears safe; discontinuation increased brain natriuretic peptide levels and may increase risk of acute heart failure; where possible, RAASi should be continued.

摘要

背景

肾素-血管紧张素-醛固酮系统抑制剂(RAASi)在因严重急性呼吸系统综合征冠状病毒 2 感染导致的 2019 年冠状病毒病(COVID-19)而住院的患者中通常被使用。我们评估了继续或停止使用 RAASi 是否与短期临床或生化结局相关。

方法

RAAS-COVID-19 试验是一项随机、开放标签研究,纳入了此前接受 RAASi 治疗且因 COVID-19 住院的成年患者(NCT04508985)。参与者按 1:1 随机分为停止或继续 RAASi 组。主要结局是从基线到第 7 天(或出院)的综合临床事件和生物标志物变化的全球等级评分。使用 Wilcoxon 检验统计量和负二项检验(使用发病率比[IRR])以及意向治疗原则对两组之间的全球等级评分进行比较。

结果

共有 46 名参与者入组;21 名参与者被随机分配停止使用 RAASi,25 名继续使用。患者的平均年龄为 71.5 岁,43.5%为女性。与继续使用相比,停止使用 RAASi 导致的平均全球等级评分无统计学差异(停止使用 6[标准差[SD]6.3] vs 继续使用 3.8[SD 2.5];P=0.60)。负二项分析表明,停止使用增加了不良结局的风险(IRR 1.67[95%CI 1.06-2.62];P=0.027);RAASi 停止使用增加了脑钠肽水平(与基线相比的百分比变化:+16.7% vs -27.5%;P=0.024)和急性心力衰竭的发生率(33% vs 4.2%,P=0.016)。

结论

在因 COVID-19 住院的患者中继续使用 RAASi 似乎是安全的;停止使用会增加脑钠肽水平,并可能增加急性心力衰竭的风险;在可能的情况下,应继续使用 RAASi。

https://cdn.ncbi.nlm.nih.gov/pmc/blobs/67eb/8820148/a66733ab7c70/gr5_lrg.jpg
https://cdn.ncbi.nlm.nih.gov/pmc/blobs/67eb/8820148/02a1c9fb4cbf/gr1_lrg.jpg
https://cdn.ncbi.nlm.nih.gov/pmc/blobs/67eb/8820148/9df3fbe1d803/gr2_lrg.jpg
https://cdn.ncbi.nlm.nih.gov/pmc/blobs/67eb/8820148/b7aa583dfe84/gr3_lrg.jpg
https://cdn.ncbi.nlm.nih.gov/pmc/blobs/67eb/8820148/113b7da2e9dc/gr4_lrg.jpg
https://cdn.ncbi.nlm.nih.gov/pmc/blobs/67eb/8820148/a66733ab7c70/gr5_lrg.jpg
https://cdn.ncbi.nlm.nih.gov/pmc/blobs/67eb/8820148/02a1c9fb4cbf/gr1_lrg.jpg
https://cdn.ncbi.nlm.nih.gov/pmc/blobs/67eb/8820148/9df3fbe1d803/gr2_lrg.jpg
https://cdn.ncbi.nlm.nih.gov/pmc/blobs/67eb/8820148/b7aa583dfe84/gr3_lrg.jpg
https://cdn.ncbi.nlm.nih.gov/pmc/blobs/67eb/8820148/113b7da2e9dc/gr4_lrg.jpg
https://cdn.ncbi.nlm.nih.gov/pmc/blobs/67eb/8820148/a66733ab7c70/gr5_lrg.jpg

相似文献

1
A randomized controlled trial of renin-angiotensin-aldosterone system inhibitor management in patients admitted in hospital with COVID-19.一项随机对照临床试验,评估血管紧张素转换酶抑制剂/血管紧张素受体阻滞剂在 COVID-19 住院患者中的管理。
Am Heart J. 2022 May;247:76-89. doi: 10.1016/j.ahj.2022.01.015. Epub 2022 Feb 7.
2
Continuation versus discontinuation of renin-angiotensin system inhibitors in patients admitted to hospital with COVID-19: a prospective, randomised, open-label trial.COVID-19 患者住院期间继续或停用肾素-血管紧张素系统抑制剂:一项前瞻性、随机、开放标签试验。
Lancet Respir Med. 2021 Mar;9(3):275-284. doi: 10.1016/S2213-2600(20)30558-0. Epub 2021 Jan 7.
3
Safety and Efficacy of Renin-Angiotensin-Aldosterone System Inhibitors in COVID-19 Population.肾素-血管紧张素-醛固酮系统抑制剂在新冠肺炎患者中的安全性和有效性
High Blood Press Cardiovasc Prev. 2021 Jul;28(4):405-416. doi: 10.1007/s40292-021-00462-w. Epub 2021 Jun 28.
4
Discontinuation of Renin-Angiotensin-Aldosterone System Inhibitors Secondary to Hyperkalemia Translates into Higher Cardiorenal Outcomes.由于高钾血症而停用肾素-血管紧张素-醛固酮系统抑制剂会导致更高的心肾结局。
Am J Nephrol. 2023;54(7-8):258-267. doi: 10.1159/000531102. Epub 2023 May 18.
5
Real-World Associations of Renin-Angiotensin-Aldosterone System Inhibitor Dose, Hyperkalemia, and Adverse Clinical Outcomes in a Cohort of Patients With New-Onset Chronic Kidney Disease or Heart Failure in the United Kingdom.在英国的一个新诊断的慢性肾脏病或心力衰竭患者队列中,观察到肾素-血管紧张素-醛固酮系统抑制剂剂量、高钾血症与不良临床结局之间的真实世界关联。
J Am Heart Assoc. 2019 Nov 19;8(22):e012655. doi: 10.1161/JAHA.119.012655. Epub 2019 Nov 12.
6
Discontinuation versus continuation of renin-angiotensin-system inhibitors in COVID-19 (ACEI-COVID): a prospective, parallel group, randomised, controlled, open-label trial.COVID-19 中肾素-血管紧张素系统抑制剂的停药与持续使用(ACEI-COVID):一项前瞻性、平行组、随机、对照、开放标签试验。
Lancet Respir Med. 2021 Aug;9(8):863-872. doi: 10.1016/S2213-2600(21)00214-9. Epub 2021 Jun 11.
7
Maintaining Renin-Angiotensin-Aldosterone System Inhibitor Treatment with Patiromer in Hyperkalaemic Chronic Kidney Disease Patients: Comparison of a Propensity-Matched Real-World Population with AMETHYST-DN.保钾利尿剂聚磺苯乙烯钠在高钾血症慢性肾脏病患者中维持肾素-血管紧张素-醛固酮系统抑制剂治疗:真实世界人群倾向性匹配分析与 AMETHYST-DN 研究比较
Am J Nephrol. 2023;54(9-10):408-415. doi: 10.1159/000533753. Epub 2023 Sep 19.
8
Outcomes in patients with cardiometabolic disease who develop hyperkalemia while treated with a renin-angiotensin-aldosterone system inhibitor.患有心血管代谢疾病的患者在使用肾素-血管紧张素-醛固酮系统抑制剂治疗时发生高钾血症的结局。
Am Heart J. 2023 Apr;258:49-59. doi: 10.1016/j.ahj.2023.01.002. Epub 2023 Jan 13.
9
Impact of Sodium Zirconium Cyclosilicate Plus Renin-Angiotensin-Aldosterone System Inhibitor Therapy on Short-Term Medical Costs in Hyperkalemia: OPTIMIZE II Real-World Study.基于 OPTIMIZE II 真实世界研究的硅酸锆钠联合肾素-血管紧张素-醛固酮系统抑制剂治疗对高钾血症短期医疗费用的影响。
Adv Ther. 2023 Nov;40(11):4777-4791. doi: 10.1007/s12325-023-02631-w. Epub 2023 Aug 22.
10
Discontinuation of RAAS Inhibition in Children with Advanced CKD.在患有晚期 CKD 的儿童中停止使用 RAAS 抑制剂。
Clin J Am Soc Nephrol. 2020 May 7;15(5):625-632. doi: 10.2215/CJN.09750819. Epub 2020 Apr 6.

引用本文的文献

1
COVID-19 Pandemic Waves and 2024-2025 Winter Season in Relation to Angiotensin-Converting Enzyme Inhibitors, Angiotensin Receptor Blockers and Amantadine.2019冠状病毒病大流行浪潮以及2024 - 2025年冬季与血管紧张素转换酶抑制剂、血管紧张素受体阻滞剂和金刚烷胺的关系
Healthcare (Basel). 2025 May 27;13(11):1270. doi: 10.3390/healthcare13111270.
2
Drug treatments for mild or moderate covid-19: systematic review and network meta-analysis.轻度或中度新冠肺炎的药物治疗:系统评价与网状Meta分析
BMJ. 2025 May 29;389:e081165. doi: 10.1136/bmj-2024-081165.
3
Withdrawal of antihypertensive drugs in older people.
老年人停用抗高血压药物
Cochrane Database Syst Rev. 2025 Mar 31;3(3):CD012572. doi: 10.1002/14651858.CD012572.pub3.
4
Treat or not treat COVID-19 with combined renin-angiotensin system and neprilysin inhibition: Have we found a solution?使用肾素-血管紧张素系统和中性肽链内切酶抑制剂联合治疗新冠病毒病:我们找到解决方案了吗?
Eur J Heart Fail. 2025 Jan;27(1):148-151. doi: 10.1002/ejhf.3510. Epub 2024 Nov 19.
5
Association of rs5051 and rs699 polymorphisms in angiotensinogen with coronary artery disease in Iranian population: A case-control study.血管紧张素原 rs5051 和 rs699 多态性与伊朗人群冠心病的关联:病例对照研究。
Medicine (Baltimore). 2024 Mar 15;103(11):e37045. doi: 10.1097/MD.0000000000037045.
6
Effects of renin-angiotensin system blockers on outcomes from COVID-19: a systematic review and meta-analysis of randomized controlled trials.血管紧张素转化酶抑制剂/血管紧张素Ⅱ受体拮抗剂对 COVID-19 结局的影响:一项随机对照试验的系统评价和荟萃分析。
Eur Heart J Cardiovasc Pharmacother. 2024 Jan 5;10(1):68-80. doi: 10.1093/ehjcvp/pvad067.
7
COVID-19 and the Use of Angiotensin II Receptor Blockers in Older Chronic Hypertensive Patients: Systematic Review and Meta-Analysis.COVID-19 与老年慢性高血压患者中血管紧张素 II 受体阻滞剂的使用:系统评价和荟萃分析。
Medicina (Kaunas). 2023 Jun 26;59(7):1200. doi: 10.3390/medicina59071200.
8
Primary Aldosteronism and COVID-19-related Management, Disease Severity, and Outcomes: A Retrospective Cohort Study.原发性醛固酮增多症与 COVID-19 相关的管理、疾病严重程度及预后:一项回顾性队列研究
J Endocr Soc. 2023 Jan 27;7(4):bvad015. doi: 10.1210/jendso/bvad015. eCollection 2023 Feb 9.
9
Effect of continuing the use of renin-angiotensin system inhibitors on mortality in patients hospitalized for coronavirus disease 2019: a systematic review, meta-analysis, and meta-regression analysis.连续使用肾素-血管紧张素系统抑制剂对因 2019 年冠状病毒病住院患者死亡率的影响:系统评价、荟萃分析和荟萃回归分析。
BMC Infect Dis. 2023 Jan 24;23(1):53. doi: 10.1186/s12879-023-07994-7.
10
Angiotensin receptor blockers for the treatment of covid-19: pragmatic, adaptive, multicentre, phase 3, randomised controlled trial.血管紧张素受体阻滞剂治疗 COVID-19:实用、适应性、多中心、3 期、随机对照试验。
BMJ. 2022 Nov 16;379:e072175. doi: 10.1136/bmj-2022-072175.