Olivieri Mario, Marchetti Pierpaolo, Murgia Nicola, Nicolis Morena, Torroni Lorena, Spiteri Gianluca, Ferrari Marcello, Marcon Alessandro, Verlato Giuseppe
Unit of Occupational Medicine, Department of Diagnostics and Public Health Policlinico "G. Rossi" Verona Italy.
Unit of Epidemiology and Medical Statistics, Department of Diagnostics and Public Health University of Verona Verona Italy.
Clin Transl Allergy. 2022 Feb 6;12(2):e12096. doi: 10.1002/clt2.12096. eCollection 2022 Feb.
Co-exposures and polysensitization to several pollen species are very common in real life practice. However, little information exists on allergic symptoms and airway inflammation related to natural pollen exposure in large general population samples.
To assess the combined effect of sensitization and/or exposure to one or more pollen species on Fraction of exhaled Nitric Oxide (FeNO) levels.
Within Gene Environment Interactions in Respiratory Diseases (GEIRD) multicase-control study, 1070 adults from the general population of Verona, Italy, underwent a clinical evaluation including standardized interview, spirometry, skin prick test to inhalants and FeNO measurement. Pollen exposure was assumed, when the mean pollen concentration in the previous week was above the cutoff established by the Italian Aerobiological Monitoring Network.
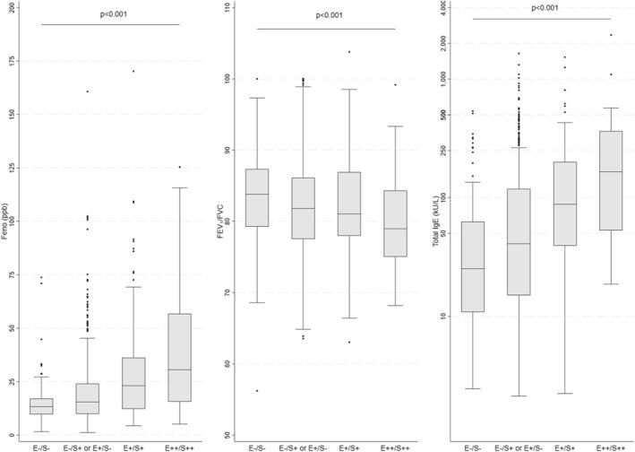
Subjects sensitized to one or more pollen species were respectively 15.5% and 29.6%. FeNO levels were directly related to the number of both pollen species around and pollen-related sensitizations. Median FeNO levels were directly related to number of pollen species around and pollen sensitization. FeNO levels increased from 15.4 ppb (p. 25-p. 75 = 9.9-21.0) outside the pollen season to 17.5 ppb (11.2-30.5) when there were ≥3 pollen species around. Likewise FeNO levels rose from 14.8 ppb (10.0-22.3) in not sensitized subjects, to 16.7 (10.1-25.0) in monosensitized and further to 20.4 (12.3-40.6) in poly-sensitized. According to multivariable quantile regression, median FeNO was 17.9 ppb higher (p. 25-p. 75 = 12.5-23.3) for subjects sensitized and exposed to more than one pollen species, compared to subjects who were neither sensitized nor exposed. Differences in FEV1/FVC between groups were less pronounced (2.0%, -4.1 to 0.1). Median FeNO level was 15.1 ppb (p. 25-p. 75 = 10.0-23.2) in subjects without pollen-related symptoms, 17.8 ppb (12.1-40.2) in those with nasal symptoms only, and 22.7 ppb (14.7-43.0) in those with asthma-like symptoms ( < 0.001).
Airways inflammation, evaluated by FeNO, increases in dose-dependent manner from subjects monosensitized to pollen species to those poly-sensitized, especially when asthma-like symptoms on pollen exposure are also reported. This should be considered by allergists during natural pollen seasons when evaluating both pulmonary function and airways inflammation.
在实际生活中,对多种花粉种类的共同暴露和多重致敏非常常见。然而,关于普通大众样本中与自然花粉暴露相关的过敏症状和气道炎症的信息却很少。
评估对一种或多种花粉种类的致敏和/或暴露对呼出一氧化氮分数(FeNO)水平的综合影响。
在呼吸系统疾病基因环境相互作用(GEIRD)多病例对照研究中,来自意大利维罗纳普通人群的1070名成年人接受了临床评估,包括标准化访谈、肺活量测定、吸入剂皮肤点刺试验和FeNO测量。当上周的平均花粉浓度高于意大利空气生物学监测网络设定的临界值时,假定存在花粉暴露。
对一种或多种花粉种类致敏的受试者分别为15.5%和29.6%。FeNO水平与周围花粉种类数量和花粉相关致敏的数量均直接相关。FeNO中位数水平与周围花粉种类数量和花粉致敏直接相关。FeNO水平从花粉季节外的15.4 ppb(第25百分位数 - 第75百分位数 = 9.9 - 21.0)增加到周围有≥3种花粉种类时的17.5 ppb(11.2 - 30.5)。同样,FeNO水平从未致敏受试者的14.8 ppb(10.0 - 22.3)上升到单致敏受试者的16.7(10.1 - 25.0),再进一步上升到多致敏受试者的20.4(12.3 - 40.6)。根据多变量分位数回归,与既未致敏也未暴露的受试者相比,致敏并暴露于一种以上花粉种类的受试者的FeNO中位数高17.9 ppb(第25百分位数 - 第75百分位数 = 12.5 - 23.3)。各组之间FEV1/FVC的差异不太明显(2.0%,-4.1至0.1)。无花粉相关症状的受试者的FeNO中位数水平为15.1 ppb(第25百分位数 - 第75百分位数 = 10.0 - 23.2),仅出现鼻部症状的受试者为17.8 ppb(12.1 - 40.2),出现哮喘样症状的受试者为22.7 ppb(14.7 - 43.0)(<0.001)。
通过FeNO评估的气道炎症以剂量依赖方式从单致敏花粉种类的受试者增加到多致敏受试者,尤其是当报告有花粉暴露时的哮喘样症状时。在自然花粉季节评估肺功能和气道炎症时,过敏症专科医生应考虑到这一点。