• 文献检索
  • 文档翻译
  • 深度研究
  • 学术资讯
  • Suppr Zotero 插件Zotero 插件
  • 邀请有礼
  • 套餐&价格
  • 历史记录
应用&插件
Suppr Zotero 插件Zotero 插件浏览器插件Mac 客户端Windows 客户端微信小程序
定价
高级版会员购买积分包购买API积分包
服务
文献检索文档翻译深度研究API 文档MCP 服务
关于我们
关于 Suppr公司介绍联系我们用户协议隐私条款
关注我们

Suppr 超能文献

核心技术专利:CN118964589B侵权必究
粤ICP备2023148730 号-1Suppr @ 2026

文献检索

告别复杂PubMed语法,用中文像聊天一样搜索,搜遍4000万医学文献。AI智能推荐,让科研检索更轻松。

立即免费搜索

文件翻译

保留排版,准确专业,支持PDF/Word/PPT等文件格式,支持 12+语言互译。

免费翻译文档

深度研究

AI帮你快速写综述,25分钟生成高质量综述,智能提取关键信息,辅助科研写作。

立即免费体验

一种基于磁共振成像的影像组学模型用于预测乳腺影像报告和数据系统(BI-RADS)4类乳腺病变的良恶性

An MRI-Based Radiomics Model for Predicting the Benignity and Malignancy of BI-RADS 4 Breast Lesions.

作者信息

Zhang Renzhi, Wei Wei, Li Rang, Li Jing, Zhou Zhuhuang, Ma Menghang, Zhao Rui, Zhao Xinming

机构信息

Department of Diagnostic Radiology, National Cancer Center/National Clinical Research Center for Cancer/Cancer Hospital, Chinese Academy of Medical Sciences and Peking Union Medical College, Beijing, China.

School of Electronics and Information, Xi'an Polytechnic University, Xi'an, China.

出版信息

Front Oncol. 2022 Jan 28;11:733260. doi: 10.3389/fonc.2021.733260. eCollection 2021.

DOI:10.3389/fonc.2021.733260
PMID:35155178
原文链接:https://pmc.ncbi.nlm.nih.gov/articles/PMC8833233/
Abstract

OBJECTIVES

The probability of Breast Imaging Reporting and Data Systems (BI-RADS) 4 lesions being malignant is 2%-95%, which shows the difficulty to make a diagnosis. Radiomics models based on magnetic resonance imaging (MRI) can replace clinicopathological diagnosis with high performance. In the present study, we developed and tested a radiomics model based on MRI images that can predict the malignancy of BI-RADS 4 breast lesions.

METHODS

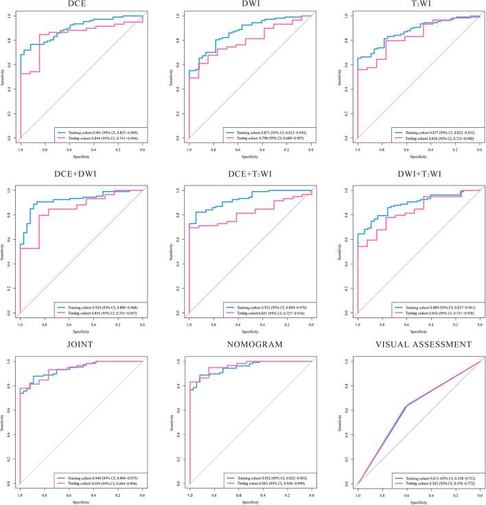
We retrospective enrolled a total of 216 BI-RADS 4 patients MRI and clinical information. We extracted 3,474 radiomics features from dynamic contrast-enhanced (DCE), T-weighted images (TWI), and diffusion-weighted imaging (DWI) MRI images. Least absolute shrinkage and selection operator (LASSO) and logistic regression were used to select features and build radiomics models based on different sequence combinations. We built eight radiomics models which were based on DCE, DWI, TWI, DCE+DWI, DCE+TWI, DWI+TWI, and DCE+DWI+TWI and a clinical predictive model built based on the visual assessment of radiologists. A nomogram was constructed with the best radiomics signature combined with patient characteristics. The calibration curves for the radiomics signature and nomogram were conducted, combined with the Hosmer-Lemeshow test.

RESULTS

Pearson's correlation was used to eliminate 3,329 irrelevant features, and then LASSO and logistic regression were used to screen the remaining feature coefficients for each model we built. Finally, 12 related features were obtained in the model which had the best performance. These 12 features were used to build a radiomics model in combination with the actual clinical diagnosis of benign or malignant lesion labels we have obtained. The best model built by 12 features from the 3 sequences has an AUC value of 0.939 (95% CI, 0.884-0.994) and an accuracy of 0.931 in the testing cohort. The sensitivity, specificity, precision and Matthews correlation coefficient (MCC) of testing cohort are 0.932, 0.923, 0.982, and 0.791, respectively. The nomogram has also been verified to have calibration curves with good overlap.

CONCLUSIONS

Radiomics is beneficial in the malignancy prediction of BI-RADS 4 breast lesions. The radiomics predictive model built by the combination of DCE, DWI, and TWI sequences has great application potential.

摘要

目的

乳腺影像报告和数据系统(BI-RADS)4类病变的恶性概率为2% - 95%,这表明诊断存在困难。基于磁共振成像(MRI)的放射组学模型能够以高性能替代临床病理诊断。在本研究中,我们开发并测试了一种基于MRI图像的放射组学模型,该模型可预测BI-RADS 4类乳腺病变的恶性程度。

方法

我们回顾性纳入了总共216例BI-RADS 4类患者的MRI和临床信息。我们从动态对比增强(DCE)、T加权图像(TWI)和扩散加权成像(DWI)的MRI图像中提取了3474个放射组学特征。使用最小绝对收缩和选择算子(LASSO)及逻辑回归来选择特征,并基于不同的序列组合构建放射组学模型。我们构建了八个基于DCE、DWI、TWI、DCE + DWI、DCE + TWI、DWI + TWI以及DCE + DWI + TWI的放射组学模型,以及一个基于放射科医生视觉评估构建的临床预测模型。使用最佳的放射组学特征结合患者特征构建列线图。对放射组学特征和列线图进行校准曲线分析,并结合Hosmer-Lemeshow检验。

结果

使用Pearson相关性分析消除了3329个无关特征,然后使用LASSO和逻辑回归对我们构建的每个模型的剩余特征系数进行筛选。最终,在性能最佳的模型中获得了12个相关特征。利用这12个特征结合我们已获得的良性或恶性病变标签的实际临床诊断构建了一个放射组学模型。由这3个序列中的12个特征构建的最佳模型在测试队列中的AUC值为0.939(95%CI,0.884 - 0.994),准确率为0.931。测试队列的敏感性、特异性、阳性预测值和马修斯相关系数(MCC)分别为0.932、0.923、0.982和0.791。列线图也已被验证具有良好重叠的校准曲线。

结论

放射组学有助于BI-RADS 4类乳腺病变的恶性预测。由DCE、DWI和TWI序列组合构建的放射组学预测模型具有巨大的应用潜力。

https://cdn.ncbi.nlm.nih.gov/pmc/blobs/e08f/8833233/61a1b60030d3/fonc-11-733260-g004.jpg
https://cdn.ncbi.nlm.nih.gov/pmc/blobs/e08f/8833233/07765f66617c/fonc-11-733260-g001.jpg
https://cdn.ncbi.nlm.nih.gov/pmc/blobs/e08f/8833233/4b0a1af3d2ca/fonc-11-733260-g002.jpg
https://cdn.ncbi.nlm.nih.gov/pmc/blobs/e08f/8833233/02f1a492f630/fonc-11-733260-g003.jpg
https://cdn.ncbi.nlm.nih.gov/pmc/blobs/e08f/8833233/61a1b60030d3/fonc-11-733260-g004.jpg
https://cdn.ncbi.nlm.nih.gov/pmc/blobs/e08f/8833233/07765f66617c/fonc-11-733260-g001.jpg
https://cdn.ncbi.nlm.nih.gov/pmc/blobs/e08f/8833233/4b0a1af3d2ca/fonc-11-733260-g002.jpg
https://cdn.ncbi.nlm.nih.gov/pmc/blobs/e08f/8833233/02f1a492f630/fonc-11-733260-g003.jpg
https://cdn.ncbi.nlm.nih.gov/pmc/blobs/e08f/8833233/61a1b60030d3/fonc-11-733260-g004.jpg

相似文献

1
An MRI-Based Radiomics Model for Predicting the Benignity and Malignancy of BI-RADS 4 Breast Lesions.一种基于磁共振成像的影像组学模型用于预测乳腺影像报告和数据系统(BI-RADS)4类乳腺病变的良恶性
Front Oncol. 2022 Jan 28;11:733260. doi: 10.3389/fonc.2021.733260. eCollection 2021.
2
[Preoperative prediction of HER-2 expression status in breast cancer based on MRI radiomics model].基于MRI影像组学模型的乳腺癌HER-2表达状态术前预测
Zhonghua Zhong Liu Za Zhi. 2024 May 23;46(5):428-437. doi: 10.3760/cma.j.cn112152-20230816-00086.
3
Fully automatic classification of breast lesions on multi-parameter MRI using a radiomics model with minimal number of stable, interpretable features.使用具有最少数量稳定、可解释特征的放射组学模型对多参数MRI上的乳腺病变进行全自动分类。
Radiol Med. 2023 Feb;128(2):160-170. doi: 10.1007/s11547-023-01594-w. Epub 2023 Jan 20.
4
Radiomics Based on DCE-MRI Improved Diagnostic Performance Compared to BI-RADS Analysis in Identifying Sclerosing Adenosis of the Breast.与乳腺影像报告和数据系统(BI-RADS)分析相比,基于动态对比增强磁共振成像(DCE-MRI)的影像组学在识别乳腺硬化性腺病方面提高了诊断性能。
Front Oncol. 2022 May 12;12:888141. doi: 10.3389/fonc.2022.888141. eCollection 2022.
5
Multi-modality radiomics nomogram based on DCE-MRI and ultrasound images for benign and malignant breast lesion classification.基于动态对比增强磁共振成像(DCE-MRI)和超声图像的多模态影像组学列线图用于乳腺良恶性病变分类
Front Oncol. 2022 Dec 2;12:992509. doi: 10.3389/fonc.2022.992509. eCollection 2022.
6
Performance of radiomics models for tumour-infiltrating lymphocyte (TIL) prediction in breast cancer: the role of the dynamic contrast-enhanced (DCE) MRI phase.用于乳腺癌中肿瘤浸润淋巴细胞(TIL)预测的放射组学模型的性能:动态对比增强(DCE)MRI相位的作用
Eur Radiol. 2022 Feb;32(2):864-875. doi: 10.1007/s00330-021-08173-5. Epub 2021 Aug 24.
7
Role of combined clinical-radiomics model based on contrast-enhanced MRI in predicting the malignancy of breast non-mass enhancements without an additional diffusion-weighted imaging sequence.基于对比增强磁共振成像的临床-影像组学联合模型在预测无额外扩散加权成像序列的乳腺非肿块强化灶恶性程度中的作用
Quant Imaging Med Surg. 2023 Sep 1;13(9):5974-5985. doi: 10.21037/qims-22-1199. Epub 2023 Jul 31.
8
Multiparametric MRI model with dynamic contrast-enhanced and diffusion-weighted imaging enables breast cancer diagnosis with high accuracy.多参数 MRI 模型结合动态对比增强和弥散加权成像可实现高准确率的乳腺癌诊断。
J Magn Reson Imaging. 2019 Mar;49(3):864-874. doi: 10.1002/jmri.26285. Epub 2018 Oct 30.
9
Development and Validation of a Radiomics Nomogram for Predicting Clinically Significant Prostate Cancer in PI-RADS 3 Lesions.用于预测PI-RADS 3类病变中具有临床意义的前列腺癌的影像组学列线图的开发与验证
Front Oncol. 2022 Jan 26;11:825429. doi: 10.3389/fonc.2021.825429. eCollection 2021.
10
Intra- and Peritumoral Based Radiomics for Assessment of Lymphovascular Invasion in Invasive Breast Cancer.基于肿瘤内和肿瘤周围的放射组学评估浸润性乳腺癌的淋巴管侵犯。
J Magn Reson Imaging. 2024 Feb;59(2):613-625. doi: 10.1002/jmri.28776. Epub 2023 May 18.

引用本文的文献

1
Intra- and peri-tumoral radiomics based on dynamic contrast-enhanced MRI for prediction of benign disease in BI-RADS 4 breast lesions: a multicentre study.基于动态对比增强磁共振成像的瘤内和瘤周影像组学用于预测BI-RADS 4类乳腺病变的良性疾病:一项多中心研究
Radiat Oncol. 2025 Feb 28;20(1):27. doi: 10.1186/s13014-025-02605-y.
2
Deep Learning-Based DCE-MRI Automatic Segmentation in Predicting Lesion Nature in BI-RADS Category 4.基于深度学习的动态对比增强磁共振成像自动分割在预测乳腺影像报告和数据系统(BI-RADS)4类病变性质中的应用
J Imaging Inform Med. 2024 Nov 25. doi: 10.1007/s10278-024-01340-2.
3
Ultrasound-based radiomics nomogram for predicting HER2-low expression breast cancer.

本文引用的文献

1
A deep learning model integrating mammography and clinical factors facilitates the malignancy prediction of BI-RADS 4 microcalcifications in breast cancer screening.深度学习模型整合乳腺 X 线摄影和临床因素有助于预测乳腺癌筛查中 BI-RADS 4 微钙化的恶性程度。
Eur Radiol. 2021 Aug;31(8):5902-5912. doi: 10.1007/s00330-020-07659-y. Epub 2021 Jan 26.
2
Predicting breast cancer response to neoadjuvant treatment using multi-feature MRI: results from the I-SPY 2 TRIAL.利用多特征磁共振成像预测乳腺癌对新辅助治疗的反应:I-SPY 2试验结果
NPJ Breast Cancer. 2020 Nov 27;6(1):63. doi: 10.1038/s41523-020-00203-7.
3
Artificial Intelligence Applied to Breast MRI for Improved Diagnosis.
基于超声的影像组学列线图预测HER2低表达乳腺癌
Front Oncol. 2024 Sep 18;14:1438923. doi: 10.3389/fonc.2024.1438923. eCollection 2024.
4
A meta-analysis of MRI radiomics-based diagnosis for BI-RADS 4 breast lesions.基于 MRI 影像组学的 BI-RADS 4 类乳腺病变诊断的荟萃分析
J Cancer Res Clin Oncol. 2024 May 15;150(5):254. doi: 10.1007/s00432-024-05697-3.
5
A clinical-radiomics nomogram based on multimodal ultrasound for predicting the malignancy risk in solid hypoechoic breast lesions.基于多模态超声的临床-影像组学列线图预测实性低回声乳腺病变的恶性风险
Front Oncol. 2023 Oct 17;13:1256146. doi: 10.3389/fonc.2023.1256146. eCollection 2023.
6
Combination of ultrafast dynamic contrast-enhanced MRI-based radiomics and artificial neural network in assessing BI-RADS 4 breast lesions: Potential to avoid unnecessary biopsies.基于超快动态对比增强MRI的影像组学与人工神经网络相结合在评估BI-RADS 4类乳腺病变中的应用:避免不必要活检的潜力
Front Oncol. 2023 Feb 1;13:1074060. doi: 10.3389/fonc.2023.1074060. eCollection 2023.
人工智能在乳腺 MRI 中的应用提高了诊断水平。
Radiology. 2021 Jan;298(1):38-46. doi: 10.1148/radiol.2020200292. Epub 2020 Oct 20.
4
Predicting distant metastasis and chemotherapy benefit in locally advanced rectal cancer.预测局部进展期直肠癌的远处转移和化疗获益。
Nat Commun. 2020 Aug 27;11(1):4308. doi: 10.1038/s41467-020-18162-9.
5
Radiomics Based on Multimodal MRI for the Differential Diagnosis of Benign and Malignant Breast Lesions.基于多模态磁共振成像的影像组学用于乳腺良恶性病变的鉴别诊断
J Magn Reson Imaging. 2020 Aug;52(2):596-607. doi: 10.1002/jmri.27098. Epub 2020 Feb 14.
6
Joint Prediction of Breast Cancer Histological Grade and Ki-67 Expression Level Based on DCE-MRI and DWI Radiomics.基于 DCE-MRI 和 DWI 影像组学的乳腺癌组织学分级和 Ki-67 表达水平的联合预测。
IEEE J Biomed Health Inform. 2020 Jun;24(6):1632-1642. doi: 10.1109/JBHI.2019.2956351. Epub 2019 Nov 28.
7
Supplemental MRI Screening for Women with Extremely Dense Breast Tissue.致密型乳腺女性的补充性磁共振成像筛查。
N Engl J Med. 2019 Nov 28;381(22):2091-2102. doi: 10.1056/NEJMoa1903986.
8
Mammography-based radiomic analysis for predicting benign BI-RADS category 4 calcifications.基于乳腺 X 线摄影的放射组学分析预测良性 BI-RADS 类别 4 钙化。
Eur J Radiol. 2019 Dec;121:108711. doi: 10.1016/j.ejrad.2019.108711. Epub 2019 Oct 20.
9
Radiomic signature: A novel magnetic resonance imaging-based prognostic biomarker in patients with skull base chordoma.影像组学特征:一种基于磁共振成像的颅底脊索瘤新型预后生物标志物。
Radiother Oncol. 2019 Dec;141:239-246. doi: 10.1016/j.radonc.2019.10.002. Epub 2019 Oct 25.
10
The Applications of Radiomics in Precision Diagnosis and Treatment of Oncology: Opportunities and Challenges.放射组学在肿瘤精准诊断与治疗中的应用:机遇与挑战。
Theranostics. 2019 Feb 12;9(5):1303-1322. doi: 10.7150/thno.30309. eCollection 2019.