Suppr超能文献

绿色银纳米颗粒促进人类白血病单核细胞炎症消退

Green Silver Nanoparticles Promote Inflammation Shutdown in Human Leukemic Monocytes.

作者信息

Cascione Mariafrancesca, Rizzello Loris, Manno Daniela, Serra Antonio, De Matteis Valeria

机构信息

Department of Mathematics and Physics "Ennio De Giorgi", University of Salento, Via Arnesano, 73100 Lecce, Italy.

Department of Pharmaceutical Sciences (DISFARM), University of Milan, Via G. Balzaretti 9, 20133 Milan, Italy.

出版信息

Materials (Basel). 2022 Jan 20;15(3):775. doi: 10.3390/ma15030775.

Abstract

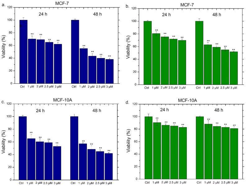
The use of silver nanoparticles (Ag NPs) in the biomedical field deserves a mindful analysis of the possible inflammatory response which could limit their use in the clinic. Despite the anti-cancer properties of Ag NPs having been widely demonstrated, there are still few studies concerning their involvement in the activation of specific inflammatory pathways. The inflammatory outcome depends on the synthetic route used in the NPs production, in which toxic reagents are employed. In this work, we compared two types of Ag NPs, obtained by two different chemical routes: conventional synthesis using sodium citrate and a green protocol based on leaf extracts as a source of reduction and capping agents. A careful physicochemical characterization was carried out showing spherical and stable Ag NPs with an average size between 20 nm and 35 nm for conventional and green Ag NPs respectively. Then, we evaluated their ability to induce the activation of inflammation in Human Leukemic Monocytes (THP-1) differentiated into M0 macrophages using 1 µM and 2 µM NPs concentrations (corresponded to 0.1 µg/mL and 0.2 µg/mL respectively) and two-time points (24 h and 48 h). Our results showed a clear difference in Nuclear Factor κB (NF-κb) activation, Interleukins 6-8 (IL-6, IL-8) secretion, Tumor Necrosis Factor-α (TNF-α) and Cyclooxygenase-2 (COX-2) expression exerted by the two kinds of Ag NPs. Green Ag NPs were definitely tolerated by macrophages compared to conventional Ag NPs which induced the activation of all the factors mentioned above. Subsequently, the exposure of breast cancer cell line (MCF-7) to the green Ag NPs showed that they exhibited antitumor activity like the conventional ones, but surprisingly, using the MCF-10A line (not tumoral breast cells) the green Ag NPs did not cause a significant decrease in cell viability.

摘要

银纳米颗粒(Ag NPs)在生物医学领域的应用值得对可能的炎症反应进行审慎分析,因为这种反应可能会限制其在临床上的使用。尽管Ag NPs的抗癌特性已得到广泛证实,但关于它们参与特定炎症途径激活的研究仍然很少。炎症结果取决于纳米颗粒生产中使用的合成路线,其中会使用有毒试剂。在这项工作中,我们比较了通过两种不同化学路线获得的两种Ag NPs:使用柠檬酸钠的传统合成方法和基于叶提取物作为还原和封端剂来源的绿色方案。进行了仔细的物理化学表征,结果表明传统Ag NPs和绿色Ag NPs均为球形且稳定,平均粒径分别在20 nm至35 nm之间。然后,我们使用1 μM和2 μM的纳米颗粒浓度(分别对应于0.1 μg/mL和0.2 μg/mL)以及两个时间点(24小时和48小时),评估了它们诱导分化为M0巨噬细胞的人白血病单核细胞(THP-1)炎症激活的能力。我们的结果显示,两种Ag NPs在核因子κB(NF-κb)激活、白细胞介素6 - 8(IL-6、IL-8)分泌、肿瘤坏死因子-α(TNF-α)和环氧合酶-2(COX-2)表达方面存在明显差异。与诱导上述所有因子激活的传统Ag NPs相比,绿色Ag NPs肯定更能被巨噬细胞耐受。随后,将乳腺癌细胞系(MCF-7)暴露于绿色Ag NPs表明,它们表现出与传统Ag NPs类似的抗肿瘤活性,但令人惊讶的是,使用MCF-10A细胞系(非肿瘤性乳腺细胞)时,绿色Ag NPs并未导致细胞活力显著下降。

https://cdn.ncbi.nlm.nih.gov/pmc/blobs/2b55/8836503/1c03a580d5a5/materials-15-00775-g001.jpg

文献检索

告别复杂PubMed语法,用中文像聊天一样搜索,搜遍4000万医学文献。AI智能推荐,让科研检索更轻松。

立即免费搜索

文件翻译

保留排版,准确专业,支持PDF/Word/PPT等文件格式,支持 12+语言互译。

免费翻译文档

深度研究

AI帮你快速写综述,25分钟生成高质量综述,智能提取关键信息,辅助科研写作。

立即免费体验