Suppr超能文献

在休闲活跃的个体中,Tyme 穿戴式智能衬衫检测个性化通气阈是否可靠和有效?

Is the Tyme Wear Smart Shirt Reliable and Valid at Detecting Personalized Ventilatory Thresholds in Recreationally Active Individuals?

机构信息

Recreation, Exercise & Sport Science, Western Colorado University, Gunnison, CO 81231, USA.

出版信息

Int J Environ Res Public Health. 2022 Jan 20;19(3):1147. doi: 10.3390/ijerph19031147.

Abstract

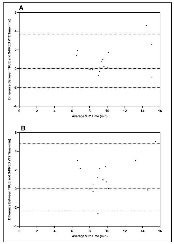
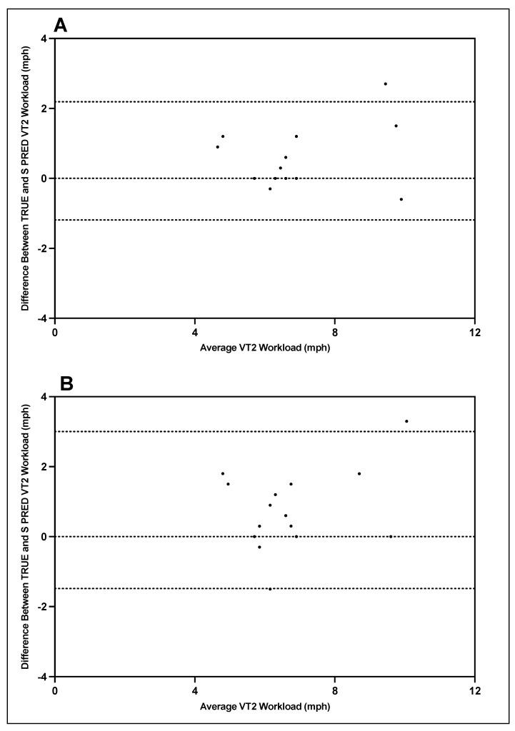
The aim of this study was to determine the extent to which the Tyme Wear smart shirt is as reliable and valid in detecting personalized ventilatory thresholds when compared to the Parvo Medics TrueOne 2400. In this validation study, 19 subjects were recruited to conduct two graded exercise test (GXT) trials. Each GXT trial was separated by 7 to 10 days of rest. During the GXT, gas exchange and heart rate data were collected by the TrueOne 2400 (TRUE) in addition to the ventilation data collected by the Tyme Wear smart shirt (S-PRED). Gas exchange data from TRUE were used to detect ventilatory threshold 1 (VT1) and ventilatory threshold 2 (VT2). TRUE and S-PRED VT1 and VT2 were compared to determine the reliability and validity of the smart shirt. Of the 19 subjects, data from 15 subjects were used during analysis. S-PRED exhibited excellent (intraclass correlation coefficient-CC > 0.90) reliability for detection of VT1 and VT2 utilizing time point and workload and moderate (0.90 > ICC > 0.75) reliability utilizing heart rate. TRUE exhibited excellent reliability for detection of VT1 and VT2 utilizing time point, workload, and heart rate. When compared to TRUE, S-PRED appears to underestimate the VT1 workload ( > 0.05) across both trials and heart rate ( < 0.05) for trial 1. However, S-PRED appears to underestimate VT2 workload ( < 0.05) and heart rate ( < 0.05) across both trials. The result from this study suggests that the Tyme Wear smart shirt is less valid but is comparable in reliability when compared to the gold standard. Moreover, despite the underestimation of S-PRED VT1 and VT2, the S-PRED-detected personalized ventilatory thresholds provide an adequate training workload for most individuals. In conclusion, the Tyme Wear smart shirt provides easily accessible testing to establish threshold-guided training zones but does not devalue the long-standing laboratory equivalent.

摘要

本研究旨在确定 Tyme Wear 智能衬衫在检测个性化通气阈值方面与 Parvo Medics TrueOne 2400 相比的可靠性和有效性。在这项验证研究中,招募了 19 名受试者进行两次递增负荷运动试验 (GXT) 试验。每次 GXT 试验之间间隔 7 至 10 天的休息时间。在 GXT 期间,TrueOne 2400(TRUE)收集了气体交换和心率数据,此外 Tyme Wear 智能衬衫(S-PRED)还收集了通风数据。TRUE 中的气体交换数据用于检测通气阈值 1 (VT1) 和通气阈值 2 (VT2)。TRUE 和 S-PRED 的 VT1 和 VT2 进行了比较,以确定智能衬衫的可靠性和有效性。在 19 名受试者中,有 15 名受试者的数据用于分析。S-PRED 显示出优异的(组内相关系数-CC > 0.90)可靠性,可用于检测 VT1 和 VT2 利用时间点和工作量,以及适度的(0.90 > CC > 0.75)可靠性,利用心率。TRUE 显示出优异的可靠性,可用于检测 VT1 和 VT2 利用时间点、工作量和心率。与 TRUE 相比,S-PRED 似乎在两次试验中都低估了 VT1 工作量(> 0.05)和心率(< 0.05)(试验 1)。然而,S-PRED 似乎在两次试验中都低估了 VT2 工作量(< 0.05)和心率(< 0.05)。本研究结果表明,与金标准相比,Tyme Wear 智能衬衫的有效性较低,但可靠性相当。此外,尽管 S-PRED 的 VT1 和 VT2 被低估,但 S-PRED 检测到的个性化通气阈值为大多数人提供了足够的训练工作量。总之,Tyme Wear 智能衬衫提供了易于访问的测试,可以建立阈值引导的训练区,但不会贬低长期存在的实验室等效物。

https://cdn.ncbi.nlm.nih.gov/pmc/blobs/d502/8835019/cb4497cccc22/ijerph-19-01147-g001.jpg

文献检索

告别复杂PubMed语法,用中文像聊天一样搜索,搜遍4000万医学文献。AI智能推荐,让科研检索更轻松。

立即免费搜索

文件翻译

保留排版,准确专业,支持PDF/Word/PPT等文件格式,支持 12+语言互译。

免费翻译文档

深度研究

AI帮你快速写综述,25分钟生成高质量综述,智能提取关键信息,辅助科研写作。

立即免费体验