College of Health Sciences, The University of Texas at El Paso, El Paso, TX, USA.
Abbott Nutrition, Columbus, OH, USA.
J Cachexia Sarcopenia Muscle. 2022 Apr;13(2):1224-1237. doi: 10.1002/jcsm.12932. Epub 2022 Feb 17.
Metabolic flexibility is the ability of skeletal muscle to adapt fuel utilization to the demand for fuel sources [carbohydrates (CHO) and fats (FAT)]. The purpose of this study was to explore muscle energy metabolism and metabolic flexibility under various conditions in sarcopenic (S) versus nonsarcopenic (NS) older adults.
Twenty-two older adults aged 65 years or older were categorized as NS [n = 11; mean ± standard deviation (SD); age = 73.5 ± 6.0 years (males, n = 5; females, n = 6)] or S [n = 11; 81.2 ± 10.5 years (males, n = 6; females, n = 5) based on handgrip strength, body composition and physical performance. Indirect calorimetry was recorded before and after consumption of a high-CHO meal and during aerobic and anaerobic exercise. Respiratory quotient (RQ), CHO and FAT oxidation were assessed. Venous blood samples were collected for glucose and insulin concentrations.
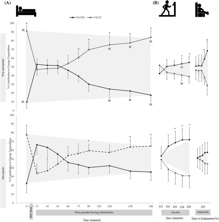
At rest, compared with NS, S exhibited a 5-8% higher RQ at 0 (0.72 vs. 0.76) and 120 (0.77 vs. 0.82), 150 (0.76 vs. 0.80), and 180 min (0.74 vs. 0.80) (P = 0.002-0.025); 59-195% higher CHO oxidation at 0, 120, and 180 min (0.0004-0.002 vs. 0.001-0.002 g·min ·kg (P = 0.010-0.047); and 20-31% lower FAT oxidation at 0, 15, and 90-180 min (0.0009-0.0022 vs. 0.0011-0.002 g·min ·kg ) (P = 0.004-0.038). Glucose levels were significantly elevated in S versus NS at 0, 60 and 75 min (144.64-202.78 vs. 107.70-134.20 mg·dL ) but not insulin. During aerobic exercise, RQ was 5% greater (0.90 vs. 0.86) (P = 0.039), and FAT oxidation was 35% lower at 6-8 min (0.003 vs. 0.005 g·min ·kg ) (P = 0.033) in S versus NS. During anaerobic exercise, CHO oxidation was 31% greater in NS versus S at 60-80% time to exhaustion (0.011 vs. 0.007 g·min ·kg ) (P = 0.015). Per cent contribution to energy expenditure was greater in S for CHO but lower for FAT at 0 (CHO: 22% vs. 10%; FAT: 78% vs. 91%) and 120-180 min (CHO: 35-42% vs. 17-25%; FAT: 58-65% vs. 75%-84%) (P = 0.003-0.046) at rest and 6-8 min during aerobic exercise (CHO: 70% vs. 57%; FAT: 30% vs. 45%) (P = 0.046).
The data show differences in skeletal muscle energy metabolism and substrate utilization between S and NS at rest, transitioning from fasted to fed state, and during exercise. Compared with NS, S displayed a diminished ability to adapt fuel utilization in response to feeding and exercise, reflecting metabolic inflexibility. Impaired metabolic flexibility could be a mechanism underlying the losses of strength and physical function accompanying sarcopenia.
代谢灵活性是骨骼肌适应燃料来源(碳水化合物(CHO)和脂肪(FAT))需求的能力。本研究的目的是探索在肌肉减少症(S)与非肌肉减少症(NS)老年人中,各种情况下的肌肉能量代谢和代谢灵活性。
22 名年龄在 65 岁或以上的老年人根据握力、身体成分和身体表现分为 NS [n=11;平均值±标准差(SD);年龄=73.5±6.0 岁(男性,n=5;女性,n=6)]或 S [n=11;81.2±10.5 岁(男性,n=6;女性,n=5)]。在摄入高 CHO 餐后和进行有氧运动和无氧运动之前和期间,进行间接测热法记录。评估呼吸商(RQ)、CHO 和 FAT 氧化。采集静脉血样以检测血糖和胰岛素浓度。
在休息时,与 NS 相比,S 在 0、120 和 180 分钟时的 RQ 分别高 5-8%(0.72 对 0.76、0.77 对 0.82 和 0.76 对 0.80),CHO 氧化率分别高 59-195%(0.0004-0.002 对 0.001-0.002 g·min·kg),FAT 氧化率分别低 20-31%(0.0009-0.0022 对 0.0011-0.002 g·min·kg)(P=0.010-0.047)。在 0、60 和 75 分钟时,S 的血糖水平明显高于 NS(144.64-202.78 对 107.70-134.20 mg·dL),但胰岛素水平没有差异。在有氧运动期间,RQ 高 5%(0.90 对 0.86)(P=0.039),在 6-8 分钟时,FAT 氧化率低 35%(0.003 对 0.005 g·min·kg)(P=0.033)。在无氧运动期间,S 在 60-80%的运动时间内,CHO 氧化率比 NS 高 31%(0.011 对 0.007 g·min·kg)(P=0.015)。在休息时和 120-180 分钟时,CHO 的能量贡献百分比在 S 中更高,但 FAT 的能量贡献百分比在 S 中更低(CHO:22% 对 10%;FAT:78% 对 91%)(P=0.003-0.046),在休息时和 6-8 分钟的有氧运动期间(CHO:70% 对 57%;FAT:30% 对 45%)(P=0.046)。
数据显示,在休息时、从禁食状态过渡到进食状态以及运动期间,S 和 NS 的骨骼肌能量代谢和底物利用存在差异。与 NS 相比,S 显示出在进食和运动时适应燃料利用的能力降低,反映出代谢灵活性降低。代谢灵活性受损可能是肌肉减少症伴随的力量和身体功能丧失的机制之一。