Suppr超能文献

从海洋附生真菌中分离得到的新的多甲氧基麦角生物碱

New Trichothecenes Isolated from the Marine Algicolous Fungus  .

机构信息

Ph.D. Program in Clinical Drug Development of Herbal Medicine, College of Pharmacy, Taipei Medical University, Taipei 11031, Taiwan.

Department of Pharmacy, Faculty of Health Science, University of Muhammadiyah Mataram, Mataram 83127, Indonesia.

出版信息

Mar Drugs. 2022 Jan 18;20(2):80. doi: 10.3390/md20020080.

Abstract

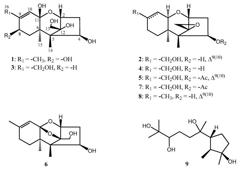
Eight trichothecenes, including four new compounds - and four known entities -, together with one known cyclonerane () were isolated from the solid-state fermentation of   NTU439 isolated from the marine alga . The structures of - were determined by 1D/2D NMR (nuclear magnetic resonance), MS (mass spectrometry), and IR (infrared spectroscopy) spectroscopic data. All of the compounds were evaluated for cytotoxic activity against HCT-116, PC-3, and SK-Hep-1 cancer cells by the SRB assay, and compound showed promising cytotoxic activity against all three cancer cell lines with the IC values of 3.3 ± 0.3, 5.3 ± 0.3, and 1.8 ± 0.8 μM, respectively. Compounds -, -, and - potently inhibited LPS-induced NO production, and compounds and showed markedly inhibited gelatinolysis of MMP-9 in S1 protein-stimulated THP-1 monocytes.

摘要

从海洋藻类中分离出的菌株  NTU439 的固态发酵产物中分离得到了 8 种单端孢霉烯族化合物,包括 4 种新化合物和 4 种已知化合物,以及一种已知的环二萜。通过 1D/2D NMR(核磁共振)、MS(质谱)和 IR(红外光谱)光谱数据确定了 - 的结构。采用 SRB 法测定了所有化合物对 HCT-116、PC-3 和 SK-Hep-1 癌细胞的细胞毒性活性,化合物 对三种癌细胞系均显示出有希望的细胞毒性活性,IC 值分别为 3.3 ± 0.3、5.3 ± 0.3 和 1.8 ± 0.8 μM。化合物 -、- 和 - 强烈抑制 LPS 诱导的 NO 产生,化合物 和 显著抑制 S1 蛋白刺激的 THP-1 单核细胞中 MMP-9 的明胶酶解。

https://cdn.ncbi.nlm.nih.gov/pmc/blobs/78b0/8875558/10cc7dc178bf/marinedrugs-20-00080-g001.jpg

文献检索

告别复杂PubMed语法,用中文像聊天一样搜索,搜遍4000万医学文献。AI智能推荐,让科研检索更轻松。

立即免费搜索

文件翻译

保留排版,准确专业,支持PDF/Word/PPT等文件格式,支持 12+语言互译。

免费翻译文档

深度研究

AI帮你快速写综述,25分钟生成高质量综述,智能提取关键信息,辅助科研写作。

立即免费体验