• 文献检索
  • 文档翻译
  • 深度研究
  • 学术资讯
  • Suppr Zotero 插件Zotero 插件
  • 邀请有礼
  • 套餐&价格
  • 历史记录
应用&插件
Suppr Zotero 插件Zotero 插件浏览器插件Mac 客户端Windows 客户端微信小程序
定价
高级版会员购买积分包购买API积分包
服务
文献检索文档翻译深度研究API 文档MCP 服务
关于我们
关于 Suppr公司介绍联系我们用户协议隐私条款
关注我们

Suppr 超能文献

核心技术专利:CN118964589B侵权必究
粤ICP备2023148730 号-1Suppr @ 2026

文献检索

告别复杂PubMed语法,用中文像聊天一样搜索,搜遍4000万医学文献。AI智能推荐,让科研检索更轻松。

立即免费搜索

文件翻译

保留排版,准确专业,支持PDF/Word/PPT等文件格式,支持 12+语言互译。

免费翻译文档

深度研究

AI帮你快速写综述,25分钟生成高质量综述,智能提取关键信息,辅助科研写作。

立即免费体验

AL41给药及感染后对鸡免疫参数的影响。

Influence of Immune Parameters after AL41 Administration and Infection in Chickens.

作者信息

Revajová Viera, Benková Terézia, Karaffová Viera, Levkut Martin, Selecká Emília, Dvorožňáková Emília, Ševčíková Zuzana, Herich Róbert, Levkut Mikuláš

机构信息

Department of Morphological Disciplines, University of Veterinary Medicine and Pharmacy, 041 81 Košice, Slovakia.

Institute of Parasitology, Slovak Academy of Sciences, 040 01 Košice, Slovakia.

出版信息

Life (Basel). 2022 Jan 28;12(2):201. doi: 10.3390/life12020201.

DOI:10.3390/life12020201
PMID:35207488
原文链接:https://pmc.ncbi.nlm.nih.gov/articles/PMC8878764/
Abstract

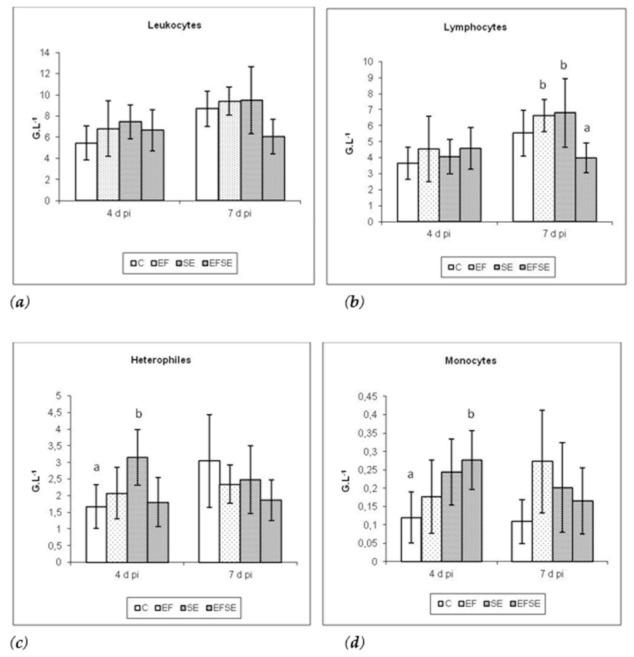
Immune response of day-old chicks infected with Enteritidis PT4 and preventive administration of AL41 were studied using hematology and flow cytometry of immunocompetent cells in blood, cecum, bursa and spleen for 11 days, and included 220 animals divided into four groups (n = 55). AL41 was administered for 7 days to EF and EFSE groups and on day 4 SE and EFSE groups were infected with Enteritidis. Values of monocytes at 4 dpi significantly increased in EFSE and lymphocytes at 7 dpi in EF groups. Blood CD3, CD4, CD8 and IgM lymphocytes improved in EF and EFSE groups and IgA in EF group at 4 dpi. Phagocytic activity of probiotic groups was improved in both samples. Cecal IEL and LPL lymphocytes showed at 7 dpi stimulation of CD3, CD4 and CD8 subpopulations in probiotic groups, especially in EFSE group, IgA IEL and IgA with IgM LPL in EF groups. Bursa Fabricii at 7 dpi presented overstimulation of IgG subpopulation in SE group, spleen CD3 and CD8 in EF and EFSE groups. AL41 revealed the protective effect and positive influence on the local and systemic immune response in Enteritidis PT4 infected chickens.

摘要

利用血液、盲肠、法氏囊和脾脏中免疫活性细胞的血液学和流式细胞术,对感染肠炎沙门氏菌PT4的1日龄雏鸡的免疫反应以及AL41的预防性给药进行了为期11天的研究,研究包括220只动物,分为四组(n = 55)。EF组和EFSE组给予AL41 7天,SE组和EFSE组在第4天感染肠炎沙门氏菌。EFSE组在感染后第4天单核细胞值显著增加,EF组在感染后第7天淋巴细胞值显著增加。EF组和EFSE组血液中的CD3、CD4、CD8和IgM淋巴细胞在感染后第4天有所改善,EF组的IgA在感染后第4天有所改善。益生菌组的吞噬活性在两个样本中均有所提高。盲肠IEL和LPL淋巴细胞在感染后第7天显示益生菌组中CD3、CD4和CD8亚群受到刺激,尤其是EFSE组,EF组中IgA IEL和IgA与IgM LPL。法氏囊在感染后第7天显示SE组中IgG亚群过度刺激,EF组和EFSE组脾脏中的CD3和CD8。AL41对感染肠炎沙门氏菌PT4的鸡的局部和全身免疫反应具有保护作用和积极影响。

https://cdn.ncbi.nlm.nih.gov/pmc/blobs/b6e9/8878764/2db283015566/life-12-00201-g005.jpg
https://cdn.ncbi.nlm.nih.gov/pmc/blobs/b6e9/8878764/191dc80463a4/life-12-00201-g001.jpg
https://cdn.ncbi.nlm.nih.gov/pmc/blobs/b6e9/8878764/1f8dd8c846b1/life-12-00201-g002.jpg
https://cdn.ncbi.nlm.nih.gov/pmc/blobs/b6e9/8878764/4ebfe2d44b52/life-12-00201-g003a.jpg
https://cdn.ncbi.nlm.nih.gov/pmc/blobs/b6e9/8878764/81b2b0167b24/life-12-00201-g004.jpg
https://cdn.ncbi.nlm.nih.gov/pmc/blobs/b6e9/8878764/2db283015566/life-12-00201-g005.jpg
https://cdn.ncbi.nlm.nih.gov/pmc/blobs/b6e9/8878764/191dc80463a4/life-12-00201-g001.jpg
https://cdn.ncbi.nlm.nih.gov/pmc/blobs/b6e9/8878764/1f8dd8c846b1/life-12-00201-g002.jpg
https://cdn.ncbi.nlm.nih.gov/pmc/blobs/b6e9/8878764/4ebfe2d44b52/life-12-00201-g003a.jpg
https://cdn.ncbi.nlm.nih.gov/pmc/blobs/b6e9/8878764/81b2b0167b24/life-12-00201-g004.jpg
https://cdn.ncbi.nlm.nih.gov/pmc/blobs/b6e9/8878764/2db283015566/life-12-00201-g005.jpg

相似文献

1
Influence of Immune Parameters after AL41 Administration and Infection in Chickens.AL41给药及感染后对鸡免疫参数的影响。
Life (Basel). 2022 Jan 28;12(2):201. doi: 10.3390/life12020201.
2
IgA gene expression and quantification of cecal IgA+, IgM+, and CD4+ cells in chickens treated with EFAL41 and infected with Salmonella Enteritidis.用EFAL41处理并感染肠炎沙门氏菌的鸡中IgA基因表达及盲肠IgA+、IgM+和CD4+细胞的定量分析。
Acta Histochem. 2015 Sep;117(7):629-34. doi: 10.1016/j.acthis.2015.06.004. Epub 2015 Jun 18.
3
Muscle characteristics in chicks challenged with Salmonella Enteritidis and the effect of preventive application of the probiotic Enterococcus faecium.感染肠炎沙门氏菌雏鸡的肌肉特性和益生菌屎肠球菌预防性应用的效果。
Poult Sci. 2019 May 1;98(5):2014-2025. doi: 10.3382/ps/pey561.
4
Leukocytic responses and intestinal mucin dynamics of broilers protected with Enterococcus faecium EF55 and challenged with Salmonella Enteritidis.经屎肠球菌 EF55 保护并攻毒后的肉鸡的白细胞反应和肠道黏液动力学。
Res Vet Sci. 2012 Aug;93(1):195-201. doi: 10.1016/j.rvsc.2011.06.021. Epub 2011 Jul 20.
5
Interaction of TGF-β4 and IL-17 with IgA secretion in the intestine of chickens fed with E. faecium AL41 and challenged with S. Enteritidis.用屎肠球菌AL41喂养并受到肠炎沙门氏菌攻击的鸡肠道中转化生长因子-β4(TGF-β4)和白细胞介素-17(IL-17)与IgA分泌的相互作用
Res Vet Sci. 2015 Jun;100:75-9. doi: 10.1016/j.rvsc.2015.04.005. Epub 2015 Apr 17.
6
Antimicrobial activity of Enterococcus faecium ef 55 against Salmonella enteritidis in chicks.粪肠球菌ef 55对雏鸡肠炎沙门氏菌的抗菌活性。
Acta Vet Hung. 2009 Mar;57(1):13-24. doi: 10.1556/AVet.57.2009.1.2.
7
Influence of oral application of Enterococcus faecium AL41 on TGF-β4 and IL-17 expression and immunocompetent cell distribution in chickens challenged with Campylobacter jejuni.口服屎肠球菌AL41对空肠弯曲菌攻毒鸡只中转化生长因子-β4和白细胞介素-17表达及免疫活性细胞分布的影响
Acta Vet Hung. 2017 Sep;65(3):317-326. doi: 10.1556/004.2017.031.
8
The Effect of AL41 on the Acute Phase Proteins and Selected Mucosal Immune Molecules in Broiler Chickens.AL41对肉鸡急性期蛋白及所选黏膜免疫分子的影响。
Life (Basel). 2022 Apr 18;12(4):598. doi: 10.3390/life12040598.
9
Use of bacteriocin-producing, probiotic strain Enterococcus faecium AL41 to control intestinal microbiota in farm ostriches.使用产细菌素的益生菌屎肠球菌AL41来控制养殖鸵鸟的肠道微生物群。
Lett Appl Microbiol. 2015 Jun;60(6):531-5. doi: 10.1111/lam.12409. Epub 2015 Mar 20.
10
Effects of Salmonella enterica ser. Enteritidis and Heidelberg on host CD4+CD25+ regulatory T cell suppressive immune responses in chickens.肠炎沙门氏菌血清型肠炎亚种和鸡 Heidelberg 对宿主 CD4+CD25+调节性 T 细胞抑制性免疫应答的影响。
PLoS One. 2021 Nov 29;16(11):e0260280. doi: 10.1371/journal.pone.0260280. eCollection 2021.

引用本文的文献

1
Exploring the Potential of Novel Animal-Origin Probiotics as Key Players in One Health: Opportunities and Challenges.探索新型动物源益生菌作为“同一健康”关键参与者的潜力:机遇与挑战。
Int J Mol Sci. 2025 May 27;26(11):5143. doi: 10.3390/ijms26115143.
2
Impact of Enterococcus faecium AL41 on growth performance, immune parameters, morphology, and tight junction proteins in intestine of chicks.屎肠球菌AL41对雏鸡生长性能、免疫参数、肠道形态及紧密连接蛋白的影响
Poult Sci. 2025 May 28;104(8):105361. doi: 10.1016/j.psj.2025.105361.

本文引用的文献

1
Probiotics in poultry feed: A comprehensive review.家禽饲料中的益生菌:全面综述。
J Anim Physiol Anim Nutr (Berl). 2020 Nov;104(6):1835-1850. doi: 10.1111/jpn.13454. Epub 2020 Sep 29.
2
Humoral Immunity vs. .体液免疫与……
Front Immunol. 2020 Jan 21;10:3155. doi: 10.3389/fimmu.2019.03155. eCollection 2019.
3
Induction of Mucosal Humoral Immunity by Subcutaneous Injection of an Oil-emulsion Vaccine against subsp. serovar Enteritidis in Chickens.通过皮下注射针对鸡肠炎沙门氏菌肠炎亚种血清型的油乳剂疫苗诱导鸡黏膜体液免疫
Food Saf (Tokyo). 2018 Nov 20;6(4):151-155. doi: 10.14252/foodsafetyfscj.2018003. eCollection 2018 Dec.
4
The Anti-parasitic Effect of Probiotic Bacteria Limiting the Fecundity of Female Adults.益生菌限制雌性成虫繁殖力的抗寄生虫作用
Helminthologia. 2018 Jun 1;55(2):102-111. doi: 10.2478/helm-2018-0010. eCollection 2018 Jun.
5
Salmonella infection - prevention and treatment by antibiotics and probiotic yeasts: a review.沙门氏菌感染——抗生素和益生菌酵母的预防与治疗:综述
Microbiology (Reading). 2018 Nov;164(11):1327-1344. doi: 10.1099/mic.0.000709. Epub 2018 Aug 23.
6
Antigen phagocytosis by B cells is required for a potent humoral response.B 细胞对抗原的吞噬作用是产生强烈体液免疫应答所必需的。
EMBO Rep. 2018 Sep;19(9). doi: 10.15252/embr.201846016. Epub 2018 Jul 9.
7
Effect of an Enterococcus faecium probiotic on specific IgA following live Salmonella Enteritidis vaccination of layer chickens.屎肠球菌益生菌对蛋鸡接种肠炎沙门氏菌活疫苗后特异性IgA的影响。
Avian Pathol. 2018 Jun;47(3):325-333. doi: 10.1080/03079457.2018.1450487. Epub 2018 Apr 6.
8
Application of Probiotics for the Production of Safe and High-quality Poultry Meat.益生菌在安全优质禽肉生产中的应用。
Korean J Food Sci Anim Resour. 2016 Oct 31;36(5):567-576. doi: 10.5851/kosfa.2016.36.5.567.
9
TLR4 and TLR21 expression, MIF, IFN-β, MD-2, CD14 activation, and sIgA production in chickens administered with EFAL41 strain challenged with Campylobacter jejuni.用空肠弯曲杆菌攻击后,给鸡施用EFAL41菌株后其Toll样受体4(TLR4)和Toll样受体21(TLR21)的表达、巨噬细胞移动抑制因子(MIF)、干扰素-β(IFN-β)、髓系分化蛋白2(MD-2)、CD14激活及分泌型免疫球蛋白A(sIgA)的产生情况。
Folia Microbiol (Praha). 2017 Mar;62(2):89-97. doi: 10.1007/s12223-016-0475-6. Epub 2016 Oct 3.
10
Enterococcus faecium AL 41: Its Enterocin M and Their Beneficial Use in Rabbits Husbandry.屎肠球菌AL 41:其肠球菌素M及其在养兔业中的有益用途。
Probiotics Antimicrob Proteins. 2012 Dec;4(4):243-9. doi: 10.1007/s12602-012-9118-7.