Suppr超能文献

全球分析柳枝稷(Panicum virgatum L.)转录组对干旱和热胁迫互作的响应。

Global analysis of switchgrass (Panicum virgatum L.) transcriptomes in response to interactive effects of drought and heat stresses.

机构信息

Molecular Genetics and Epigenomics Laboratory, College of Agriculture, Science and Technology, Delaware State University, Dover, DE, USA.

Center for Bioinformatics and Computational Biology, Department of Computer and Information Sciences, University of Delaware, Newark, DE, USA.

出版信息

BMC Plant Biol. 2022 Mar 8;22(1):107. doi: 10.1186/s12870-022-03477-0.

Abstract

BACKGROUND

Sustainable production of high-quality feedstock has been of great interest in bioenergy research. Despite the economic importance, high temperatures and water deficit are limiting factors for the successful cultivation of switchgrass in semi-arid areas. There are limited reports on the molecular basis of combined abiotic stress tolerance in switchgrass, particularly the combination of drought and heat stress. We used transcriptomic approaches to elucidate the changes in the response of switchgrass to drought and high temperature simultaneously.

RESULTS

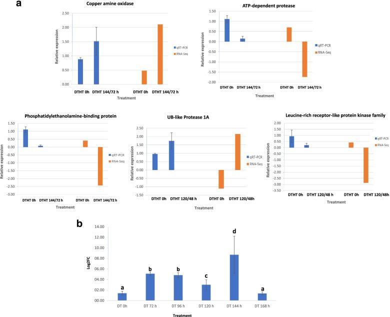
We conducted solely drought treatment in switchgrass plant Alamo AP13 by withholding water after 45 days of growing. For the combination of drought and heat effect, heat treatment (35 °C/25 °C day/night) was imposed after 72 h of the initiation of drought. Samples were collected at 0 h, 72 h, 96 h, 120 h, 144 h, and 168 h after treatment imposition, total RNA was extracted, and RNA-Seq conducted. Out of a total of 32,190 genes, we identified 3912, as drought (DT) responsive genes, 2339 and 4635 as, heat (HT) and drought and heat (DTHT) responsive genes, respectively. There were 209, 106, and 220 transcription factors (TFs) differentially expressed under DT, HT and DTHT respectively. Gene ontology annotation identified the metabolic process as the significant term enriched in DTHT genes. Other biological processes identified in DTHT responsive genes included: response to water, photosynthesis, oxidation-reduction processes, and response to stress. KEGG pathway enrichment analysis on DT and DTHT responsive genes revealed that TFs and genes controlling phenylpropanoid pathways were important for individual as well as combined stress response. For example, hydroxycinnamoyl-CoA shikimate/quinate hydroxycinnamoyl transferase (HCT) from the phenylpropanoid pathway was induced by single DT and combinations of DTHT stress.

CONCLUSION

Through RNA-Seq analysis, we have identified unique and overlapping genes in response to DT and combined DTHT stress in switchgrass. The combination of DT and HT stress may affect the photosynthetic machinery and phenylpropanoid pathway of switchgrass which negatively impacts lignin synthesis and biomass production of switchgrass. The biological function of genes identified particularly in response to DTHT stress could further be confirmed by techniques such as single point mutation or RNAi.

摘要

背景

可持续生产高质量的饲料一直是生物能源研究的热点。尽管具有经济重要性,但高温和水分不足是半干旱地区成功种植柳枝稷的限制因素。关于柳枝稷对非生物胁迫耐受性的分子基础,特别是干旱和热胁迫的组合,报道有限。我们使用转录组学方法来阐明柳枝稷对干旱和高温同时响应的变化。

结果

我们通过在生长 45 天后停止供水,对柳枝稷植物 Alamo AP13 进行单独的干旱处理。对于干旱和热效应的组合,在开始干旱 72 小时后进行热处理(35°C/25°C 昼/夜)。在处理后 0 小时、72 小时、96 小时、120 小时、144 小时和 168 小时采集样品,提取总 RNA,并进行 RNA-Seq。在总共 32190 个基因中,我们鉴定出 3912 个对干旱(DT)有反应的基因,2339 个和 4635 个分别对热(HT)和干旱和热(DTHT)有反应的基因。在 DT、HT 和 DTHT 下分别有 209、106 和 220 个转录因子(TF)差异表达。GO 注释确定代谢过程是 DTHT 基因中富集的重要术语。在 DTHT 反应基因中还鉴定出其他生物过程,包括:对水的反应、光合作用、氧化还原过程和对胁迫的反应。KEGG 途径富集分析表明,对单个和组合胁迫反应重要的是控制苯丙烷途径的 TF 和基因。例如,苯丙烷途径中的羟基肉桂酰辅酶 A 莽草酸/奎宁酸羟基肉桂酰转移酶(HCT)被单个 DT 和 DTHT 组合胁迫诱导。

结论

通过 RNA-Seq 分析,我们在柳枝稷中鉴定出了对 DT 和组合 DTHT 胁迫有反应的独特和重叠基因。DT 和 HT 胁迫的组合可能会影响柳枝稷的光合作用机制和苯丙烷途径,从而对柳枝稷的木质素合成和生物量产生负面影响。特别是对 DTHT 胁迫有反应的基因的生物学功能可以通过单点突变或 RNAi 等技术进一步证实。

https://cdn.ncbi.nlm.nih.gov/pmc/blobs/d38d/8903725/7d5ce2fc1e85/12870_2022_3477_Fig1_HTML.jpg

相似文献

3
Transcriptome analysis of heat stress response in switchgrass (Panicum virgatum L.).
BMC Plant Biol. 2013 Oct 6;13:153. doi: 10.1186/1471-2229-13-153.
4
Comparative transcriptome profiling of upland (VS16) and lowland (AP13) ecotypes of switchgrass.
Plant Cell Rep. 2017 Jan;36(1):129-150. doi: 10.1007/s00299-016-2065-0. Epub 2016 Nov 3.
7
Long non-coding RNAs of switchgrass (Panicum virgatum L.) in multiple dehydration stresses.
BMC Plant Biol. 2018 May 4;18(1):79. doi: 10.1186/s12870-018-1288-3.
8
Early lignin pathway enzymes and routes to chlorogenic acid in switchgrass (Panicum virgatum L.).
Plant Mol Biol. 2014 Mar;84(4-5):565-76. doi: 10.1007/s11103-013-0152-y. Epub 2013 Nov 5.
9
Transcriptomic analysis of ncRNAs and mRNAs interactions during drought stress in switchgrass.
Plant Sci. 2024 Feb;339:111930. doi: 10.1016/j.plantsci.2023.111930. Epub 2023 Nov 24.

引用本文的文献

2
Eco-Friendly Algicidal Potential of Leaf Extracts: Extraction Optimization and Impact on Algal Growth.
Microorganisms. 2025 Mar 27;13(4):760. doi: 10.3390/microorganisms13040760.
7
Ghost introgression facilitates genomic divergence of a sympatric cryptic lineage in .
Ecol Evol. 2023 Aug 18;13(8):e10435. doi: 10.1002/ece3.10435. eCollection 2023 Aug.
8
Chasing the mechanisms of ecologically adaptive salinity tolerance.
Plant Commun. 2023 Nov 13;4(6):100571. doi: 10.1016/j.xplc.2023.100571. Epub 2023 Mar 7.
9
Temporal regulation of cold transcriptional response in switchgrass.
Front Plant Sci. 2022 Oct 10;13:998400. doi: 10.3389/fpls.2022.998400. eCollection 2022.

本文引用的文献

2
Comparative transcriptome analysis uncovers different heat stress responses in heat-resistant and heat-sensitive jujube cultivars.
PLoS One. 2020 Sep 21;15(9):e0235763. doi: 10.1371/journal.pone.0235763. eCollection 2020.
3
Dynamic gene expression changes in response to micronutrient, macronutrient, and multiple stress exposures in soybean.
Funct Integr Genomics. 2020 May;20(3):321-341. doi: 10.1007/s10142-019-00709-9. Epub 2019 Oct 26.
7
Dissecting the Role of a Basic Helix-Loop-Helix Transcription Factor, , Under Salt and Drought Stresses in Transgenic L.
Front Plant Sci. 2019 Jun 4;10:734. doi: 10.3389/fpls.2019.00734. eCollection 2019.
8
Glutathione S-Transferases: Role in Combating Abiotic Stresses Including Arsenic Detoxification in Plants.
Front Plant Sci. 2018 Jun 7;9:751. doi: 10.3389/fpls.2018.00751. eCollection 2018.
9
Genome-wide identification and comprehensive analysis of the NAC transcription factor family in Sesamum indicum.
PLoS One. 2018 Jun 21;13(6):e0199262. doi: 10.1371/journal.pone.0199262. eCollection 2018.
10
Plant behaviour under combined stress: tomato responses to combined salinity and pathogen stress.
Plant J. 2018 Feb;93(4):781-793. doi: 10.1111/tpj.13800. Epub 2018 Jan 19.

文献AI研究员

20分钟写一篇综述,助力文献阅读效率提升50倍。

立即体验

用中文搜PubMed

大模型驱动的PubMed中文搜索引擎

马上搜索

文档翻译

学术文献翻译模型,支持多种主流文档格式。

立即体验