Nowicki Mateusz, Wierzbowska Agnieszka, Stec-Martyna Emilia, Kulczycka-Wojdala Dominika, Nowicki Grzegorz, Szmigielska-Kapłon Anna
Department of Hematology, Copernicus Memorial Hospital in Lodz Comprehensive Cancer Center and Traumatology, 93-513 Lodz, Poland.
Department of Hematology, Medical University of Lodz, 93-513 Lodz, Poland.
Cancers (Basel). 2022 Feb 25;14(5):1213. doi: 10.3390/cancers14051213.
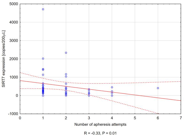
Sirtuins are involved in the fate of hematopoietic stem cells (HSCs), including their metabolism, stress response, differentiation, migration, and apoptosis. The aim of this study was to explore SIRT1-7 expression during HSC mobilization. The study included 50 patients with lymphoproliferative disorders (39 multiple myeloma, 11 lymphoma). Samples were taken before mobilization (day 0) and on the day of first apheresis (day A). The sirtuin expression was evaluated by the Droplet Digital PCR (ddPCR) method. A significant increase of the SIRT1, SIRT2, SIRT3, SIRT5, SIRT6, and SIRT7 levels measured at day A as compared to baseline was observed. The study revealed a positive correlation between SIRT5, SIRT6, and SIRT7 expression and the CD34+ peak value in peripheral blood and the number of CD34+ cells collected on day A. Patients from the SIRT7 "high expressors" group collected more CD34+ cells on day A than "low expressors". Upregulated expressions of SIRT3 and SIRT7 on the day of first apheresis were observed in patients in complete remission status (CR) as compared to the non-CR group. Our results suggest that the investigated sirtuins may influence the HSC migration and hematopoietic landscape during mobilization. SIRT5, SIRT6, and SIRT7 may be associated with the efficacy of HSC mobilization.
沉默调节蛋白参与造血干细胞(HSC)的命运,包括其代谢、应激反应、分化、迁移和凋亡。本研究的目的是探讨HSC动员过程中SIRT1 - 7的表达情况。该研究纳入了50例淋巴增殖性疾病患者(39例多发性骨髓瘤,11例淋巴瘤)。在动员前(第0天)和首次单采的当天(第A天)采集样本。通过液滴数字PCR(ddPCR)方法评估沉默调节蛋白的表达。与基线相比,在第A天测得的SIRT1、SIRT2、SIRT3、SIRT5、SIRT6和SIRT7水平显著升高。研究发现SIRT5、SIRT6和SIRT7的表达与外周血中CD34 +峰值以及第A天采集的CD34 +细胞数量呈正相关。来自SIRT7“高表达者”组的患者在第A天采集的CD34 +细胞比“低表达者”更多。与非完全缓解(CR)组相比,在完全缓解状态(CR)的患者中观察到首次单采当天SIRT3和SIRT7的表达上调。我们的结果表明,所研究的沉默调节蛋白可能在动员过程中影响HSC迁移和造血格局。SIRT5、SIRT6和SIRT7可能与HSC动员的疗效相关。