Suppr超能文献

识别心房颤动的潜在关键生物标志物及其与心房组织免疫浸润的相关性。

Identification of Potential Key Biomarkers of Atrial Fibrillation and Their Correlation with Immune Infiltration in Atrial Tissue.

机构信息

Department of Geriatrics, Peking University First Hospital, Beijing, China 100034.

出版信息

Comput Math Methods Med. 2022 Mar 1;2022:4029840. doi: 10.1155/2022/4029840. eCollection 2022.

Abstract

OBJECTIVE

To identify potential key biomarkers and characterize immune infiltration in atrial tissue of patients with atrial fibrillation (AF) through bioinformatics analysis.

METHODS

Differentially expressed genes (DEGs) were identified by the LIMMA package in Bioconductor, and functional and pathway enrichment analyses were undertaken using GO and KEGG. The LASSO logistic regression and BORUTA algorithm were employed to screen for potential novel key markers of AF from all DEGs. Gene set variation analysis was also performed. Single-sample gene set enrichment analysis was employed to quantify the infiltration levels for each immune cell type, and the correlation between hub genes and infiltrating immune cells was analyzed.

RESULTS

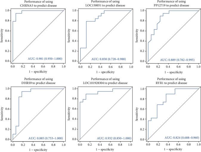
A total of 52 DEGs were identified, including of 26 downregulated DEGs and 26 upregulated DEGs. DEGs were primarily enriched in the Major Histocompatibility Complex class II protein complex, glucose homeostasis, protein tetramerization, regulation of synapse organization, cytokine activity, heart morphogenesis, and blood circulation. Three downregulated genes and three upregulated genes were screened by LASSO logistic regression and the BORUTA algorithm. Finally, immune infiltration analysis indicated that the atrial tissue of AF patients contained significant infiltration of APC_co_inhibition, Mast_cell, neutrophils, pDCs, T_cell_costimulation, and Th1_cells compared with paired sinus rhythm (SR) atrial tissue, and the three downregulated genes were negatively correlated with the six kinds of immune cells mentioned above.

CONCLUSION

The hub genes identified in this study and the differences in immune infiltration of atrial tissue observed between AF and SR tissue might help to characterize the occurrence and progression of AF.

摘要

目的

通过生物信息学分析,鉴定心房颤动(AF)患者心房组织中的潜在关键生物标志物并分析其免疫浸润情况。

方法

使用 Bioconductor 中的 LIMMA 包鉴定差异表达基因(DEGs),并通过 GO 和 KEGG 进行功能和通路富集分析。利用 LASSO 逻辑回归和 BORUTA 算法从所有 DEGs 中筛选潜在的 AF 新型关键标志物。还进行了基因集变异分析。采用单样本基因集富集分析来量化每种免疫细胞类型的浸润水平,并分析了枢纽基因与浸润免疫细胞之间的相关性。

结果

共鉴定出 52 个 DEGs,包括 26 个下调 DEGs 和 26 个上调 DEGs。DEGs 主要富集在主要组织相容性复合物 II 类蛋白复合物、葡萄糖稳态、蛋白质四聚化、突触组织调节、细胞因子活性、心脏形态发生和血液循环等通路中。通过 LASSO 逻辑回归和 BORUTA 算法筛选出三个下调基因和三个上调基因。最后,免疫浸润分析表明,与配对窦性节律(SR)心房组织相比,AF 患者的心房组织中 APC_co_inhibition、Mast_cell、中性粒细胞、pDCs、T_cell_costimulation 和 Th1_cells 浸润显著,并且这三个下调基因与上述六种免疫细胞呈负相关。

结论

本研究中鉴定的枢纽基因以及 AF 与 SR 心房组织之间观察到的免疫浸润差异,可能有助于表征 AF 的发生和进展。

https://cdn.ncbi.nlm.nih.gov/pmc/blobs/f247/8904093/6fd846b3741f/CMMM2022-4029840.001.jpg

文献AI研究员

20分钟写一篇综述,助力文献阅读效率提升50倍。

立即体验

用中文搜PubMed

大模型驱动的PubMed中文搜索引擎

马上搜索

文档翻译

学术文献翻译模型,支持多种主流文档格式。

立即体验