Suppr超能文献

鉴定与铁死亡相关的长链非编码RNA特征以改善乳头状肾细胞癌的预后预测

Identification of the Ferroptosis-Related Long Non-Coding RNAs Signature to Improve the Prognosis Prediction in Papillary Renal Cell Carcinoma.

作者信息

Tang Xinfang, Jiang Feng, Wang Xiaoyu, Xia Ying, Mao Yan, Chen Yan

机构信息

Department of Nephrology, The Affiliated Lianyungang Oriental Hospital of Xuzhou Medical University, The Affiliated Lianyungang Oriental Hospital of Kangda College of Nanjing Medical University, The Affiliated Lianyungang Oriental Hospital of Bengbu Medical College, Lianyungang, China.

Department of Neonatology, Obstetrics and Gynecology Hospital of Fudan University, Shanghai, China.

出版信息

Front Surg. 2022 Mar 4;9:741726. doi: 10.3389/fsurg.2022.741726. eCollection 2022.

Abstract

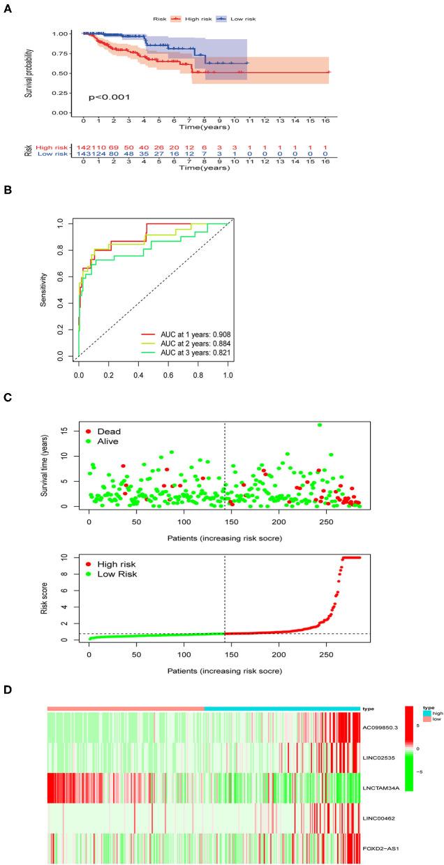
Papillary renal cell carcinoma (pRCC) is one of the epithelial renal cell carcinoma (RCC) histological subtypes. Ferroptosis is a new iron-dependent form of cell death that has been seen in a variety of clinical situations. Using differentially expressed ferroptosis-related long non-coding RNAs (lncRNAs) from patients with pRCC in The Cancer Genome Atlas; we built a prognostic lncRNA-based signature. We discovered seven different lncRNAs that were strongly linked to the prognosis of patients with pRCC. High-risk scores were linked to a poor prognosis for pRCC, which was confirmed by the findings of Kaplan-Meier studies. In addition, the constructed lncRNA signature has a 1-year area under the curve (AUC) of 0.908, suggesting that it has a high predictive value in pRCC. In the high-risk group, Gene set enrichment analyses (GSEA) analysis identified immunological and tumor-related pathways. Furthermore, single-sample GSEA (ssGSEA) revealed significant differences in T cell functions checkpoint, antigen presenting cell (APC) co-stimulation, inflammation promoting, and para inflammation between the two groups with different risk scores. In addition, immune checkpoints like PDCD1LG2 (PD-L2), LAG3, and IDO1 were expressed differently in the two risk groups. In summary, a novel signature based on ferroptosis-related lncRNAs could be applied in predicting the prognosis of patients with pRCC.

摘要

乳头状肾细胞癌(pRCC)是上皮性肾细胞癌(RCC)的组织学亚型之一。铁死亡是一种新的铁依赖性细胞死亡形式,已在多种临床情况下被观察到。利用癌症基因组图谱中pRCC患者差异表达的铁死亡相关长链非编码RNA(lncRNA);我们构建了一个基于lncRNA的预后特征。我们发现了七种与pRCC患者预后密切相关的不同lncRNA。高风险评分与pRCC的不良预后相关,这一点通过Kaplan-Meier研究结果得到了证实。此外,构建的lncRNA特征的1年曲线下面积(AUC)为0.908,表明其在pRCC中具有较高的预测价值。在高风险组中,基因集富集分析(GSEA)确定了免疫和肿瘤相关通路。此外,单样本GSEA(ssGSEA)显示,在具有不同风险评分的两组之间,T细胞功能检查点、抗原呈递细胞(APC)共刺激、炎症促进和副炎症存在显著差异。此外,免疫检查点如PDCD1LG2(PD-L2)、LAG3和IDO1在两个风险组中的表达也有所不同。总之,一种基于铁死亡相关lncRNAs的新型特征可用于预测pRCC患者的预后。

https://cdn.ncbi.nlm.nih.gov/pmc/blobs/0e53/8930926/b48b9c3582b2/fsurg-09-741726-g0001.jpg

文献AI研究员

20分钟写一篇综述,助力文献阅读效率提升50倍。

立即体验

用中文搜PubMed

大模型驱动的PubMed中文搜索引擎

马上搜索

文档翻译

学术文献翻译模型,支持多种主流文档格式。

立即体验