Suppr超能文献

在中国的一项前瞻性队列研究中,阴道出血与早期自然流产有关。

Vaginal is Associated with Spontaneous Abortion in the First Trimester: a Prospective Cohort Study in China.

机构信息

The First Clinical College, Guangzhou University of Chinese Medicinegrid.411866.c, Guangzhou, Guangdong, China.

Lingnan Medical Research Center of Guangzhou University of Chinese Medicinegrid.411866.c, Guangzhou, Guangdong, China.

出版信息

Microbiol Spectr. 2022 Apr 27;10(2):e0203921. doi: 10.1128/spectrum.02039-21. Epub 2022 Mar 21.

Abstract

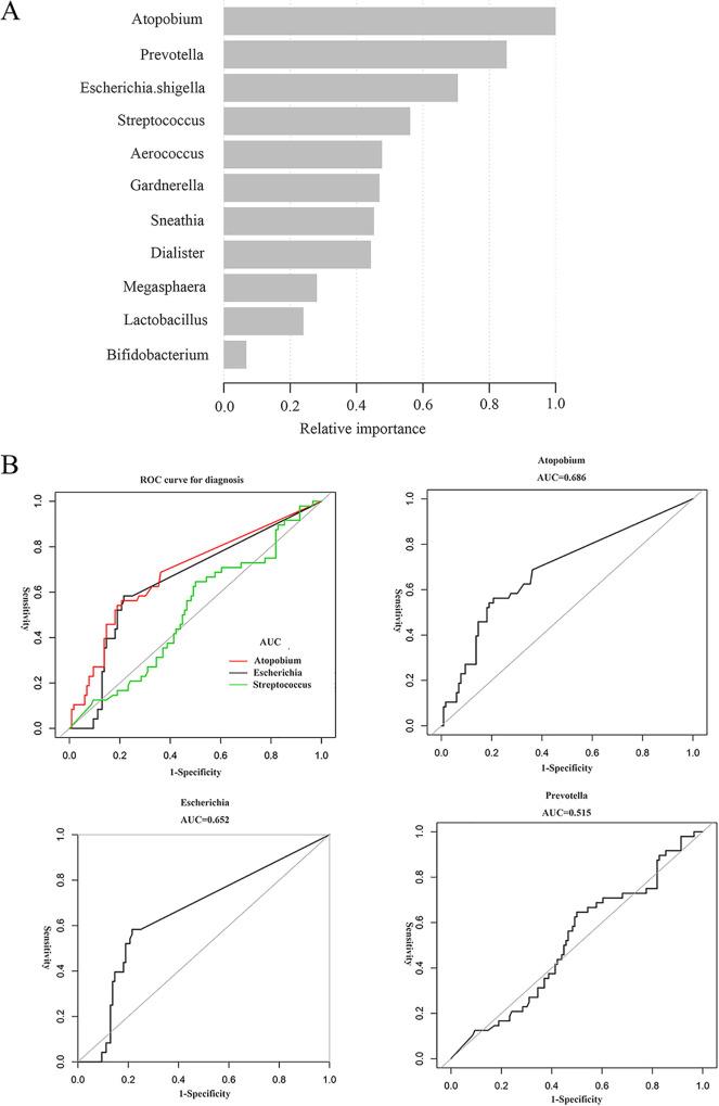
Spontaneous abortion (SA) has received more and more attention in light of its increasing incidence. However, the causes and pathogenesis of SA remain largely unknown, especially for those without any pathological features. In this study, we characterized the vaginal microbiota diversity and composition of pregnant women in their first trimester and evaluated the association between the vaginal microbiota and SA before 12 weeks of gestation. Participants' bacterial profiles were analyzed by 16S rRNA gene sequencing in the V3-V4 regions at 5-8 weeks of gestation. A total of 48 patients with SA at 12 weeks of gestation were included as the study group, while 116 women with normal pregnancies (NPs) were included as a control group. The results indicated that the richness of the vaginal microbiome in SA patients was higher (Chao1, 0.05) and different in composition relative to that of women with NPs (unweighted UniFrac,  = 0.15, 0.01; binary Jaccard,  = 0.15, 0.01). Furthermore, the genus was significantly enriched in SA patients. An extreme gradient-boosting (XGBoost) analysis was able to classify -induced SA more reliably (area under the receiver operating characteristic curve, 0.69; threshold, 0.01%). Moreover, after adjusting for potential confounders, the results showed a robust association between and SA (as a categorical variable [<0.01%]; adjusted odds ratio, 2.9; 95% confidence interval, 1.3 to 6.5; 0.01). In conclusion, higher vaginal levels were associated with SA in the first trimester. Spontaneous abortion (SA) is the most common adverse pregnancy outcome in the first trimester. The causal drivers of SA have become a substantial challenge to reveal and overcome. We hypothesize that vaginal microbial dysbiosis is associated with SA, as it was related to several female reproductive disorders in previous studies. In our study, we characterized the vaginal microbiota of patients with SA at 12 weeks of gestation as the study group, and women with normal pregnancies were enrolled as a control group. Generally, significant differences were discovered in the vaginal microbiota between the two groups. Our study also revealed that may play an important role in the pathogenesis of SA. To our knowledge, this study is the first detailed elaboration of the vaginal microbiota composition and vaginal in association with SA. We believe that our findings will inspire more researchers to consider dynamic changes in the vaginal microbiota as critical features for further studies of nosogenesis not only for SA but also other reproductive diseases.

摘要

自然流产(Spontaneous abortion,SA)的发病率不断上升,越来越受到关注。然而,SA 的病因和发病机制在很大程度上仍不清楚,尤其是对于那些没有任何病理特征的病例。在这项研究中,我们对孕早期妇女的阴道微生物群多样性和组成进行了描述,并评估了阴道微生物群与 12 周前妊娠丢失(gestational loss,GL)之间的关系。在妊娠 5-8 周时,通过 16S rRNA 基因测序对参与者的细菌图谱进行分析,在 V3-V4 区进行。共有 48 例 12 周妊娠丢失的患者被纳入研究组,116 例正常妊娠(normal pregnancies,NPs)的妇女被纳入对照组。结果表明,SA 患者的阴道微生物组丰富度更高(Chao1,0.05),且与 NPs 妇女的组成不同(unweighted UniFrac,=0.15,0.01;binary Jaccard,=0.15,0.01)。此外,属在 SA 患者中明显富集。极端梯度提升(XGBoost)分析能够更可靠地对 - 诱导的 SA 进行分类(接受者操作特征曲线下面积,0.69;阈值,0.01%)。此外,在调整潜在混杂因素后,结果显示与 SA 之间存在稳健的关联(作为分类变量[<0.01%];调整后的优势比,2.9;95%置信区间,1.3 至 6.5;0.01)。总之,妊娠早期阴道水平升高与 SA 相关。自然流产(SA)是妊娠早期最常见的不良妊娠结局。SA 的因果驱动因素已成为一个巨大的挑战,需要加以揭示和克服。我们假设阴道微生物失调与 SA 有关,因为在之前的研究中,它与一些女性生殖疾病有关。在我们的研究中,我们将 12 周妊娠丢失的患者的阴道微生物组作为研究组进行了描述,将正常妊娠的妇女作为对照组进行了描述。一般来说,两组之间的阴道微生物组存在显著差异。我们的研究还表明,可能在 SA 的发病机制中起重要作用。据我们所知,这是首次详细阐述与 SA 相关的阴道微生物组组成和阴道水平。我们相信,我们的研究结果将激发更多的研究人员将阴道微生物组的动态变化视为除 SA 以外的其他生殖疾病的发病机制研究的关键特征。

https://cdn.ncbi.nlm.nih.gov/pmc/blobs/43f7/9045190/7e46df922645/spectrum.02039-21-f001.jpg

文献检索

告别复杂PubMed语法,用中文像聊天一样搜索,搜遍4000万医学文献。AI智能推荐,让科研检索更轻松。

立即免费搜索

文件翻译

保留排版,准确专业,支持PDF/Word/PPT等文件格式,支持 12+语言互译。

免费翻译文档

深度研究

AI帮你快速写综述,25分钟生成高质量综述,智能提取关键信息,辅助科研写作。

立即免费体验