• 文献检索
  • 文档翻译
  • 深度研究
  • 学术资讯
  • Suppr Zotero 插件Zotero 插件
  • 邀请有礼
  • 套餐&价格
  • 历史记录
应用&插件
Suppr Zotero 插件Zotero 插件浏览器插件Mac 客户端Windows 客户端微信小程序
定价
高级版会员购买积分包购买API积分包
服务
文献检索文档翻译深度研究API 文档MCP 服务
关于我们
关于 Suppr公司介绍联系我们用户协议隐私条款
关注我们

Suppr 超能文献

核心技术专利:CN118964589B侵权必究
粤ICP备2023148730 号-1Suppr @ 2026

文献检索

告别复杂PubMed语法,用中文像聊天一样搜索,搜遍4000万医学文献。AI智能推荐,让科研检索更轻松。

立即免费搜索

文件翻译

保留排版,准确专业,支持PDF/Word/PPT等文件格式,支持 12+语言互译。

免费翻译文档

深度研究

AI帮你快速写综述,25分钟生成高质量综述,智能提取关键信息,辅助科研写作。

立即免费体验

某些2'-羟基查尔酮衍生物作为新型冠状病毒(SARS-CoV-2)抑制剂的表征、分子建模及药理学研究

Characterization, molecular modeling and pharmacology of some 2́-hydroxychalcone derivatives as SARS-CoV-2 inhibitor.

作者信息

Nasir Uddin Mohammad, Samina Ahmed Sayeda, Uzzaman Monir, Nazmul Hassan Knock Md, Shumi Wahhida, Fazal Md Sanaullah Abul, Hossain Bhuyain Md Mosharef

机构信息

Department of Chemistry, University of Chittagong, Chittagong 4331, Bangladesh.

Department of Microbiology, University of Chittagong, Chittagong 4331, Bangladesh.

出版信息

Results Chem. 2022 Jan;4:100329. doi: 10.1016/j.rechem.2022.100329. Epub 2022 Mar 16.

DOI:10.1016/j.rechem.2022.100329
PMID:35313614
原文链接:https://pmc.ncbi.nlm.nih.gov/articles/PMC8925283/
Abstract

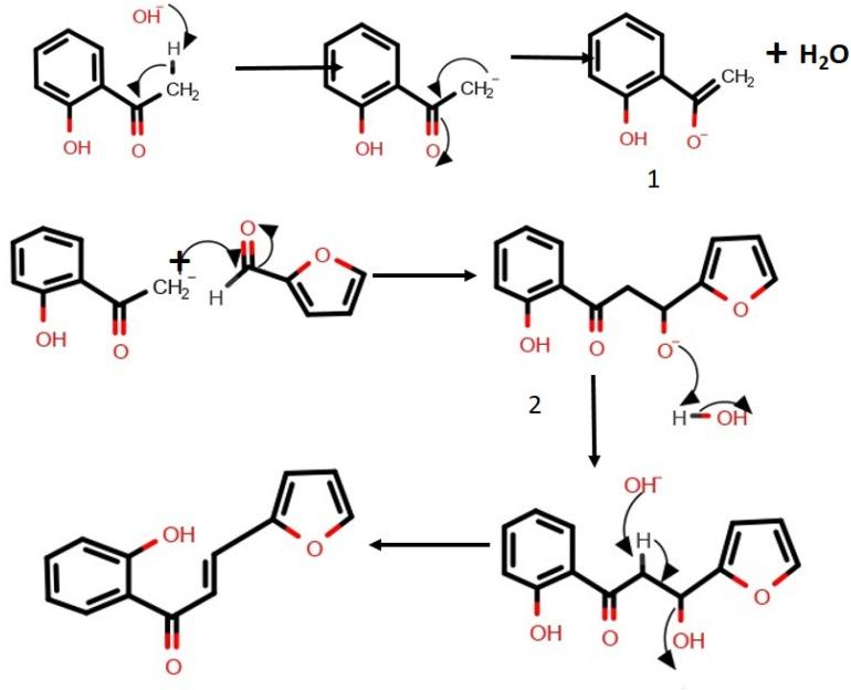
This work presented the microwave assisted synthesis of six new 2́-hydroxychalcones and their characterization based on FTIR, UV-Vis, H NMR, and mass spectral analysis. Quantum chemical studies confirmed the structures of prepared chalcones. Antioxidant, antimicrobial and antiviral studies have been performed to evaluate their biological performance. Results of molecular docking of prepared 2́-hydroxychalcones against SARS-CoV-2 (7BQY) main protease disclosed their inhibition which is comparable to standard, remdesivir and better than hydroxychloroquine (HCQ). ADMET prediction revealed them to be non-carcinogenic and relatively safe.

摘要

这项工作展示了六种新型2'-羟基查尔酮的微波辅助合成及其基于傅里叶变换红外光谱(FTIR)、紫外可见光谱(UV-Vis)、核磁共振氢谱(¹H NMR)和质谱分析的表征。量子化学研究证实了所制备查尔酮的结构。已进行抗氧化、抗菌和抗病毒研究以评估其生物学性能。所制备的2'-羟基查尔酮针对严重急性呼吸综合征冠状病毒2(SARS-CoV-2,7BQY)主要蛋白酶的分子对接结果表明它们具有抑制作用,其效果与标准药物瑞德西韦相当,且优于羟氯喹(HCQ)。药物代谢动力学(ADMET)预测显示它们无致癌性且相对安全。

https://cdn.ncbi.nlm.nih.gov/pmc/blobs/d353/8925283/06199a8af4fe/gr8_lrg.jpg
https://cdn.ncbi.nlm.nih.gov/pmc/blobs/d353/8925283/464aadff3690/gr1_lrg.jpg
https://cdn.ncbi.nlm.nih.gov/pmc/blobs/d353/8925283/b7b2ac2976a5/gr9_lrg.jpg
https://cdn.ncbi.nlm.nih.gov/pmc/blobs/d353/8925283/76a050e7a652/gr10_lrg.jpg
https://cdn.ncbi.nlm.nih.gov/pmc/blobs/d353/8925283/b20b63785c1a/gr2_lrg.jpg
https://cdn.ncbi.nlm.nih.gov/pmc/blobs/d353/8925283/1d4c05e3d558/gr3_lrg.jpg
https://cdn.ncbi.nlm.nih.gov/pmc/blobs/d353/8925283/629c5f91ca0b/gr4_lrg.jpg
https://cdn.ncbi.nlm.nih.gov/pmc/blobs/d353/8925283/9ff3d554d163/gr5_lrg.jpg
https://cdn.ncbi.nlm.nih.gov/pmc/blobs/d353/8925283/5557f5d12b78/gr6_lrg.jpg
https://cdn.ncbi.nlm.nih.gov/pmc/blobs/d353/8925283/b0ddc792fb98/gr7_lrg.jpg
https://cdn.ncbi.nlm.nih.gov/pmc/blobs/d353/8925283/06199a8af4fe/gr8_lrg.jpg
https://cdn.ncbi.nlm.nih.gov/pmc/blobs/d353/8925283/464aadff3690/gr1_lrg.jpg
https://cdn.ncbi.nlm.nih.gov/pmc/blobs/d353/8925283/b7b2ac2976a5/gr9_lrg.jpg
https://cdn.ncbi.nlm.nih.gov/pmc/blobs/d353/8925283/76a050e7a652/gr10_lrg.jpg
https://cdn.ncbi.nlm.nih.gov/pmc/blobs/d353/8925283/b20b63785c1a/gr2_lrg.jpg
https://cdn.ncbi.nlm.nih.gov/pmc/blobs/d353/8925283/1d4c05e3d558/gr3_lrg.jpg
https://cdn.ncbi.nlm.nih.gov/pmc/blobs/d353/8925283/629c5f91ca0b/gr4_lrg.jpg
https://cdn.ncbi.nlm.nih.gov/pmc/blobs/d353/8925283/9ff3d554d163/gr5_lrg.jpg
https://cdn.ncbi.nlm.nih.gov/pmc/blobs/d353/8925283/5557f5d12b78/gr6_lrg.jpg
https://cdn.ncbi.nlm.nih.gov/pmc/blobs/d353/8925283/b0ddc792fb98/gr7_lrg.jpg
https://cdn.ncbi.nlm.nih.gov/pmc/blobs/d353/8925283/06199a8af4fe/gr8_lrg.jpg

相似文献

1
Characterization, molecular modeling and pharmacology of some 2́-hydroxychalcone derivatives as SARS-CoV-2 inhibitor.某些2'-羟基查尔酮衍生物作为新型冠状病毒(SARS-CoV-2)抑制剂的表征、分子建模及药理学研究
Results Chem. 2022 Jan;4:100329. doi: 10.1016/j.rechem.2022.100329. Epub 2022 Mar 16.
2
Synthesis, antimicrobial, molecular docking and molecular dynamics studies of lauroyl thymidine analogs against SARS-CoV-2: POM study and identification of the pharmacophore sites.棕榈酰胸苷类似物的合成、抗 SARS-CoV-2 的抗菌活性、分子对接和分子动力学研究:POM 研究和药效团位点的鉴定。
Bioorg Chem. 2022 Aug;125:105850. doi: 10.1016/j.bioorg.2022.105850. Epub 2022 May 4.
3
Molecular docking, molecular dynamics simulation, and ADMET analysis of levamisole derivatives against the SARS-CoV-2 main protease (M).左旋咪唑衍生物针对严重急性呼吸综合征冠状病毒2主蛋白酶(M)的分子对接、分子动力学模拟及药物代谢动力学/药物毒性预测分析
Bioimpacts. 2022;12(2):107-113. doi: 10.34172/bi.2021.22143. Epub 2021 Oct 2.
4
Molecular docking, binding mode analysis, molecular dynamics, and prediction of ADMET/toxicity properties of selective potential antiviral agents against SARS-CoV-2 main protease: an effort toward drug repurposing to combat COVID-19.针对 SARS-CoV-2 主蛋白酶的选择性潜在抗病毒药物的分子对接、结合模式分析、分子动力学和 ADMET/毒性性质预测:药物再利用以对抗 COVID-19 的努力。
Mol Divers. 2021 Aug;25(3):1905-1927. doi: 10.1007/s11030-021-10188-5. Epub 2021 Feb 13.
5
antimicrobial, physicochemical, pharmacokinetics and molecular docking studies of benzoyl uridine esters against SARS-CoV-2 main protease.苯甲酰尿苷酯对 SARS-CoV-2 主蛋白酶的抗菌、理化性质、药代动力学和分子对接研究。
J Biomol Struct Dyn. 2022 May;40(8):3668-3680. doi: 10.1080/07391102.2020.1850358. Epub 2020 Dec 10.
6
Titanium (IV) complexes of some tetra-dentate symmetrical bis-Schiff bases of 1,6-hexanediamine: Synthesis, characterization, and in silico prediction of potential inhibitor against coronavirus (SARS-CoV-2).1,6 -己二胺的一些四齿对称双席夫碱的钛(IV)配合物:合成、表征及对冠状病毒(SARS-CoV-2)潜在抑制剂的计算机模拟预测
Appl Organomet Chem. 2021 Jan;35(1):e6067. doi: 10.1002/aoc.6067. Epub 2020 Oct 19.
7
Structurally modified compounds of hydroxychloroquine, remdesivir and tetrahydrocannabinol against main protease of SARS-CoV-2, a possible hope for COVID-19: Docking and molecular dynamics simulation studies.羟氯喹啉、瑞德西韦和四氢大麻酚的结构修饰化合物对严重急性呼吸综合征冠状病毒2主要蛋白酶的作用:COVID-19的一种可能希望——对接和分子动力学模拟研究
J Mol Liq. 2021 Aug 1;335:116185. doi: 10.1016/j.molliq.2021.116185. Epub 2021 Apr 16.
8
The inhibitory effect of some natural bioactive compounds against SARS-CoV-2 main protease: insights from molecular docking analysis and molecular dynamic simulation.一些天然生物活性化合物对 SARS-CoV-2 主蛋白酶的抑制作用:分子对接分析和分子动力学模拟的见解。
J Environ Sci Health A Tox Hazard Subst Environ Eng. 2020;55(11):1373-1386. doi: 10.1080/10934529.2020.1826192. Epub 2020 Oct 1.
9
Methyl β-D-galactopyranoside esters as potential inhibitors for SARS-CoV-2 protease enzyme: synthesis, antimicrobial, PASS, molecular docking, molecular dynamics simulations and quantum computations.甲基-β-D-吡喃半乳糖苷酯作为 SARS-CoV-2 蛋白酶抑制剂的潜力:合成、抗菌、PASS、分子对接、分子动力学模拟和量子计算。
Glycoconj J. 2022 Apr;39(2):261-290. doi: 10.1007/s10719-021-10039-3. Epub 2022 Jan 17.
10
In silico molecular investigations of pyridine N-Oxide compounds as potential inhibitors of SARS-CoV-2: 3D QSAR, molecular docking modeling, and ADMET screening.吡啶氮氧化物化合物作为严重急性呼吸综合征冠状病毒2(SARS-CoV-2)潜在抑制剂的计算机分子研究:三维定量构效关系(3D QSAR)、分子对接建模和药物代谢及毒性预测(ADMET)筛选
J Biomol Struct Dyn. 2022 Jan;40(1):143-153. doi: 10.1080/07391102.2020.1808530. Epub 2020 Aug 17.

引用本文的文献

1
Porphyrin-azoheteroarenes: synthesis, photophysical, and computational studies.卟啉 - 氮杂芳烃:合成、光物理及计算研究
RSC Adv. 2025 Aug 8;15(34):28240-28247. doi: 10.1039/d5ra03790e. eCollection 2025 Aug 1.
2
Five years of research on 2,4-thiazolidinediones as anticancer agents: medicinal chemistry insights (2020-2024).2,4-噻唑烷二酮类作为抗癌药物的五年研究:药物化学见解(2020 - 2024年)
RSC Med Chem. 2025 May 27. doi: 10.1039/d5md00344j.
3
SiO@Benzothiazole-Cl@Fc as an Efficient Heterogeneous Catalyst for the Synthesis of 1,3,5-Trisubstituted Pyrazoles by A Coupling.

本文引用的文献

1
Evolution of severe acute respiratory syndrome coronavirus 2 (SARS-CoV-2) as coronavirus disease 2019 (COVID-19) pandemic: A global health emergency.严重急性呼吸综合征冠状病毒 2(SARS-CoV-2)的演变,作为 2019 年冠状病毒病(COVID-19)大流行:全球卫生紧急事件。
Sci Total Environ. 2020 Aug 15;730:138996. doi: 10.1016/j.scitotenv.2020.138996. Epub 2020 Apr 30.
2
Structural modification of aspirin to design a new potential cyclooxygenase (COX-2) inhibitors.对阿司匹林进行结构修饰以设计新型潜在环氧化酶(COX - 2)抑制剂。
In Silico Pharmacol. 2020 Mar 4;8(1):1. doi: 10.1007/s40203-020-0053-0. eCollection 2020.
3
Characteristics of flavonoids as potent MERS-CoV 3C-like protease inhibitors.
SiO@苯并噻唑 - 氯@Fc作为通过偶联反应合成1,3,5 - 三取代吡唑的高效多相催化剂。
ChemistryOpen. 2025 May 13:e2500024. doi: 10.1002/open.202500024.
4
Solvent-free synthesis of 1,2-dihydro-1-arylnaphtho[1,2-] [1,3] oxazine-3-ones using a magnetic nickel-zinc ferrite nanocatalyst.使用磁性镍锌铁氧体纳米催化剂无溶剂合成1,2-二氢-1-芳基萘并[1,2-][1,3]恶嗪-3-酮
RSC Adv. 2025 Feb 10;15(6):4553-4561. doi: 10.1039/d4ra05486e. eCollection 2025 Feb 6.
5
Synthesis of novel pyridine and pyrazolyl pyridine conjugates with potent cytotoxicity against HepG2 cancer cells as PIM-1 kinase inhibitors and caspase activators.新型吡啶和吡唑基吡啶共轭物的合成及其作为PIM-1激酶抑制剂和半胱天冬酶激活剂对肝癌细胞HepG2具有强效细胞毒性。
RSC Adv. 2024 Dec 13;14(53):39381-39394. doi: 10.1039/d4ra07963a. eCollection 2024 Dec 10.
6
Synthesis and antifungal evaluation of new azole derivatives containing 1,2,3-triazole.含1,2,3-三唑的新型唑类衍生物的合成与抗真菌活性评价
RSC Med Chem. 2024 Oct 29. doi: 10.1039/d4md00724g.
7
Exploring heterocyclic scaffolds in carbonic anhydrase inhibition: a decade of structural and therapeutic insights.探索碳酸酐酶抑制中的杂环支架:十年的结构与治疗见解。
RSC Adv. 2024 Nov 12;14(48):35769-35970. doi: 10.1039/d4ra06290f. eCollection 2024 Nov 4.
8
The role of silicon in drug discovery: a review.硅在药物发现中的作用:综述
RSC Med Chem. 2024 Jul 1;15(10):3286-3344. doi: 10.1039/d4md00169a. eCollection 2024 Oct 17.
9
Synthesis of 2-arylpyridines by the Suzuki-Miyaura cross-coupling of PyFluor with hetero(aryl) boronic acids and esters.通过PyFluor与杂(芳基)硼酸及酯的铃木-宫浦交叉偶联反应合成2-芳基吡啶。
Can J Chem. 2023 Oct;101(10):765-772. doi: 10.1139/cjc-2023-0033. Epub 2023 Aug 30.
黄酮类化合物作为强效 MERS-CoV 3C 样蛋白酶抑制剂的特性。
Chem Biol Drug Des. 2019 Dec;94(6):2023-2030. doi: 10.1111/cbdd.13604. Epub 2019 Sep 12.
4
Optimization of structures, biochemical properties of ketorolac and its degradation products based on computational studies.基于计算研究的酮咯酸结构、生化性质及其降解产物的优化。
Daru. 2019 Jun;27(1):71-82. doi: 10.1007/s40199-019-00243-w. Epub 2019 Feb 19.
5
Exploration of (hetero)aryl Derived Thienylchalcones for Antiviral and Anticancer Activities.(杂)芳基衍生的噻吩基查耳酮的抗病毒和抗癌活性研究。
Med Chem. 2019;15(2):150-161. doi: 10.2174/1573406414666180524074648.
6
NSAIDs as potential treatment option for preventing amyloid β toxicity in Alzheimer's disease: an investigation by docking, molecular dynamics, and DFT studies.非甾体抗炎药作为预防阿尔茨海默病淀粉样 β 毒性的潜在治疗选择:通过对接、分子动力学和 DFT 研究进行的调查。
J Biomol Struct Dyn. 2018 Jun;36(8):2099-2117. doi: 10.1080/07391102.2017.1338164. Epub 2017 Jun 15.
7
Crystal Structure of Aspirin-Acetylated Human Cyclooxygenase-2: Insight into the Formation of Products with Reversed Stereochemistry.阿司匹林乙酰化人环氧化酶-2的晶体结构:对具有反转立体化学产物形成的见解。
Biochemistry. 2016 Mar 1;55(8):1226-38. doi: 10.1021/acs.biochem.5b01378. Epub 2016 Feb 19.
8
Chalcone scaffolds as anti-infective agents: structural and molecular target perspectives.查尔酮支架作为抗感染剂:结构和分子靶点视角
Eur J Med Chem. 2015 Aug 28;101:496-524. doi: 10.1016/j.ejmech.2015.06.052. Epub 2015 Jul 10.
9
Chalcones isolated from Angelica keiskei inhibit cysteine proteases of SARS-CoV.从明日叶中分离出的查耳酮可抑制严重急性呼吸综合征冠状病毒(SARS-CoV)的半胱氨酸蛋白酶。
J Enzyme Inhib Med Chem. 2016;31(1):23-30. doi: 10.3109/14756366.2014.1003215. Epub 2015 Feb 16.
10
Small-molecule library screening by docking with PyRx.使用PyRx进行对接的小分子文库筛选。
Methods Mol Biol. 2015;1263:243-50. doi: 10.1007/978-1-4939-2269-7_19.