Suppr超能文献

非霍奇金淋巴瘤患者骨髓中微小RNA表达谱

The Profile of MicroRNA Expression in Bone Marrow in Non-Hodgkin's Lymphomas.

作者信息

Veryaskina Yuliya A, Titov Sergei E, Kovynev Igor B, Pospelova Tatiana I, Zhimulev Igor F

机构信息

Laboratory of Gene Engineering, Institute of Cytology and Genetics, SB RAS, 630090 Novosibirsk, Russia.

Laboratory of Molecular Genetics, Department of the Structure and Function of Chromosomes, Institute of Molecular and Cellular Biology, SB RAS, 630090 Novosibirsk, Russia.

出版信息

Diagnostics (Basel). 2022 Mar 3;12(3):629. doi: 10.3390/diagnostics12030629.

Abstract

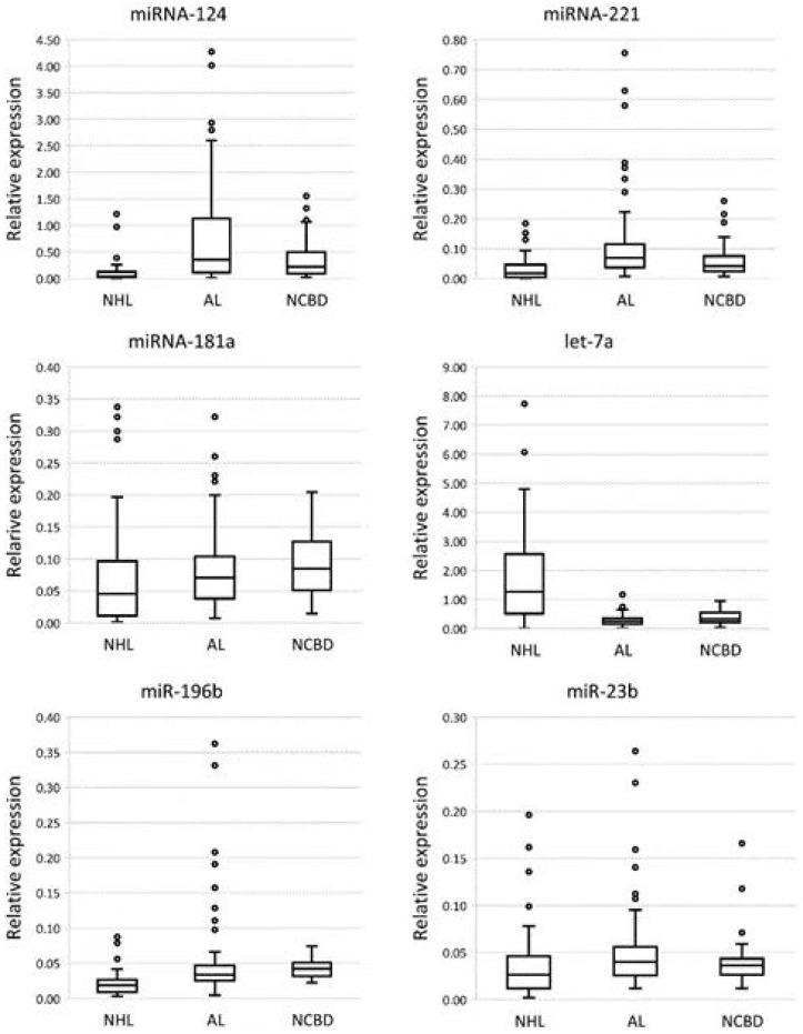
Non-Hodgkin's lymphomas (NHLs) are a heterogeneous group of malignant lymphomas that can occur in both lymph nodes and extranodal sites. Bone marrow (BM) is the most common site of extranodal involvement in NHL. The objective of this study is to determine the unique profile of miRNA expression in BM affected by NHL, with the possibility of a differential diagnosis of NHL from reactive BM changes and acute leukemia (AL). A total of 180 cytological samples were obtained by sternal puncture and aspiration biopsy of BM from the posterior iliac spine. All the cases were patients before treatment initiation. The study groups were NHL cases ( = 59) and AL cases (acute lymphoblastic leukemia ( = 25) and acute myeloid leukemia ( = 49)); the control group consisted of patients with non-cancerous blood diseases (NCBDs) ( = 48). We demonstrated that expression levels of miRNA-124, miRNA-221, and miRNA-15a are statistically significantly downregulated, while the expression level of let-7a is statistically significantly upregulated more than 2-fold in BM in NHL compared to those in AL and NCBD. ROC analysis revealed that let-7a/miRNA-124 is a highly sensitive and specific biomarker for a differential diagnosis of BM changes in NHL from those in AL and NCBD. Therefore, we conclude that analysis of miRNA expression levels may be a promising tool for early diagnosis of NHL.

摘要

非霍奇金淋巴瘤(NHLs)是一组异质性的恶性淋巴瘤,可发生于淋巴结和结外部位。骨髓(BM)是NHL最常见的结外受累部位。本研究的目的是确定受NHL影响的骨髓中miRNA表达的独特谱,以期将NHL与反应性骨髓改变及急性白血病(AL)进行鉴别诊断。通过胸骨穿刺和髂后上棘骨髓抽吸活检共获取了180份细胞学样本。所有病例均为治疗开始前的患者。研究组为NHL病例(n = 59)和AL病例(急性淋巴细胞白血病(n = 25)和急性髓细胞白血病(n = 49));对照组由非癌性血液病(NCBDs)患者组成(n = 48)。我们发现,与AL和NCBD相比,NHL骨髓中miRNA - 124、miRNA - 221和miRNA - 15a的表达水平在统计学上显著下调,而let - 7a的表达水平在统计学上显著上调超过2倍。ROC分析显示,let - 7a/miRNA - 124是鉴别NHL骨髓改变与AL和NCBD骨髓改变的高灵敏度和特异性生物标志物。因此,我们得出结论,分析miRNA表达水平可能是NHL早期诊断的一种有前景的工具。

https://cdn.ncbi.nlm.nih.gov/pmc/blobs/949a/8947746/57a9427b13a2/diagnostics-12-00629-g001a.jpg

文献检索

告别复杂PubMed语法,用中文像聊天一样搜索,搜遍4000万医学文献。AI智能推荐,让科研检索更轻松。

立即免费搜索

文件翻译

保留排版,准确专业,支持PDF/Word/PPT等文件格式,支持 12+语言互译。

免费翻译文档

深度研究

AI帮你快速写综述,25分钟生成高质量综述,智能提取关键信息,辅助科研写作。

立即免费体验