• 文献检索
  • 文档翻译
  • 深度研究
  • 学术资讯
  • Suppr Zotero 插件Zotero 插件
  • 邀请有礼
  • 套餐&价格
  • 历史记录
应用&插件
Suppr Zotero 插件Zotero 插件浏览器插件Mac 客户端Windows 客户端微信小程序
定价
高级版会员购买积分包购买API积分包
服务
文献检索文档翻译深度研究API 文档MCP 服务
关于我们
关于 Suppr公司介绍联系我们用户协议隐私条款
关注我们

Suppr 超能文献

核心技术专利:CN118964589B侵权必究
粤ICP备2023148730 号-1Suppr @ 2026

文献检索

告别复杂PubMed语法,用中文像聊天一样搜索,搜遍4000万医学文献。AI智能推荐,让科研检索更轻松。

立即免费搜索

文件翻译

保留排版,准确专业,支持PDF/Word/PPT等文件格式,支持 12+语言互译。

免费翻译文档

深度研究

AI帮你快速写综述,25分钟生成高质量综述,智能提取关键信息,辅助科研写作。

立即免费体验

法国因缺血性卒中和脑出血住院的患者:时间趋势(2008 - 2019年)、住院结局、年龄和性别差异

Patients Hospitalized for Ischemic Stroke and Intracerebral Hemorrhage in France: Time Trends (2008-2019), In-Hospital Outcomes, Age and Sex Differences.

作者信息

Olié Valérie, Grave Clémence, Tuppin Philippe, Duloquin Gauthier, Béjot Yannick, Gabet Amélie

机构信息

Department of Non-Communicable Diseases, Santé Publique France, 94410 Saint-Maurice, France.

Department of Health Studies and Statistics, Caisse Nationale de l'Assurance Maladie, 75020 Paris, France.

出版信息

J Clin Med. 2022 Mar 17;11(6):1669. doi: 10.3390/jcm11061669.

DOI:10.3390/jcm11061669
PMID:35329995
原文链接:https://pmc.ncbi.nlm.nih.gov/articles/PMC8949281/
Abstract

BACKGROUND

Rates of patients hospitalized for stroke increased among people aged under 65 years in France, as has been found in other countries.

METHODS

To analyze time trends in the rates of patients hospitalized for ischemic stroke (IS) and intracerebral hemorrhage (ICH) in France between 2008 and 2019 and determine related short-term outcomes mainly, we selected all patients hospitalized for stroke using the French national hospital database.

RESULTS

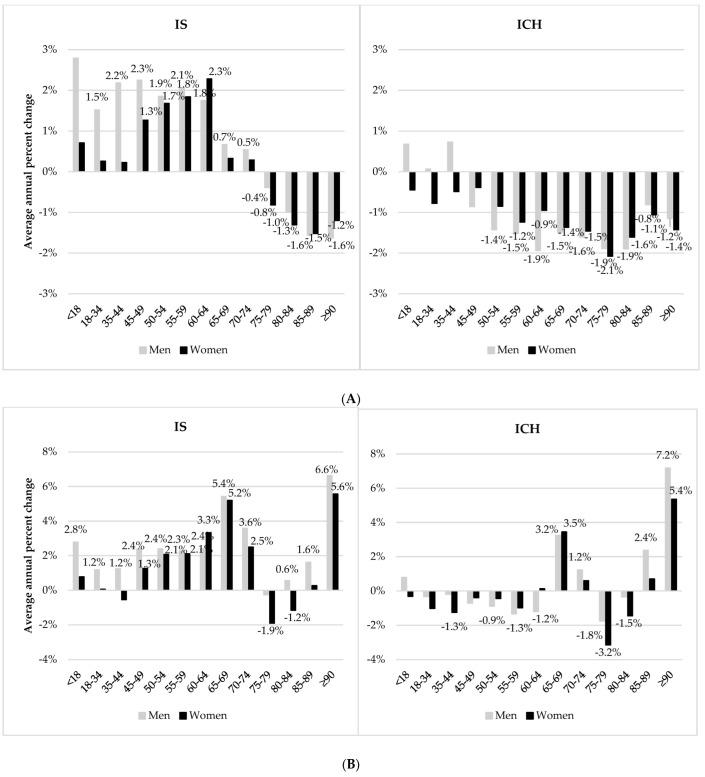
The average annual percentage change in the rates of patients hospitalized for IS increased significantly in men and women aged 50-64 years (+2.0%) and in men aged 18-34 years (+1.5%) and 35-44 years (+2.2%). A decrease in the average annual percentage change was observed for IS among people aged over 75 years and among those over 50 years for ICH. After adjustment on confounding factors, women were less likely to die in hospital. Case fatality rates decreased overtime in all age groups for both sexes, with a more pronounced decrease for IS than ICH.

CONCLUSIONS

The increasing trend of IS among adults under 65 years is ongoing, highlighting the urgent need for stroke prevention programs in that age. For the first time, we recorded a decrease in the rates of patients hospitalized for ICH among the population over 50 years.

摘要

背景

正如在其他国家所发现的那样,法国65岁以下人群中因中风住院的患者比例有所上升。

方法

为了分析2008年至2019年法国缺血性中风(IS)和脑出血(ICH)患者住院率的时间趋势,并主要确定相关的短期结局,我们使用法国国家医院数据库选择了所有因中风住院的患者。

结果

50 - 64岁男性和女性以及18 - 34岁男性(+1.5%)和35 - 44岁男性(+2.2%)中,因IS住院患者率的年均百分比变化显著增加。75岁以上人群以及50岁以上人群中ICH患者的IS年均百分比变化有所下降。在对混杂因素进行调整后,女性在医院死亡的可能性较小。所有年龄组中男女的病死率均随时间下降,IS的下降比ICH更为明显。

结论

65岁以下成年人中IS的上升趋势仍在持续,凸显了该年龄段中风预防项目的迫切需求。我们首次记录到50岁以上人群中ICH患者住院率的下降。

https://cdn.ncbi.nlm.nih.gov/pmc/blobs/60d0/8949281/bb40c22a91c1/jcm-11-01669-g004.jpg
https://cdn.ncbi.nlm.nih.gov/pmc/blobs/60d0/8949281/a6ca2b02505e/jcm-11-01669-g001.jpg
https://cdn.ncbi.nlm.nih.gov/pmc/blobs/60d0/8949281/0d43bd4b0be5/jcm-11-01669-g002.jpg
https://cdn.ncbi.nlm.nih.gov/pmc/blobs/60d0/8949281/f0028be05fa6/jcm-11-01669-g003.jpg
https://cdn.ncbi.nlm.nih.gov/pmc/blobs/60d0/8949281/bb40c22a91c1/jcm-11-01669-g004.jpg
https://cdn.ncbi.nlm.nih.gov/pmc/blobs/60d0/8949281/a6ca2b02505e/jcm-11-01669-g001.jpg
https://cdn.ncbi.nlm.nih.gov/pmc/blobs/60d0/8949281/0d43bd4b0be5/jcm-11-01669-g002.jpg
https://cdn.ncbi.nlm.nih.gov/pmc/blobs/60d0/8949281/f0028be05fa6/jcm-11-01669-g003.jpg
https://cdn.ncbi.nlm.nih.gov/pmc/blobs/60d0/8949281/bb40c22a91c1/jcm-11-01669-g004.jpg

相似文献

1
Patients Hospitalized for Ischemic Stroke and Intracerebral Hemorrhage in France: Time Trends (2008-2019), In-Hospital Outcomes, Age and Sex Differences.法国因缺血性卒中和脑出血住院的患者:时间趋势(2008 - 2019年)、住院结局、年龄和性别差异
J Clin Med. 2022 Mar 17;11(6):1669. doi: 10.3390/jcm11061669.
2
Trends in One Month and One Year Hemorrhagic Stroke Case Fatality Rates in the Czech Republic between 1998 and 2015.1998 年至 2015 年捷克共和国一个月和一年的出血性脑卒中病死率趋势。
J Stroke Cerebrovasc Dis. 2020 Jun;29(6):104762. doi: 10.1016/j.jstrokecerebrovasdis.2020.104762. Epub 2020 Apr 5.
3
National Trends in Patients Hospitalized for Stroke and Stroke Mortality in France, 2008 to 2014.2008年至2014年法国中风住院患者及中风死亡率的全国趋势
Stroke. 2017 Nov;48(11):2939-2945. doi: 10.1161/STROKEAHA.117.017640. Epub 2017 Sep 29.
4
Determinants of Case Fatality After Hospitalization for Stroke in France 2010 to 2015.2010 至 2015 年法国卒中住院患者病死率的影响因素。
Stroke. 2019 Feb;50(2):305-312. doi: 10.1161/STROKEAHA.118.023495.
5
Sex Differences in the Epidemiology of Intracerebral Hemorrhage Over 10 Years in a Population-Based Stroke Registry.基于人群的卒中注册研究:10 年间脑出血的流行病学特征存在性别差异。
J Am Heart Assoc. 2024 Mar 5;13(5):e032595. doi: 10.1161/JAHA.123.032595. Epub 2024 Feb 27.
6
Time trends in incidence, case fatality, and mortality of intracerebral hemorrhage.脑出血的发病率、病死率和死亡率的时间趋势。
Neurology. 2015 Oct 13;85(15):1318-24. doi: 10.1212/WNL.0000000000002015. Epub 2015 Sep 16.
7
Global, regional, and national burden of stroke from 1990 to 2019: A temporal trend analysis based on the Global Burden of Disease Study 2019.全球、区域和国家 1990 年至 2019 年卒中负担变化趋势分析:基于 2019 年全球疾病负担研究
Int J Stroke. 2024 Jul;19(6):686-694. doi: 10.1177/17474930241246955. Epub 2024 Apr 19.
8
Ten-year national trends in in-hospital mortality and functional outcomes after intracerebral hemorrhage by age in Japan: J-ASPECT study.日本颅内出血患者按年龄分组的 10 年住院死亡率和功能结局的全国趋势:J-ASPECT 研究。
Eur Stroke J. 2024 Jun;9(2):398-408. doi: 10.1177/23969873231222736. Epub 2024 Jan 30.
9
Temporal Trends in Sex Differences With Regard to Stroke Incidence: The Dijon Stroke Registry (1987-2012).中风发病率性别差异的时间趋势:第戎中风登记处(1987 - 2012年)
Stroke. 2017 Apr;48(4):846-849. doi: 10.1161/STROKEAHA.116.015913. Epub 2017 Mar 8.
10
Management and 2-year follow-up of children aged 29 days to 17 years hospitalized for a first stroke in France (2009-2010).法国29天至17岁首次中风住院儿童的管理及2年随访(2009 - 2010年)
Arch Pediatr. 2014 Dec;21(12):1305-15. doi: 10.1016/j.arcped.2014.08.023. Epub 2014 Oct 5.

引用本文的文献

1
Prevalence of Risk Factors in Patients With Spontaneous Intracerebral Hemorrhage in Damascus_Syria: A Retrospective Cross-Sectional Study.叙利亚大马士革自发性脑出血患者危险因素的患病率:一项回顾性横断面研究
Health Sci Rep. 2025 May 5;8(5):e70781. doi: 10.1002/hsr2.70781. eCollection 2025 May.
2
Current and Projected Burden of Ischemic Cerebrovascular Events: Nationwide Estimates From the Dijon Stroke Registry, France.缺血性脑血管事件的当前及预计负担:来自法国第戎卒中登记处的全国性估计
J Am Heart Assoc. 2025 Jan 21;14(2):e037925. doi: 10.1161/JAHA.124.037925. Epub 2025 Jan 16.
3
Neutrophil-lymphocyte ratio: A simple and accurate biomarker for the prognosis of patients with intracerebral bleeding, a study of 115 cases.

本文引用的文献

1
Global, regional, and national burden of stroke and its risk factors, 1990-2019: a systematic analysis for the Global Burden of Disease Study 2019.1990—2019年全球、区域和国家的卒中负担及其风险因素:全球疾病负担研究2019的系统分析
Lancet Neurol. 2021 Oct;20(10):795-820. doi: 10.1016/S1474-4422(21)00252-0. Epub 2021 Sep 3.
2
Evolution of the prevalence of obesity in the adult population in France, 2013-2016: the Constances study.法国成年人肥胖患病率的演变:2013-2016 年康斯坦斯研究。
Sci Rep. 2021 Jul 8;11(1):14152. doi: 10.1038/s41598-021-93432-0.
3
Temporal Trends in the Incidence of Ischemic Stroke in Young Adults: Dijon Stroke Registry.
中性粒细胞与淋巴细胞比值:脑出血患者预后的一种简单而准确的生物标志物,一项115例病例的研究
Surg Neurol Int. 2024 Dec 27;15:475. doi: 10.25259/SNI_745_2024. eCollection 2024.
4
Seasonal impact of diurnal temperature range on intracerebral hemorrhage in middle-aged and elderly people in central China.中国中部地区中老年人群昼夜温差对脑出血的季节性影响。
Epidemiol Health. 2024;46:e2024053. doi: 10.4178/epih.e2024053. Epub 2024 Jun 11.
5
Service delivery in acute ischemic stroke patients: Does sex matter?急性缺血性脑卒中患者的服务提供:性别重要吗?
Eur J Neurol. 2024 Jul;31(7):e16287. doi: 10.1111/ene.16287. Epub 2024 Mar 30.
6
Global stroke statistics 2023: Availability of reperfusion services around the world.2023 年全球中风统计数据:世界各地再灌注服务的可及性。
Int J Stroke. 2024 Mar;19(3):253-270. doi: 10.1177/17474930231210448. Epub 2024 Jan 1.
7
Association of sex and age with in-hospital mortality and complications of patients with intracerebral hemorrhage: A study from the Chinese Stroke Center Alliance.性别和年龄与脑出血患者住院死亡率和并发症的关系:来自中国卒中中心联盟的研究。
Brain Behav. 2023 Jan;13(1):e2846. doi: 10.1002/brb3.2846. Epub 2022 Dec 10.
年轻人缺血性脑卒中发病率的时间趋势:第戎脑卒中登记研究。
Neuroepidemiology. 2021;55(3):239-244. doi: 10.1159/000516054. Epub 2021 May 27.
4
Clinical and Economic Burden of Stroke Among Young, Midlife, and Older Adults in the United States, 2002-2017.2002 - 2017年美国年轻人、中年人和老年人中风的临床及经济负担
Mayo Clin Proc Innov Qual Outcomes. 2021 Apr 8;5(2):431-441. doi: 10.1016/j.mayocpiqo.2021.01.015. eCollection 2021 Apr.
5
Impact of the COVID-19 pandemic and a national lockdown on hospitalizations for stroke and related 30-day mortality in France: A nationwide observational study.COVID-19 大流行和全国封锁对法国卒中住院和相关 30 天死亡率的影响:一项全国性观察研究。
Eur J Neurol. 2021 Oct;28(10):3279-3288. doi: 10.1111/ene.14831. Epub 2021 Mar 29.
6
Nationwide Trends in Incidence and Mortality of Stroke Among Younger and Older Adults in Denmark.丹麦中老年人群卒中发病率和死亡率的全国性趋势。
Neurology. 2021 Mar 30;96(13):e1711-e1723. doi: 10.1212/WNL.0000000000011636. Epub 2021 Feb 10.
7
Stroke Incidence by Sex Across the Lifespan.全生命周期的性别间卒中发病率。
Stroke. 2021 Jan;52(2):447-451. doi: 10.1161/STROKEAHA.120.032898. Epub 2021 Jan 25.
8
Temporal and Age-Specific Trends in Acute Stroke Incidence: A 15-Year Population-Based Study of Administrative Data in Ontario, Canada.急性卒中发病率的时间和年龄特异性趋势:一项基于加拿大安大略省行政数据的15年人群研究
Can J Neurol Sci. 2021 Sep;48(5):685-689. doi: 10.1017/cjn.2020.257. Epub 2020 Nov 20.
9
Aging population and stroke: Red flag.老龄化人口与中风:危险信号。
Rev Neurol (Paris). 2020 Dec;176(10):751-753. doi: 10.1016/j.neurol.2020.07.008. Epub 2020 Sep 25.
10
Higher Incidence of Ischemic Stroke in Young Women Than in Young Men: Mind the Gap.年轻女性缺血性中风的发病率高于年轻男性:注意这一差距。
Stroke. 2020 Nov;51(11):3195-3196. doi: 10.1161/STROKEAHA.120.032062. Epub 2020 Sep 18.