• 文献检索
  • 文档翻译
  • 深度研究
  • 学术资讯
  • Suppr Zotero 插件Zotero 插件
  • 邀请有礼
  • 套餐&价格
  • 历史记录
应用&插件
Suppr Zotero 插件Zotero 插件浏览器插件Mac 客户端Windows 客户端微信小程序
定价
高级版会员购买积分包购买API积分包
服务
文献检索文档翻译深度研究API 文档MCP 服务
关于我们
关于 Suppr公司介绍联系我们用户协议隐私条款
关注我们

Suppr 超能文献

核心技术专利:CN118964589B侵权必究
粤ICP备2023148730 号-1Suppr @ 2026

文献检索

告别复杂PubMed语法,用中文像聊天一样搜索,搜遍4000万医学文献。AI智能推荐,让科研检索更轻松。

立即免费搜索

文件翻译

保留排版,准确专业,支持PDF/Word/PPT等文件格式,支持 12+语言互译。

免费翻译文档

深度研究

AI帮你快速写综述,25分钟生成高质量综述,智能提取关键信息,辅助科研写作。

立即免费体验

外周血单个核细胞中 LINC00847 表达水平对儿童哮喘急性发作与缓解的预测价值

Expression of LINC00847 in Peripheral Blood Mononuclear Cells of Children with Asthma and Its Prediction between Asthma Exacerbation and Remission.

机构信息

Department of Pediatrics, Ningbo Yinzhou No. 2 Hospital, Ningbo City, Zhejiang Province 315192, China.

出版信息

Genet Res (Camb). 2022 Mar 20;2022:5678257. doi: 10.1155/2022/5678257. eCollection 2022.

DOI:10.1155/2022/5678257
PMID:35356750
原文链接:https://pmc.ncbi.nlm.nih.gov/articles/PMC8958088/
Abstract

OBJECTIVE

Asthma is defined as a heterogeneous disease that is usually characterized by chronic airway inflammation. Long noncoding RNAs play important roles in various biological processes including inflammation. To know more about the relationships between lncRNAs and asthma, we sought to the role of LINC00847 in peripheral blood mononuclear cells (PBMCs) of children with asthma exacerbation or asthma remission.

METHODS

Microarray analysis was performed on GSE143192 and GSE165934 datasets to screen differentially expressed lncRNAs (DElncRNAs) in human PBMCs between asthma patients and normal controls. LINC00847 was selected from DElncRNAs in human PBMCs between asthma patients and normal controls for further investigation. The expression levels of LINC00847 were quantified in PBMCs collected from 54 children with asthma exacerbation, 54 children with asthma remission, and 54 healthy children by real-time qPCR. The forced expiratory volume in the first second in percent predicted values (FEV1%), ratio of forced expiratory volume in 1 second to forced vital capacity (FEV1/FVC), and peak expiratory flow rate (PEF%) were tested for evaluation of lung function. The concentration of immunoglobulin E (IgE) and eosinophil count was examined. The serum levels of interleukin-4 (IL-4), interferon- (IFN-), and IL-17A were determined by the ELISA method.

RESULTS

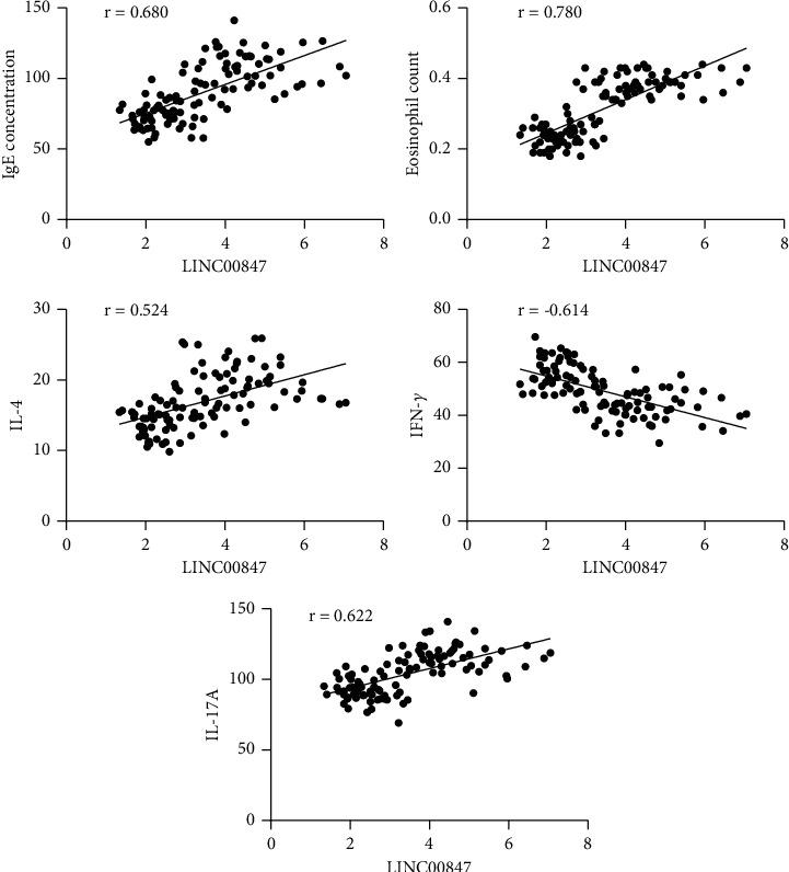
The expression level of LINC00847 in PBMCs of asthma exacerbation children was remarkably higher than that in PBMCs of asthma remission children and healthy children ( < 0.001); the expression level of LINC00847 in PBMCs of asthma remission children was notably higher than that in PBMCs of healthy children ( < 0.001). Pearson correlation analysis revealed that the expression levels of LINC00847 in PBMCs of asthma children were negatively correlated with FEV1% ( = -0.489), FEV1/FVC ( = -0.436), PEF% ( = -0.626), and IFN- level ( = -0.614) of asthma children, but positively correlated with IgE concentration ( = 0.680), eosinophil count ( = 0.780), IL-4 ( = 0.524), and IL-17A ( = 0.622) levels. When LINC00847 expression was used to distinguish asthma exacerbation from asthma remission, a 0.871 AUC (95% CI: 0.805-0.936) was yielded with sensitivity of 79.63% and specificity of 77.78%.

CONCLUSION

The study demonstrates that increased LINC00847 expression may be associated with the development and progression of asthma, possibly serving as a novel biomarker for predicting asthma exacerbation from asthma remission.

摘要

目的

哮喘被定义为一种异质性疾病,通常以慢性气道炎症为特征。长链非编码 RNA 在包括炎症在内的各种生物学过程中发挥重要作用。为了更深入地了解 lncRNA 与哮喘之间的关系,我们研究了 LINC00847 在哮喘发作或缓解的儿童外周血单核细胞 (PBMC) 中的作用。

方法

通过 GSE143192 和 GSE165934 数据集进行微阵列分析,筛选哮喘患者和正常对照人群 PBMC 中差异表达的长链非编码 RNA (DElncRNA)。从哮喘患者和正常对照人群 PBMC 的 DElncRNA 中选择 LINC00847 进行进一步研究。通过实时 qPCR 定量检测 54 例哮喘发作儿童、54 例哮喘缓解儿童和 54 例健康儿童 PBMC 中的 LINC00847 表达水平。通过测定第一秒用力呼气量占预计值的百分比 (FEV1%)、一秒用力呼气量与用力肺活量的比值 (FEV1/FVC)和呼气峰流速 (PEF%)来评估肺功能。检测免疫球蛋白 E (IgE)和嗜酸性粒细胞计数。采用 ELISA 法测定白细胞介素-4 (IL-4)、干扰素- (IFN-)和 IL-17A 的血清水平。

结果

哮喘发作儿童 PBMC 中 LINC00847 的表达水平明显高于哮喘缓解儿童和健康儿童 ( < 0.001);哮喘缓解儿童 PBMC 中 LINC00847 的表达水平明显高于健康儿童 ( < 0.001)。Pearson 相关分析显示,哮喘患儿 PBMC 中 LINC00847 的表达水平与哮喘患儿的 FEV1% ( = -0.489)、FEV1/FVC ( = -0.436)、PEF% ( = -0.626)和 IFN-水平 ( = -0.614)呈负相关,与 IgE 浓度 ( = 0.680)、嗜酸性粒细胞计数 ( = 0.780)、IL-4 ( = 0.524)和 IL-17A ( = 0.622)水平呈正相关。当使用 LINC00847 表达来区分哮喘发作和哮喘缓解时,AUC 为 0.871(95%CI:0.805-0.936),灵敏度为 79.63%,特异性为 77.78%。

结论

研究表明,LINC00847 的表达增加可能与哮喘的发生和发展有关,可能成为预测哮喘发作从哮喘缓解的新型生物标志物。

https://cdn.ncbi.nlm.nih.gov/pmc/blobs/1c40/8958088/3ad7a38bf226/GR2022-5678257.005.jpg
https://cdn.ncbi.nlm.nih.gov/pmc/blobs/1c40/8958088/e2454ee82c4c/GR2022-5678257.001.jpg
https://cdn.ncbi.nlm.nih.gov/pmc/blobs/1c40/8958088/f6f7ed3e73ee/GR2022-5678257.002.jpg
https://cdn.ncbi.nlm.nih.gov/pmc/blobs/1c40/8958088/5dc6ecb54c7f/GR2022-5678257.003.jpg
https://cdn.ncbi.nlm.nih.gov/pmc/blobs/1c40/8958088/5f36dcf959bc/GR2022-5678257.004.jpg
https://cdn.ncbi.nlm.nih.gov/pmc/blobs/1c40/8958088/3ad7a38bf226/GR2022-5678257.005.jpg
https://cdn.ncbi.nlm.nih.gov/pmc/blobs/1c40/8958088/e2454ee82c4c/GR2022-5678257.001.jpg
https://cdn.ncbi.nlm.nih.gov/pmc/blobs/1c40/8958088/f6f7ed3e73ee/GR2022-5678257.002.jpg
https://cdn.ncbi.nlm.nih.gov/pmc/blobs/1c40/8958088/5dc6ecb54c7f/GR2022-5678257.003.jpg
https://cdn.ncbi.nlm.nih.gov/pmc/blobs/1c40/8958088/5f36dcf959bc/GR2022-5678257.004.jpg
https://cdn.ncbi.nlm.nih.gov/pmc/blobs/1c40/8958088/3ad7a38bf226/GR2022-5678257.005.jpg

相似文献

1
Expression of LINC00847 in Peripheral Blood Mononuclear Cells of Children with Asthma and Its Prediction between Asthma Exacerbation and Remission.外周血单个核细胞中 LINC00847 表达水平对儿童哮喘急性发作与缓解的预测价值
Genet Res (Camb). 2022 Mar 20;2022:5678257. doi: 10.1155/2022/5678257. eCollection 2022.
2
Correlation analysis of serum Rac1 level with asthma control, airway inflammatory response and lung function in asthmatic children.血清 Rac1 水平与儿童哮喘控制、气道炎症反应和肺功能的相关性分析。
BMC Pulm Med. 2024 Sep 16;24(1):455. doi: 10.1186/s12890-024-03266-5.
3
Reduced JKAP correlates with advanced disease features, inflammation, as well as increased exacerbation risk and severity in asthmatic children.JKAP 减少与哮喘儿童的疾病进展特征、炎症以及加重风险和严重程度增加有关。
Ir J Med Sci. 2021 Aug;190(3):1079-1085. doi: 10.1007/s11845-020-02422-0. Epub 2020 Nov 6.
4
The clinical significance of spondin 2 eccentric expression in peripheral blood mononuclear cells in bronchial asthma.支气管哮喘患者外周血单个核细胞中 spondin 2 异常表达的临床意义。
J Clin Lab Anal. 2021 Jun;35(6):e23764. doi: 10.1002/jcla.23764. Epub 2021 May 16.
5
Long non-coding RNA NEAT1 overexpression associates with increased exacerbation risk, severity, and inflammation, as well as decreased lung function through the interaction with microRNA-124 in asthma.长链非编码 RNA NEAT1 的过表达与哮喘中与 microRNA-124 的相互作用相关的加重风险增加、严重程度增加、炎症反应增加以及肺功能下降有关。
J Clin Lab Anal. 2020 Jan;34(1):e23023. doi: 10.1002/jcla.23023. Epub 2019 Dec 25.
6
Serum 14-3-3β protein: a new biomarker in asthmatic patients with acute exacerbation in an observational study.血清14-3-3β蛋白:一项观察性研究中哮喘急性加重患者的新型生物标志物。
Allergy Asthma Clin Immunol. 2021 Oct 9;17(1):104. doi: 10.1186/s13223-021-00608-4.
7
[Study of the clinical phenotype of symptomatic chronic airways disease by hierarchical cluster analysis and two-step cluster analyses].[采用层次聚类分析和两步聚类分析对症状性慢性气道疾病临床表型的研究]
Zhonghua Nei Ke Za Zhi. 2016 Sep 1;55(9):679-83. doi: 10.3760/cma.j.issn.0578-1426.2016.09.005.
8
Elevated Th17 cell frequencies and Th17/Treg ratio are associated with airway hyperresponsiveness in asthmatic children.哮喘患儿气道高反应性与 Th17 细胞频率升高和 Th17/Treg 比值升高有关。
J Asthma. 2021 Jun;58(6):707-716. doi: 10.1080/02770903.2020.1737710. Epub 2020 Mar 13.
9
The association of forced expiratory volume in one second and forced expiratory flow at 50% of the vital capacity, peak expiratory flow parameters, and blood eosinophil counts in exercise-induced bronchospasm in children with mild asthma.轻度哮喘儿童运动诱发性支气管痉挛中一秒用力呼气量与肺活量50%时的用力呼气流量、呼气峰值流量参数及血液嗜酸性粒细胞计数之间的关联。
Asia Pac Allergy. 2015 Apr;5(2):98-102. doi: 10.5415/apallergy.2015.5.2.98. Epub 2015 Apr 29.
10
[Correlation between expressions of myeloperoxidase and eosinophil cationic protein in sputum and clinical features of asthma-chronic obstructive pulmonary disease overlap].[痰液中髓过氧化物酶和嗜酸性粒细胞阳离子蛋白表达与支气管哮喘-慢性阻塞性肺疾病重叠综合征临床特征的相关性]
Nan Fang Yi Ke Da Xue Xue Bao. 2018 Sep 30;38(10):1215-1221. doi: 10.3969/j.issn.1673-4254.2018.10.10.

引用本文的文献

1
Impacts of night market on indoor air quality and lung function of children in nearby households.夜市对附近家庭儿童室内空气质量和肺功能的影响。
J Expo Sci Environ Epidemiol. 2025 Mar 20. doi: 10.1038/s41370-025-00755-5.
2
Inflammation during Pregnancy Predisposes to Childhood Asthma by Altering Long Noncoding RNA Expression.孕期炎症通过改变长链非编码RNA表达增加儿童患哮喘的风险。
Am J Respir Cell Mol Biol. 2023 Jun;68(6):599-600. doi: 10.1165/rcmb.2023-0004ED.

本文引用的文献

1
Management of Acute Asthma in Children.儿童急性哮喘管理。
Indian J Pediatr. 2022 Apr;89(4):366-372. doi: 10.1007/s12098-021-04051-6. Epub 2022 Feb 11.
2
Long noncoding RNA PTTG3P/miR-192-3p/CCNB1 axis is a potential biomarker of childhood asthma.长链非编码RNA PTTG3P/miR-192-3p/CCNB1轴是儿童哮喘的潜在生物标志物。
Int Immunopharmacol. 2021 Dec;101(Pt B):108229. doi: 10.1016/j.intimp.2021.108229. Epub 2021 Oct 28.
3
A novel lncRNA ROPM-mediated lipid metabolism governs breast cancer stem cell properties.一种新型长链非编码 RNA ROPM 通过脂质代谢调控乳腺癌干细胞特性。
J Hematol Oncol. 2021 Oct 29;14(1):178. doi: 10.1186/s13045-021-01194-z.
4
Long Non-coding RNAs and Circular RNAs: Insights Into Microglia and Astrocyte Mediated Neurological Diseases.长链非编码RNA与环状RNA:对小胶质细胞和星形胶质细胞介导的神经疾病的见解
Front Mol Neurosci. 2021 Oct 5;14:745066. doi: 10.3389/fnmol.2021.745066. eCollection 2021.
5
Emerging Advances of Non-coding RNAs and Competitive Endogenous RNA Regulatory Networks in Asthma.非编码 RNA 与哮喘中竞争性内源性 RNA 调控网络的研究进展
Bioengineered. 2021 Dec;12(1):7820-7836. doi: 10.1080/21655979.2021.1981796.
6
The Integrative Analysis of Competitive Endogenous RNA Regulatory Networks in Coronary Artery Disease.冠状动脉疾病中竞争性内源性RNA调控网络的综合分析
Front Cardiovasc Med. 2021 Sep 22;8:647953. doi: 10.3389/fcvm.2021.647953. eCollection 2021.
7
Differential long non-coding RNA expression profile and function analysis in primary Sjogren's syndrome.原发性干燥综合征中差异长非编码 RNA 表达谱及功能分析。
BMC Immunol. 2021 Jul 20;22(1):47. doi: 10.1186/s12865-021-00439-3.
8
LncRNA CASC2 is involved in the development of chronic obstructive pulmonary disease targeting miR-18a-5p/IGF1 axis.长链非编码 RNA CASC2 通过靶向 miR-18a-5p/IGF1 轴参与慢性阻塞性肺疾病的发生。
Ther Adv Respir Dis. 2021 Jan-Dec;15:17534666211028072. doi: 10.1177/17534666211028072.
9
Long Non-coding RNA LINC00847 Induced by E2F1 Accelerates Non-small Cell Lung Cancer Progression Through Targeting miR-147a/IFITM1 Axis.由E2F1诱导的长链非编码RNA LINC00847通过靶向miR-147a/IFITM1轴加速非小细胞肺癌进展。
Front Med (Lausanne). 2021 Apr 22;8:663558. doi: 10.3389/fmed.2021.663558. eCollection 2021.
10
LncRNA LINC00847 contributes to hepatocellular carcinoma progression by acting as a sponge of miR-99a to induce E2F2 expression.长链非编码RNA LINC00847通过作为miR-99a的海绵来诱导E2F2表达,从而促进肝细胞癌进展。
J Biol Regul Homeost Agents. 2020 Nov-Dec;34(6):2195-2203. doi: 10.23812/20-427-L.