• 文献检索
  • 文档翻译
  • 深度研究
  • 学术资讯
  • Suppr Zotero 插件Zotero 插件
  • 邀请有礼
  • 套餐&价格
  • 历史记录
应用&插件
Suppr Zotero 插件Zotero 插件浏览器插件Mac 客户端Windows 客户端微信小程序
定价
高级版会员购买积分包购买API积分包
服务
文献检索文档翻译深度研究API 文档MCP 服务
关于我们
关于 Suppr公司介绍联系我们用户协议隐私条款
关注我们

Suppr 超能文献

核心技术专利:CN118964589B侵权必究
粤ICP备2023148730 号-1Suppr @ 2026

文献检索

告别复杂PubMed语法,用中文像聊天一样搜索,搜遍4000万医学文献。AI智能推荐,让科研检索更轻松。

立即免费搜索

文件翻译

保留排版,准确专业,支持PDF/Word/PPT等文件格式,支持 12+语言互译。

免费翻译文档

深度研究

AI帮你快速写综述,25分钟生成高质量综述,智能提取关键信息,辅助科研写作。

立即免费体验

胶质瘤中组蛋白去乙酰化酶的差异表达及预后价值的综合分析

Comprehensive Analysis of the Differential Expression and Prognostic Value of Histone Deacetylases in Glioma.

作者信息

Li Jinwei, Yan Xianlei, Liang Cong, Chen Hongmou, Liu Meimei, Wu Zhikang, Zheng Jiemin, Dang Junsun, La Xiaojin, Liu Quan

机构信息

Department of Neurosurgery, The Fourth Affliated Hospital of Guangxi Medical University, Liuzhou, China.

College of Traditional Chinese Medicine, North China University of Science and Technology, Tangshan, China.

出版信息

Front Cell Dev Biol. 2022 Mar 10;10:840759. doi: 10.3389/fcell.2022.840759. eCollection 2022.

DOI:10.3389/fcell.2022.840759
PMID:35359455
原文链接:https://pmc.ncbi.nlm.nih.gov/articles/PMC8961059/
Abstract

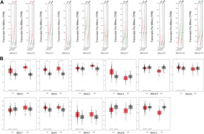
Gliomas are the most common and aggressive malignancies of the central nervous system. Histone deacetylases (HDACs) are important targets in cancer treatment. They regulate complex cellular mechanisms that influence tumor biology and immunogenicity. However, little is known about the function of HDACs in glioma. The Oncomine, Human Protein Atlas, Gene Expression Profiling Interactive Analysis, Broad Institute Cancer Cell Line Encyclopedia, Chinese Glioma Genome Atlas, OmicShare, cBioPortal, GeneMANIA, STRING, and TIMER databases were utilized to analyze the differential expression, prognostic value, and genetic alteration of HDAC and immune cell infiltration in patients with glioma. were considerable upregulated whereas HDAC11 was significantly downregulated in cancer tissues. were significantly correlated with the clinical glioma stage. were strongly upregulated in 11 glioma cell lines. High and low mRNA levels were significantly associated with overall survival and disease-free survival in glioma. are potential useful biomarkers for predicting the survival of patients with glioma. The functions of HDACs and 50 neighboring genes were primarily related to transcriptional dysregulation in cancers and the Notch, cGMP-PKG, and thyroid hormone signaling pathways. HDAC expression was significantly correlated with the infiltration of B cells, CD4 T cells, CD8 T cells, macrophages, neutrophils, and dendritic cells in glioma. Our study indicated that HDACs are putative precision therapy targets and prognostic biomarkers of survival in glioma patients.

摘要

神经胶质瘤是中枢神经系统最常见且侵袭性最强的恶性肿瘤。组蛋白去乙酰化酶(HDACs)是癌症治疗中的重要靶点。它们调节影响肿瘤生物学和免疫原性的复杂细胞机制。然而,关于HDACs在神经胶质瘤中的功能知之甚少。利用Oncomine、人类蛋白质图谱、基因表达谱交互式分析、布罗德研究所癌细胞系百科全书、中国神经胶质瘤基因组图谱、OmicShare、cBioPortal、GeneMANIA、STRING和TIMER数据库,分析HDACs的差异表达、预后价值以及神经胶质瘤患者的基因改变和免疫细胞浸润情况。在癌组织中,[具体基因未明确]显著上调,而HDAC11显著下调。[具体基因未明确]与临床神经胶质瘤分期显著相关。在11种神经胶质瘤细胞系中,[具体基因未明确]强烈上调。神经胶质瘤中[具体基因未明确]的高mRNA水平和低mRNA水平与总生存期和无病生存期显著相关。[具体基因未明确]是预测神经胶质瘤患者生存的潜在有用生物标志物。HDACs和50个相邻基因的功能主要与癌症中的转录失调以及Notch、cGMP-PKG和甲状腺激素信号通路有关。HDAC表达与神经胶质瘤中B细胞、CD4 T细胞、CD8 T细胞、巨噬细胞、中性粒细胞和树突状细胞的浸润显著相关。我们的研究表明,HDACs是神经胶质瘤患者生存的推定精准治疗靶点和预后生物标志物。

https://cdn.ncbi.nlm.nih.gov/pmc/blobs/d04b/8961059/482a2eb1c386/fcell-10-840759-g011.jpg
https://cdn.ncbi.nlm.nih.gov/pmc/blobs/d04b/8961059/997be198184e/fcell-10-840759-g001.jpg
https://cdn.ncbi.nlm.nih.gov/pmc/blobs/d04b/8961059/a33001ef6805/fcell-10-840759-g002.jpg
https://cdn.ncbi.nlm.nih.gov/pmc/blobs/d04b/8961059/64d32a1e717c/fcell-10-840759-g003.jpg
https://cdn.ncbi.nlm.nih.gov/pmc/blobs/d04b/8961059/6cc206b933b0/fcell-10-840759-g004.jpg
https://cdn.ncbi.nlm.nih.gov/pmc/blobs/d04b/8961059/dc399bb933f5/fcell-10-840759-g005.jpg
https://cdn.ncbi.nlm.nih.gov/pmc/blobs/d04b/8961059/58272440e5a2/fcell-10-840759-g006.jpg
https://cdn.ncbi.nlm.nih.gov/pmc/blobs/d04b/8961059/d0271d296d74/fcell-10-840759-g007.jpg
https://cdn.ncbi.nlm.nih.gov/pmc/blobs/d04b/8961059/f834c251df4b/fcell-10-840759-g008.jpg
https://cdn.ncbi.nlm.nih.gov/pmc/blobs/d04b/8961059/c17a13682d80/fcell-10-840759-g009.jpg
https://cdn.ncbi.nlm.nih.gov/pmc/blobs/d04b/8961059/3a8119fe1621/fcell-10-840759-g010.jpg
https://cdn.ncbi.nlm.nih.gov/pmc/blobs/d04b/8961059/482a2eb1c386/fcell-10-840759-g011.jpg
https://cdn.ncbi.nlm.nih.gov/pmc/blobs/d04b/8961059/997be198184e/fcell-10-840759-g001.jpg
https://cdn.ncbi.nlm.nih.gov/pmc/blobs/d04b/8961059/a33001ef6805/fcell-10-840759-g002.jpg
https://cdn.ncbi.nlm.nih.gov/pmc/blobs/d04b/8961059/64d32a1e717c/fcell-10-840759-g003.jpg
https://cdn.ncbi.nlm.nih.gov/pmc/blobs/d04b/8961059/6cc206b933b0/fcell-10-840759-g004.jpg
https://cdn.ncbi.nlm.nih.gov/pmc/blobs/d04b/8961059/dc399bb933f5/fcell-10-840759-g005.jpg
https://cdn.ncbi.nlm.nih.gov/pmc/blobs/d04b/8961059/58272440e5a2/fcell-10-840759-g006.jpg
https://cdn.ncbi.nlm.nih.gov/pmc/blobs/d04b/8961059/d0271d296d74/fcell-10-840759-g007.jpg
https://cdn.ncbi.nlm.nih.gov/pmc/blobs/d04b/8961059/f834c251df4b/fcell-10-840759-g008.jpg
https://cdn.ncbi.nlm.nih.gov/pmc/blobs/d04b/8961059/c17a13682d80/fcell-10-840759-g009.jpg
https://cdn.ncbi.nlm.nih.gov/pmc/blobs/d04b/8961059/3a8119fe1621/fcell-10-840759-g010.jpg
https://cdn.ncbi.nlm.nih.gov/pmc/blobs/d04b/8961059/482a2eb1c386/fcell-10-840759-g011.jpg

相似文献

1
Comprehensive Analysis of the Differential Expression and Prognostic Value of Histone Deacetylases in Glioma.胶质瘤中组蛋白去乙酰化酶的差异表达及预后价值的综合分析
Front Cell Dev Biol. 2022 Mar 10;10:840759. doi: 10.3389/fcell.2022.840759. eCollection 2022.
2
Comprehensive Analysis of HDAC Family Identifies as a Prognostic and Immune Infiltration Indicator and -Related Signature for Prognosis in Glioma.HDAC家族的综合分析确定其为胶质瘤预后及免疫浸润指标和预后相关特征。
Front Mol Biosci. 2021 Sep 1;8:720020. doi: 10.3389/fmolb.2021.720020. eCollection 2021.
3
Comprehensive analysis of histone deacetylases genes in the prognosis and immune infiltration of glioma patients.全面分析组蛋白去乙酰化酶基因在胶质瘤患者预后和免疫浸润中的作用。
Aging (Albany NY). 2022 May 11;14(9):4050-4068. doi: 10.18632/aging.204071.
4
MCM10 as a novel prognostic biomarker and its relevance to immune infiltration in gliomas.MCM10 作为一种新型的预后生物标志物及其与胶质瘤免疫浸润的相关性。
Technol Health Care. 2023;31(4):1301-1317. doi: 10.3233/THC-220576.
5
EFNA1 is a potential key gene that correlates with immune infiltration in low-grade glioma.EFNA1 是与低级别胶质瘤免疫浸润相关的潜在关键基因。
Medicine (Baltimore). 2021 Jun 4;100(22):e26188. doi: 10.1097/MD.0000000000026188.
6
promotes metastasis in glioma macrophages, neutrophils, and fibroblasts and is a potential prognostic biomarker.促进胶质瘤中巨噬细胞、中性粒细胞和成纤维细胞的转移,是一种潜在的预后生物标志物。
Front Immunol. 2022 Oct 7;13:974346. doi: 10.3389/fimmu.2022.974346. eCollection 2022.
7
Expression and prognostic analyses of HDACs in human gastric cancer based on bioinformatic analysis.基于生物信息学分析的人类胃癌中 HDACs 的表达与预后分析。
Medicine (Baltimore). 2021 Jul 9;100(27):e26554. doi: 10.1097/MD.0000000000026554.
8
MCM4 is a novel prognostic biomarker and promotes cancer cell growth in glioma.微小染色体维持蛋白4(MCM4)是一种新型的预后生物标志物,可促进胶质瘤中癌细胞的生长。
Front Oncol. 2022 Nov 17;12:1004324. doi: 10.3389/fonc.2022.1004324. eCollection 2022.
9
ABCD3 is a prognostic biomarker for glioma and associated with immune infiltration: A study based on oncolysis of gliomas.ABCD3 是一种用于预测脑胶质瘤的生物标志物,并与免疫浸润相关:一项基于脑胶质瘤溶瘤治疗的研究。
Front Cell Infect Microbiol. 2022 Jul 25;12:956801. doi: 10.3389/fcimb.2022.956801. eCollection 2022.
10
Comprehensive analyses reveal the role of histone deacetylase genes in prognosis and immune response in low-grade glioma.综合分析揭示组蛋白去乙酰化酶基因在低级别胶质瘤预后和免疫反应中的作用。
PLoS One. 2022 Oct 13;17(10):e0276120. doi: 10.1371/journal.pone.0276120. eCollection 2022.

引用本文的文献

1
Explainable Machine Learning Models for Glioma Subtype Classification and Survival Prediction.用于脑胶质瘤亚型分类和生存预测的可解释机器学习模型
Cancers (Basel). 2025 Aug 9;17(16):2614. doi: 10.3390/cancers17162614.
2
Potential role of short-chain fatty acids in the pathogenesis and management of acute lymphocytic leukemia.短链脂肪酸在急性淋巴细胞白血病发病机制及治疗中的潜在作用
Ann Transl Med. 2024 Aug 1;12(4):74. doi: 10.21037/atm-23-1806. Epub 2023 Nov 30.
3
HAS2 facilitates glioma cell malignancy and suppresses ferroptosis in an FZD7-dependent manner.

本文引用的文献

1
Insights Into the Function and Clinical Application of HDAC5 in Cancer Management.组蛋白去乙酰化酶5在癌症治疗中的功能及临床应用洞察
Front Oncol. 2021 Jun 10;11:661620. doi: 10.3389/fonc.2021.661620. eCollection 2021.
2
NBM-BMX, an HDAC8 Inhibitor, Overcomes Temozolomide Resistance in Glioblastoma Multiforme by Downregulating the β-Catenin/c-Myc/SOX2 Pathway and Upregulating p53-Mediated MGMT Inhibition.NBM-BMX,一种组蛋白去乙酰化酶8(HDAC8)抑制剂,通过下调β-连环蛋白/c-Myc/SOX2信号通路和上调p53介导的O6-甲基鸟嘌呤-DNA甲基转移酶(MGMT)抑制作用来克服多形性胶质母细胞瘤中的替莫唑胺耐药性。
Int J Mol Sci. 2021 May 31;22(11):5907. doi: 10.3390/ijms22115907.
3
HAS2以FZD7依赖的方式促进胶质瘤细胞的恶性发展并抑制铁死亡。
Cancer Sci. 2024 Aug;115(8):2602-2616. doi: 10.1111/cas.16232. Epub 2024 May 30.
4
A pancancer analysis of histone deacetylase 3 in human tumors.人类肿瘤中组蛋白去乙酰化酶3的泛癌分析。
Transl Cancer Res. 2024 Jan 31;13(1):65-80. doi: 10.21037/tcr-23-1228. Epub 2024 Jan 29.
5
A double edged sword against glioblastoma, inhibiting glioblastoma cell line growth by targeting histone deacetylases (HDAC) and angiogenesis.一种对抗胶质母细胞瘤的双刃剑,通过靶向组蛋白去乙酰化酶(HDAC)和血管生成来抑制胶质母细胞瘤细胞系生长。
Heliyon. 2024 Jan 12;10(2):e24406. doi: 10.1016/j.heliyon.2024.e24406. eCollection 2024 Jan 30.
6
Exploring the relationship between abnormally high expression of and the clinicopathological characteristics, immune microenvironment, and prognostic value of lower-grade glioma.探讨[具体基因名称]异常高表达与低级别胶质瘤的临床病理特征、免疫微环境及预后价值之间的关系。 (注:原文中“and the clinicopathological characteristics, immune microenvironment, and prognostic value of lower-grade glioma.”前缺少具体基因名称,这里补充了[具体基因名称]以使译文完整,实际翻译时应根据原文准确内容翻译)
Front Oncol. 2023 May 22;13:1007198. doi: 10.3389/fonc.2023.1007198. eCollection 2023.
7
Identification of HDAC4 as a potential therapeutic target and prognostic biomarker for ZFTA-fused ependymomas.鉴定 HDAC4 作为 ZFTA 融合性室管膜瘤的潜在治疗靶点和预后生物标志物。
Cancer Gene Ther. 2023 Aug;30(8):1105-1113. doi: 10.1038/s41417-023-00616-z. Epub 2023 Apr 11.
8
Defining a Correlative Transcriptional Signature Associated with Bulk Histone H3 Acetylation Levels in Adult Glioblastomas.定义与成人弥漫性胶质母细胞瘤中组蛋白 H3 乙酰化水平相关的关联转录特征。
Cells. 2023 Jan 19;12(3):374. doi: 10.3390/cells12030374.
9
Is a Novel Prognostic-Related Biomarker in Glioma Correlating with Immune Infiltrates and Response to Oxidative Stress by Temozolomide.胶质母细胞瘤中与免疫浸润和替莫唑胺氧化应激反应相关的新型预后相关生物标志物。
Oxid Med Cell Longev. 2022 Sep 20;2022:7595230. doi: 10.1155/2022/7595230. eCollection 2022.
10
Comprehensive analysis of histone deacetylases genes in the prognosis and immune infiltration of glioma patients.全面分析组蛋白去乙酰化酶基因在胶质瘤患者预后和免疫浸润中的作用。
Aging (Albany NY). 2022 May 11;14(9):4050-4068. doi: 10.18632/aging.204071.
Epigenetic Targeting of Histone Deacetylases in Diagnostics and Treatment of Depression.
表观遗传学靶向组蛋白去乙酰化酶在抑郁症的诊断和治疗中的作用。
Int J Mol Sci. 2021 May 20;22(10):5398. doi: 10.3390/ijms22105398.
4
Chinese Glioma Genome Atlas (CGGA): A Comprehensive Resource with Functional Genomic Data from Chinese Glioma Patients.中国脑胶质瘤基因组图谱(CGGA):来自中国脑胶质瘤患者的功能基因组数据的综合资源。
Genomics Proteomics Bioinformatics. 2021 Feb;19(1):1-12. doi: 10.1016/j.gpb.2020.10.005. Epub 2021 Mar 2.
5
An HDAC6-dependent surveillance mechanism suppresses tau-mediated neurodegeneration and cognitive decline.一种依赖于组蛋白去乙酰化酶 6 的监控机制可以抑制 tau 介导的神经退行性病变和认知能力下降。
Nat Commun. 2020 Nov 2;11(1):5522. doi: 10.1038/s41467-020-19317-4.
6
Thirty Years of HDAC Inhibitors: 2020 Insight and Hindsight.三十年 HDAC 抑制剂:2020 年的新视角和新认识。
J Med Chem. 2020 Nov 12;63(21):12460-12484. doi: 10.1021/acs.jmedchem.0c00830. Epub 2020 Jul 16.
7
HDAC9 deficiency promotes tumor progression by decreasing the CD8 dendritic cell infiltration of the tumor microenvironment.HDAC9 缺失通过减少肿瘤微环境中 CD8 树突状细胞的浸润来促进肿瘤进展。
J Immunother Cancer. 2020 Jun;8(1). doi: 10.1136/jitc-2020-000529.
8
High HDAC9 is associated with poor prognosis and promotes malignant progression in pancreatic ductal adenocarcinoma.高表达的组蛋白去乙酰化酶 9 与不良预后相关,并促进胰腺导管腺癌的恶性进展。
Mol Med Rep. 2020 Feb;21(2):822-832. doi: 10.3892/mmr.2019.10869. Epub 2019 Dec 6.
9
Exploring structural requirements of isoform selective histone deacetylase inhibitors: a comparative study.探索选择性组蛋白去乙酰化酶抑制剂的结构要求:一项比较研究。
J Biomol Struct Dyn. 2021 Feb;39(2):502-517. doi: 10.1080/07391102.2019.1711191. Epub 2020 Jan 10.
10
HDAC11 deficiency disrupts oncogene-induced hematopoiesis in myeloproliferative neoplasms.HDAC11 缺失破坏骨髓增殖性肿瘤中癌基因诱导的造血。
Blood. 2020 Jan 16;135(3):191-207. doi: 10.1182/blood.2019895326.