• 文献检索
  • 文档翻译
  • 深度研究
  • 学术资讯
  • Suppr Zotero 插件Zotero 插件
  • 邀请有礼
  • 套餐&价格
  • 历史记录
应用&插件
Suppr Zotero 插件Zotero 插件浏览器插件Mac 客户端Windows 客户端微信小程序
定价
高级版会员购买积分包购买API积分包
服务
文献检索文档翻译深度研究API 文档MCP 服务
关于我们
关于 Suppr公司介绍联系我们用户协议隐私条款
关注我们

Suppr 超能文献

核心技术专利:CN118964589B侵权必究
粤ICP备2023148730 号-1Suppr @ 2026

文献检索

告别复杂PubMed语法,用中文像聊天一样搜索,搜遍4000万医学文献。AI智能推荐,让科研检索更轻松。

立即免费搜索

文件翻译

保留排版,准确专业,支持PDF/Word/PPT等文件格式,支持 12+语言互译。

免费翻译文档

深度研究

AI帮你快速写综述,25分钟生成高质量综述,智能提取关键信息,辅助科研写作。

立即免费体验

含有 Sr-生物活性玻璃纳米颗粒、磷酸钙和穿心莲内酯的正畸粘结剂的物理/力学和抗菌性能。

Physical/mechanical and antibacterial properties of orthodontic adhesives containing Sr-bioactive glass nanoparticles, calcium phosphate, and andrographolide.

机构信息

Division of Orthodontics, Faculty of Dentistry, Thammasat University, Pathum Thani, 12120, Thailand.

Division of Oral Biology, Faculty of Dentistry, Thammasat University, Pathum Thani, 12120, Thailand.

出版信息

Sci Rep. 2022 Apr 22;12(1):6635. doi: 10.1038/s41598-022-10654-6.

DOI:10.1038/s41598-022-10654-6
PMID:35459791
原文链接:https://pmc.ncbi.nlm.nih.gov/articles/PMC9033772/
Abstract

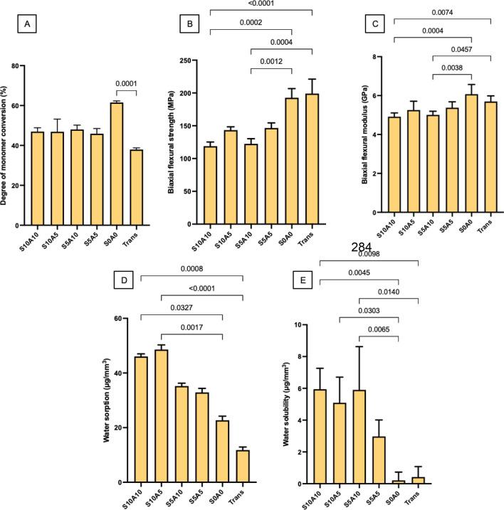
White spot lesions around orthodontic brackets are the major complication during fixed orthodontic treatment. This study prepared orthodontic adhesives for promoting mineral precipitation and reducing bacterial growth. Adhesives with added calcium phosphate monohydrate/Sr-bioactive glass nanoparticles (Sr/CaP) and andrographolide were prepared. The physical/mechanical and antibacterial properties of the adhesives were tested. The additives reduced the monomer conversion of the materials (62 to 47%). The addition of Sr/CaP and andrographolide increased the water sorption (from 23 to 46 μg/mm) and water solubility (from 0.2 to 5.9 μg/mm) but reduced the biaxial flexural strength (from 193 to 119 MPa) of the adhesives. The enamel bond strengths of the experimental adhesives (19-34 MPa) were comparable to that of the commercial material (p > 0.05). The Sr/CaP fillers promoted Ca, Sr, and P ion release and the precipitation of calcium phosphate at the debonded interface. An increase in the Sr/CaP concentration enhanced the inhibition of S. mutans by 18%, while the effect of andrographolide was not detected. The abilities of the adhesives to promote ion release, calcium phosphate precipitation, and the growth inhibition of cariogenic bacteria were expected to reduce the occurrence of white spot lesions. The additives reduced the physical/mechanical properties of the materials, but the corresponding values were within the acceptable range.

摘要

正畸托槽周围的白色斑点是固定正畸治疗中的主要并发症。本研究制备了促进矿物质沉淀和减少细菌生长的正畸胶粘剂。制备了添加磷酸氢钙/ Sr-生物活性玻璃纳米粒子(Sr/CaP)和穿心莲内酯的胶粘剂。测试了胶粘剂的物理/力学和抗菌性能。添加剂降低了材料的单体转化率(62%至 47%)。添加 Sr/CaP 和穿心莲内酯增加了吸水率(从 23 增加到 46μg/mm)和溶解度(从 0.2 增加到 5.9μg/mm),但降低了胶粘剂的双轴弯曲强度(从 193 降低到 119MPa)。实验用胶粘剂的牙釉质粘结强度(19-34MPa)与商业材料相当(p>0.05)。Sr/CaP 填料促进 Ca、Sr 和 P 离子释放,并在脱粘界面沉淀磷酸钙。Sr/CaP 浓度的增加将变形链球菌的抑制作用提高了 18%,而穿心莲内酯的作用未被检测到。胶粘剂促进离子释放、磷酸钙沉淀和致龋菌生长抑制的能力有望减少白色斑点的发生。添加剂降低了材料的物理/力学性能,但相应值在可接受范围内。

https://cdn.ncbi.nlm.nih.gov/pmc/blobs/8b38/9033772/8ed70df1b83b/41598_2022_10654_Fig6_HTML.jpg
https://cdn.ncbi.nlm.nih.gov/pmc/blobs/8b38/9033772/2656577dd5c6/41598_2022_10654_Fig1_HTML.jpg
https://cdn.ncbi.nlm.nih.gov/pmc/blobs/8b38/9033772/b419292bb26d/41598_2022_10654_Fig2_HTML.jpg
https://cdn.ncbi.nlm.nih.gov/pmc/blobs/8b38/9033772/f73cf33c5032/41598_2022_10654_Fig3_HTML.jpg
https://cdn.ncbi.nlm.nih.gov/pmc/blobs/8b38/9033772/6373177a8028/41598_2022_10654_Fig4_HTML.jpg
https://cdn.ncbi.nlm.nih.gov/pmc/blobs/8b38/9033772/eacf84c7a8e0/41598_2022_10654_Fig5_HTML.jpg
https://cdn.ncbi.nlm.nih.gov/pmc/blobs/8b38/9033772/8ed70df1b83b/41598_2022_10654_Fig6_HTML.jpg
https://cdn.ncbi.nlm.nih.gov/pmc/blobs/8b38/9033772/2656577dd5c6/41598_2022_10654_Fig1_HTML.jpg
https://cdn.ncbi.nlm.nih.gov/pmc/blobs/8b38/9033772/b419292bb26d/41598_2022_10654_Fig2_HTML.jpg
https://cdn.ncbi.nlm.nih.gov/pmc/blobs/8b38/9033772/f73cf33c5032/41598_2022_10654_Fig3_HTML.jpg
https://cdn.ncbi.nlm.nih.gov/pmc/blobs/8b38/9033772/6373177a8028/41598_2022_10654_Fig4_HTML.jpg
https://cdn.ncbi.nlm.nih.gov/pmc/blobs/8b38/9033772/eacf84c7a8e0/41598_2022_10654_Fig5_HTML.jpg
https://cdn.ncbi.nlm.nih.gov/pmc/blobs/8b38/9033772/8ed70df1b83b/41598_2022_10654_Fig6_HTML.jpg

相似文献

1
Physical/mechanical and antibacterial properties of orthodontic adhesives containing Sr-bioactive glass nanoparticles, calcium phosphate, and andrographolide.含有 Sr-生物活性玻璃纳米颗粒、磷酸钙和穿心莲内酯的正畸粘结剂的物理/力学和抗菌性能。
Sci Rep. 2022 Apr 22;12(1):6635. doi: 10.1038/s41598-022-10654-6.
2
Physical/Mechanical and Antibacterial Properties of Orthodontic Adhesives Containing Calcium Phosphate and Nisin.含磷酸钙和乳酸链球菌素的正畸粘合剂的物理/机械性能及抗菌性能
J Funct Biomater. 2021 Dec 10;12(4):73. doi: 10.3390/jfb12040073.
3
Antibacterial and remineralizing orthodontic adhesive containing quaternary ammonium resin monomer and amorphous calcium phosphate nanoparticles.含季铵树脂单体和无定形磷酸钙纳米颗粒的抗菌再矿化正畸胶粘剂。
J Dent. 2018 May;72:53-63. doi: 10.1016/j.jdent.2018.03.004. Epub 2018 Mar 10.
4
Novel multifunctional dental cement to prevent enamel demineralization near orthodontic brackets.新型多功能牙科粘结剂预防正畸托槽周围釉质脱矿
J Dent. 2017 Sep;64:58-67. doi: 10.1016/j.jdent.2017.06.004. Epub 2017 Jun 20.
5
Application of Silver Nanoparticles to Improve the Antibacterial Activity of Orthodontic Adhesives: An In Vitro Study.银纳米粒子在提高正畸胶粘剂抗菌活性中的应用:一项体外研究。
Int J Mol Sci. 2023 Jan 11;24(2):1401. doi: 10.3390/ijms24021401.
6
Polymerisation, antibacterial and bioactivity properties of experimental orthodontic adhesives containing triclosan-loaded halloysite nanotubes.载三氯生多孔硅纳米管的实验性正畸粘接剂的聚合、抗菌和生物活性性能。
J Dent. 2018 Feb;69:77-82. doi: 10.1016/j.jdent.2017.11.002. Epub 2017 Nov 7.
7
Formulation and characterization of experimental orthodontic adhesive containing antibacterial dimethacrylate DABCO monomers: An in vitro study.含抗菌二甲基丙烯酸酯 DABCO 单体的实验性正畸胶粘剂的配方和特性:一项体外研究。
Int Orthod. 2022 Dec;20(4):100706. doi: 10.1016/j.ortho.2022.100706. Epub 2022 Oct 19.
8
Evaluation of the antibacterial activity of a conventional orthodontic composite containing silver/hydroxyapatite nanoparticles.含银/羟基磷灰石纳米颗粒的传统正畸复合材料抗菌活性评估
Prog Orthod. 2016 Dec;17(1):40. doi: 10.1186/s40510-016-0153-x. Epub 2016 Dec 12.
9
Assessment of physical/mechanical properties and cytotoxicity of dual-cured resin cements containing Sr-bioactive glass nanoparticles and calcium phosphate.评估含 Sr-生物活性玻璃纳米粒子和磷酸钙的双固化树脂水门汀的物理/力学性能和细胞毒性。
Dent Mater J. 2023 Nov 29;42(6):806-817. doi: 10.4012/dmj.2023-127. Epub 2023 Oct 25.
10
Antibacterial orthodontic cement to combat biofilm and white spot lesions.用于对抗生物膜和白斑病变的抗菌正畸粘固剂。
Am J Orthod Dentofacial Orthop. 2015 Dec;148(6):974-81. doi: 10.1016/j.ajodo.2015.06.017.

引用本文的文献

1
Effects of Sr/F-bioactive glass nanoparticles on pH, elemental release, dentin remineralisation, and cytotoxicity of 1.1% NaF toothpaste.锶/氟生物活性玻璃纳米颗粒对1.1%氟化钠牙膏的pH值、元素释放、牙本质再矿化及细胞毒性的影响
Biomater Investig Dent. 2025 Jul 22;12:44239. doi: 10.2340/biid.v12.44239. eCollection 2025.
2
The assessment of the degree of monomer conversion, biaxial flexural strength, and mineral precipitation on demineralised dentine of novel resin composite containing monocalcium phosphate monohydrate and polylysine.对含有一水磷酸二氢钙和聚赖氨酸的新型树脂复合材料在脱矿牙本质上的单体转化率、双轴弯曲强度和矿物质沉淀程度的评估。
Biomater Investig Dent. 2025 Aug 20;12:44551. doi: 10.2340/biid.v12.44551. eCollection 2025.
3

本文引用的文献

1
Sol-gel bioactive glass containing biomaterials for restorative dentistry: A review.用于口腔修复学的含溶胶-凝胶生物活性玻璃的生物材料:综述
Dent Mater. 2022 May;38(5):725-747. doi: 10.1016/j.dental.2022.02.011. Epub 2022 Mar 14.
2
Physical/Mechanical and Antibacterial Properties of Orthodontic Adhesives Containing Calcium Phosphate and Nisin.含磷酸钙和乳酸链球菌素的正畸粘合剂的物理/机械性能及抗菌性能
J Funct Biomater. 2021 Dec 10;12(4):73. doi: 10.3390/jfb12040073.
3
Inhibitory effect of a gel paste containing surface pre-reacted glass-ionomer (S-PRG) filler on the cariogenicity of Streptococcus mutans.
evaluation of bond strength and antibacterial activity of newly developed orthodontic self-adhesive resins (a pilot study).新型正畸自粘树脂粘结强度及抗菌活性的评估(一项初步研究)
J Orthod Sci. 2025 Jun 10;14:18. doi: 10.4103/jos.jos_145_24. eCollection 2025.
4
Effect of bioactive glass toothpaste on the white spots around orthodontic brackets: A systematic review and meta-analysis.生物活性玻璃牙膏对正畸托槽周围白斑的影响:一项系统评价与Meta分析
J Dent Res Dent Clin Dent Prospects. 2025 Mar 31;19(1):9-17. doi: 10.34172/joddd.025.41686. eCollection 2025 Mar.
5
The Evaluation of Degree of Monomer Conversion, Biaxial Flexural Strength, and Surface Mineral Precipitation of Orthodontic Adhesive Containing Sr-Bioactive Glass Nanoparticles, Calcium Phosphate, and Andrographolide.含锶生物活性玻璃纳米颗粒、磷酸钙和穿心莲内酯的正畸粘合剂的单体转化率、双轴弯曲强度及表面矿物沉淀的评估
Materials (Basel). 2025 May 14;18(10):2278. doi: 10.3390/ma18102278.
6
The in vitro assessment of resin coating materials containing calcium phosphate, bioactive glass, and polylysine for glass ionomer cement restorations.含磷酸钙、生物活性玻璃和聚赖氨酸的树脂涂层材料用于玻璃离子水门汀修复体的体外评估。
Biomater Investig Dent. 2025 Jan 14;12:42783. doi: 10.2340/biid.v12.42783. eCollection 2025.
7
Functional modification and antibacterial evaluation of orthodontic adhesives with poly (lysine)-derived carbon dots.聚(赖氨酸)衍生碳点对正畸粘合剂的功能改性及抗菌性能评价
RSC Adv. 2025 Feb 20;15(8):5876-5888. doi: 10.1039/d4ra08710k. eCollection 2025 Feb 19.
8
Binary Doping of Strontium-Magnesium to Bioactive Glasses to Enhance Antibacterial and Osteogenic Effects.锶 - 镁二元掺杂生物活性玻璃以增强抗菌和成骨作用
ACS Omega. 2024 Dec 24;10(1):215-229. doi: 10.1021/acsomega.4c04898. eCollection 2025 Jan 14.
9
Enhancing elemental release and antibacterial properties of resin-based dental sealants with calcium phosphate, bioactive glass, and polylysine.通过磷酸钙、生物活性玻璃和聚赖氨酸增强树脂基牙科密封剂的元素释放和抗菌性能。
BMC Oral Health. 2025 Jan 18;25(1):96. doi: 10.1186/s12903-025-05489-2.
10
Dynamics of the oral microbiome during orthodontic treatment and antimicrobial advances for orthodontic appliances.正畸治疗期间口腔微生物群的动态变化及正畸矫治器的抗菌进展
iScience. 2024 Nov 22;27(12):111458. doi: 10.1016/j.isci.2024.111458. eCollection 2024 Dec 20.
含表面预反应玻璃离子(S-PRG)填料的凝胶膏对变形链球菌致龋性的抑制作用。
Sci Rep. 2021 Dec 6;11(1):23495. doi: 10.1038/s41598-021-02924-6.
4
Ultrastructural and physicochemical characterization of pH receptive chlorhexidine-loaded poly-L-glycolic acid-modified orthodontic adhesive.pH 响应性氯己定载聚-L-丙交酯修饰正畸胶粘剂的超微结构和物理化学特性。
Microsc Res Tech. 2022 Mar;85(3):996-1004. doi: 10.1002/jemt.23968. Epub 2021 Oct 30.
5
The efficacy of fluoride varnish vs a filled resin sealant for preventing white spot lesions during orthodontic treatment.氟化物涂料与填充型树脂密封剂预防正畸治疗中釉白斑的疗效比较。
Angle Orthod. 2022 Mar 1;92(2):204-212. doi: 10.2319/052521-418.1.
6
Monomer Conversion, Dimensional Stability, Biaxial Flexural Strength, Ion Release, and Cytotoxicity of Resin-Modified Glass Ionomer Cements Containing Methacrylate-Functionalized Polyacids and Spherical Pre-Reacted Glass Fillers.含甲基丙烯酸酯官能化多元酸和球形预反应玻璃填料的树脂改性玻璃离子水门汀的单体转化率、尺寸稳定性、双轴弯曲强度、离子释放及细胞毒性
Polymers (Basel). 2021 Aug 16;13(16):2742. doi: 10.3390/polym13162742.
7
Analysis of Chlorhexidine Modified Cement in Orthodontic Patients: A Double-Blinded, Randomized, Controlled Trial.正畸患者中洗必泰改性水门汀的分析:一项双盲、随机、对照试验
Eur J Dent. 2021 Oct;15(4):639-646. doi: 10.1055/s-0041-1727556. Epub 2021 Aug 24.
8
Methacrylate peak determination and selection recommendations using ATR-FTIR to investigate polymerisation of dental methacrylate mixtures.使用衰减全反射傅里叶变换红外光谱法(ATR-FTIR)测定甲基丙烯酸盐峰值并进行选择建议,以研究牙科甲基丙烯酸盐混合物的聚合反应。
PLoS One. 2021 Jun 9;16(6):e0252999. doi: 10.1371/journal.pone.0252999. eCollection 2021.
9
In Vitro Evaluation of Structural Factors Favouring Bacterial Adhesion on Orthodontic Adhesive Resins.有利于细菌在正畸粘结树脂上粘附的结构因素的体外评估
Materials (Basel). 2021 May 11;14(10):2485. doi: 10.3390/ma14102485.
10
Effects of strontium ions with potential antibacterial activity on in vivo bone regeneration.具有潜在抗菌活性的锶离子对体内骨再生的影响。
Sci Rep. 2021 Apr 22;11(1):8745. doi: 10.1038/s41598-021-88058-1.