Suppr超能文献

2019年冠状病毒病院内死亡率两步预测风险分层模型的开发与验证:一项多中心回顾性队列研究

Development and Validation of a Two-Step Predictive Risk Stratification Model for Coronavirus Disease 2019 In-hospital Mortality: A Multicenter Retrospective Cohort Study.

作者信息

Li Yang, Kong Yanlei, Ebell Mark H, Martinez Leonardo, Cai Xinyan, Lennon Robert P, Tarn Derjung M, Mainous Arch G, Zgierska Aleksandra E, Barrett Bruce, Tuan Wen-Jan, Maloy Kevin, Goyal Munish, Krist Alex H, Gal Tamas S, Sung Meng-Hsuan, Li Changwei, Jin Yier, Shen Ye

机构信息

Center for Applied Statistics and School of Statistics, Renmin University of China, Beijing, China.

RSS and China-Re Life Joint Lab on Public Health and Risk Management, Renmin University of China, Beijing, China.

出版信息

Front Med (Lausanne). 2022 Apr 7;9:827261. doi: 10.3389/fmed.2022.827261. eCollection 2022.

Abstract

OBJECTIVES

An accurate prognostic score to predict mortality for adults with COVID-19 infection is needed to understand who would benefit most from hospitalizations and more intensive support and care. We aimed to develop and validate a two-step score system for patient triage, and to identify patients at a relatively low level of mortality risk using easy-to-collect individual information.

DESIGN

Multicenter retrospective observational cohort study.

SETTING

Four health centers from Virginia Commonwealth University, Georgetown University, the University of Florida, and the University of California, Los Angeles.

PATIENTS

Coronavirus Disease 2019-confirmed and hospitalized adult patients.

MEASUREMENTS AND MAIN RESULTS

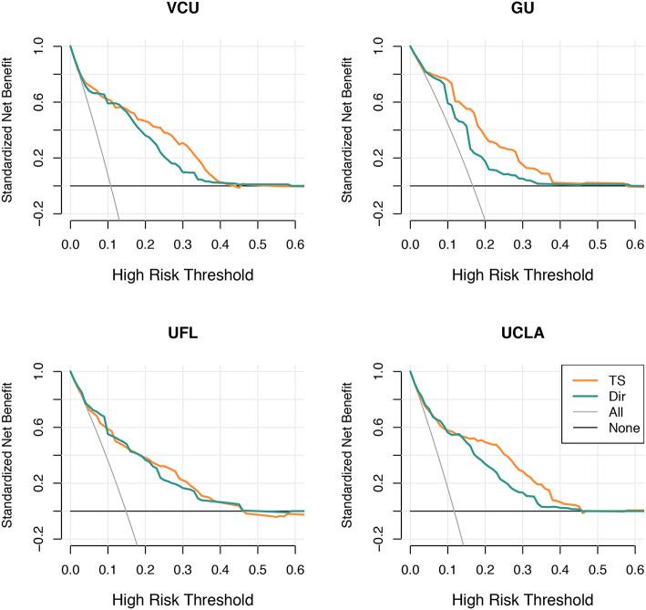
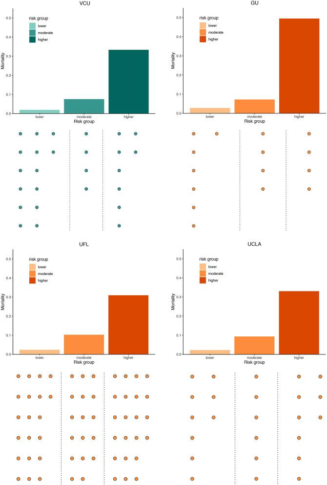
We included 1,673 participants from Virginia Commonwealth University (VCU) as the derivation cohort. Risk factors for in-hospital death were identified using a multivariable logistic model with variable selection procedures after repeated missing data imputation. A two-step risk score was developed to identify patients at lower, moderate, and higher mortality risk. The first step selected increasing age, more than one pre-existing comorbidities, heart rate >100 beats/min, respiratory rate ≥30 breaths/min, and SpO <93% into the predictive model. Besides age and SpO, the second step used blood urea nitrogen, absolute neutrophil count, C-reactive protein, platelet count, and neutrophil-to-lymphocyte ratio as predictors. C-statistics reflected very good discrimination with internal validation at VCU (0.83, 95% CI 0.79-0.88) and external validation at the other three health systems (range, 0.79-0.85). A one-step model was also derived for comparison. Overall, the two-step risk score had better performance than the one-step score.

CONCLUSIONS

The two-step scoring system used widely available, point-of-care data for triage of COVID-19 patients and is a potentially time- and cost-saving tool in practice.

摘要

目的

需要一个准确的预后评分来预测成人新冠病毒感染患者的死亡率,以便了解哪些患者能从住院治疗以及更强化的支持和护理中获益最多。我们旨在开发并验证一种用于患者分诊的两步评分系统,并利用易于收集的个体信息识别死亡风险相对较低的患者。

设计

多中心回顾性观察队列研究。

地点

弗吉尼亚联邦大学、乔治敦大学、佛罗里达大学和加利福尼亚大学洛杉矶分校的四个健康中心。

患者

2019年冠状病毒病确诊并住院的成年患者。

测量指标及主要结果

我们纳入了来自弗吉尼亚联邦大学(VCU)的1673名参与者作为推导队列。在重复进行缺失数据插补后,使用带有变量选择程序的多变量逻辑模型确定院内死亡的危险因素。开发了一个两步风险评分来识别低、中、高死亡风险的患者。第一步将年龄增加、存在一种以上基础合并症、心率>100次/分钟、呼吸频率≥30次/分钟和血氧饱和度<93%纳入预测模型。除年龄和血氧饱和度外,第二步将血尿素氮、绝对中性粒细胞计数、C反应蛋白、血小板计数和中性粒细胞与淋巴细胞比值作为预测指标。C统计量在VCU内部验证时显示出很好的区分度(0.83,95%CI 0.79-0.88),在其他三个卫生系统外部验证时(范围为0.79-0.85)也是如此。还推导了一个一步模型用于比较。总体而言,两步风险评分比一步评分表现更好。

结论

两步评分系统使用广泛可得的即时护理数据对新冠病毒感染患者进行分诊,在实践中是一种潜在的节省时间和成本的工具。

https://cdn.ncbi.nlm.nih.gov/pmc/blobs/9c23/9021426/c291928bafc9/fmed-09-827261-g0001.jpg

文献AI研究员

20分钟写一篇综述,助力文献阅读效率提升50倍。

立即体验

用中文搜PubMed

大模型驱动的PubMed中文搜索引擎

马上搜索

文档翻译

学术文献翻译模型,支持多种主流文档格式。

立即体验