Suppr超能文献

[提取物名称]粗提物对雄性Wistar大鼠β-淀粉样蛋白1-42诱导的阿尔茨海默病的治疗作用:通过抑制血脂异常、全身炎症和氧化应激

Therapeutic effects of crude extracts of on beta-amyloid 1-42-induced Alzheimer's disease via suppression of dyslipidemia, systemic inflammation and oxidative stress in male Wistar Rats.

作者信息

Oyeleke Mosunmola Busayo, Oni Heritage Tolulope, Arokoyo Oluwatamilore Lois, Owoyele Bamidele Victor

机构信息

Department of Physiology, Faculty of Basic Medical Sciences, College of Medicine and Health Sciences, Afe Babalola University, P.M.B 5454, Ado-Ekiti, Nigeria.

Department of Physiology, Neuroscience and Inflammation Unit, Faculty of Basic Medical Sciences, University of Ilorin, P.M.B, 1515, Ilorin, Nigeria.

出版信息

Heliyon. 2022 Apr 9;8(4):e09255. doi: 10.1016/j.heliyon.2022.e09255. eCollection 2022 Apr.

Abstract

AIMS

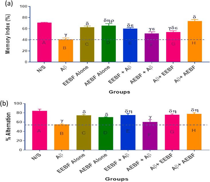
(BF), an African traditional plant and its species have been widely used as brain tonic for memory enhancement. It has also been reported to help relieve anxiety and some psychological disorders. This study aimed to investigate the mechanisms of action of BF on Amyloid beta (Aβ) 1-42 peptides induced cognitive deficit in male Wistar rats.

MAIN METHODS

A total of 48 healthy male wistar rats were used for this study. Some groups were pre-treated with 200 mg/kg of BF extracts before a single bilateral injection of Aβ 1-42 while some were post-treated with BF for 21 days after Aβ1-42 exposure. Cognitive performance was evaluated using Y-Maze and Novel Object recognition tests. After treatments, hippocampal homogenates were assayed for the levels of Acetylcholinesterase, Na-K/ATPase activities, glutamate and Aβ1-42 concentrations among others.

KEY FINDINGS

It was observed that Aβ1-42 caused cognitive impairment and BF extracts especially the ethanol extract was able to significantly (p < 0.05) reverse almost all the perturbations including lipid imbalance caused by Aβ1-42 assault mainly at the post-treatment level.

SIGNIFICANCE

Administration of ethanol and aqueous extracts of BF mitigated the hazardous effect of Aβ1-42 observed in the blood plasma and hippocampal homogenates. In this context, we conclude that BF is an efficient cognitive enhancer that can help alleviate some symptoms associated with Alzheimer's disease.

摘要

目的

(BF)是一种非洲传统植物,其各个品种已被广泛用作增强记忆力的补脑剂。据报道,它还有助于缓解焦虑和一些心理障碍。本研究旨在探讨BF对雄性Wistar大鼠中β淀粉样蛋白(Aβ)1-42肽诱导的认知缺陷的作用机制。

主要方法

本研究共使用了48只健康的雄性Wistar大鼠。在单次双侧注射Aβ 1-42之前,一些组用200mg/kg的BF提取物进行预处理,而一些组在暴露于Aβ1-42后用BF进行21天的后处理。使用Y迷宫和新物体识别测试评估认知表现。处理后,检测海马匀浆中乙酰胆碱酯酶、钠钾/ATP酶活性、谷氨酸和Aβ1-42浓度等水平。

主要发现

观察到Aβ1-42导致认知障碍,BF提取物尤其是乙醇提取物能够显著(p < 0.05)逆转几乎所有的干扰,包括主要在处理后水平由Aβ1-42攻击引起的脂质失衡。

意义

给予BF的乙醇提取物和水提取物减轻了在血浆和海马匀浆中观察到的Aβ1-42的有害作用。在此背景下,我们得出结论,BF是一种有效的认知增强剂,可有助于缓解与阿尔茨海默病相关的一些症状。

https://cdn.ncbi.nlm.nih.gov/pmc/blobs/0b45/9026591/c7af2cf1e335/ga1.jpg

文献AI研究员

20分钟写一篇综述,助力文献阅读效率提升50倍。

立即体验

用中文搜PubMed

大模型驱动的PubMed中文搜索引擎

马上搜索

文档翻译

学术文献翻译模型,支持多种主流文档格式。

立即体验