• 文献检索
  • 文档翻译
  • 深度研究
  • 学术资讯
  • Suppr Zotero 插件Zotero 插件
  • 邀请有礼
  • 套餐&价格
  • 历史记录
应用&插件
Suppr Zotero 插件Zotero 插件浏览器插件Mac 客户端Windows 客户端微信小程序
定价
高级版会员购买积分包购买API积分包
服务
文献检索文档翻译深度研究API 文档MCP 服务
关于我们
关于 Suppr公司介绍联系我们用户协议隐私条款
关注我们

Suppr 超能文献

核心技术专利:CN118964589B侵权必究
粤ICP备2023148730 号-1Suppr @ 2026

文献检索

告别复杂PubMed语法,用中文像聊天一样搜索,搜遍4000万医学文献。AI智能推荐,让科研检索更轻松。

立即免费搜索

文件翻译

保留排版,准确专业,支持PDF/Word/PPT等文件格式,支持 12+语言互译。

免费翻译文档

深度研究

AI帮你快速写综述,25分钟生成高质量综述,智能提取关键信息,辅助科研写作。

立即免费体验

使用连续流微流体样品输送装置进行混合和喷射分析。

Mixing and jetting analysis using continuous flow microfluidic sample delivery devices.

作者信息

Hejazian Majid, Darmanin Connie, Balaur Eugeniu, Abbey Brian

机构信息

ARC Centre of Excellence in Advanced Molecular Imaging, Department of Chemistry and Physics, La Trobe Institute for Molecular Sciences, La Trobe University VIC 3086 Australia

出版信息

RSC Adv. 2020 Apr 21;10(27):15694-15701. doi: 10.1039/d0ra00232a.

DOI:10.1039/d0ra00232a
PMID:35493684
原文链接:https://pmc.ncbi.nlm.nih.gov/articles/PMC9052392/
Abstract

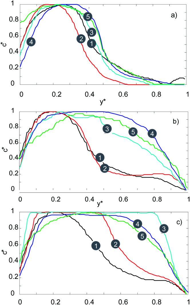
Serial femtosecond crystallography (SFX) methods used at X-ray free electron lasers (XFELs) offer a range of new opportunities for structural biology. A crucial component of SFX experiments is sample delivery. Microfluidic devices can be employed in SFX experiments to precisely deliver microcrystals to the X-ray beam and to trigger molecular dynamics rapid mix-and-inject measurements. Here, for the first time, we have developed a process based on high-resolution photolithography using SU8 on glass to fabricate microfluidic mix-and-inject devices. In order to characterise these devices a broad range of flow rates are used and the mixing and jetting response of the devices monitored. We observe that a stable jet is formed using these devices when injecting DI-water. Three different jetting regimes, liquid column, ribbon, and cylindrical jet, were observed. Furthermore, fluorescence experiments confirm that rapid and uniform mixing of the two injected solutions is possible using these devices indicating that they could be used to probe molecular dynamics on sub-microsecond timescales.

摘要

在X射线自由电子激光(XFEL)上使用的串行飞秒晶体学(SFX)方法为结构生物学提供了一系列新机遇。SFX实验的一个关键组成部分是样品递送。微流控装置可用于SFX实验,以将微晶精确递送至X射线束,并触发分子动力学快速混合和注入测量。在此,我们首次开发了一种基于在玻璃上使用SU8进行高分辨率光刻的工艺,以制造微流控混合和注入装置。为了表征这些装置,使用了广泛的流速范围,并监测装置的混合和喷射响应。我们观察到,在注入去离子水时,使用这些装置会形成稳定的射流。观察到三种不同的喷射模式,即液柱、带状和圆柱形射流。此外,荧光实验证实,使用这些装置可以使两种注入溶液快速且均匀地混合,这表明它们可用于探测亚微秒时间尺度上的分子动力学。

https://cdn.ncbi.nlm.nih.gov/pmc/blobs/923d/9052392/e0676b0d2732/d0ra00232a-f8.jpg
https://cdn.ncbi.nlm.nih.gov/pmc/blobs/923d/9052392/dffc2ac59d05/d0ra00232a-f1.jpg
https://cdn.ncbi.nlm.nih.gov/pmc/blobs/923d/9052392/b41a67163218/d0ra00232a-f2.jpg
https://cdn.ncbi.nlm.nih.gov/pmc/blobs/923d/9052392/ab41bca9f8db/d0ra00232a-f3.jpg
https://cdn.ncbi.nlm.nih.gov/pmc/blobs/923d/9052392/3cd5d2523cd3/d0ra00232a-f4.jpg
https://cdn.ncbi.nlm.nih.gov/pmc/blobs/923d/9052392/3ea25386605b/d0ra00232a-f5.jpg
https://cdn.ncbi.nlm.nih.gov/pmc/blobs/923d/9052392/ce766cdcacc9/d0ra00232a-f6.jpg
https://cdn.ncbi.nlm.nih.gov/pmc/blobs/923d/9052392/71de2fce771d/d0ra00232a-f7.jpg
https://cdn.ncbi.nlm.nih.gov/pmc/blobs/923d/9052392/e0676b0d2732/d0ra00232a-f8.jpg
https://cdn.ncbi.nlm.nih.gov/pmc/blobs/923d/9052392/dffc2ac59d05/d0ra00232a-f1.jpg
https://cdn.ncbi.nlm.nih.gov/pmc/blobs/923d/9052392/b41a67163218/d0ra00232a-f2.jpg
https://cdn.ncbi.nlm.nih.gov/pmc/blobs/923d/9052392/ab41bca9f8db/d0ra00232a-f3.jpg
https://cdn.ncbi.nlm.nih.gov/pmc/blobs/923d/9052392/3cd5d2523cd3/d0ra00232a-f4.jpg
https://cdn.ncbi.nlm.nih.gov/pmc/blobs/923d/9052392/3ea25386605b/d0ra00232a-f5.jpg
https://cdn.ncbi.nlm.nih.gov/pmc/blobs/923d/9052392/ce766cdcacc9/d0ra00232a-f6.jpg
https://cdn.ncbi.nlm.nih.gov/pmc/blobs/923d/9052392/71de2fce771d/d0ra00232a-f7.jpg
https://cdn.ncbi.nlm.nih.gov/pmc/blobs/923d/9052392/e0676b0d2732/d0ra00232a-f8.jpg

相似文献

1
Mixing and jetting analysis using continuous flow microfluidic sample delivery devices.使用连续流微流体样品输送装置进行混合和喷射分析。
RSC Adv. 2020 Apr 21;10(27):15694-15701. doi: 10.1039/d0ra00232a.
2
Microfluidic sample delivery for serial crystallography using XFELs.微流控样品输送在使用 XFEL 进行串行晶体学中的应用。
Anal Bioanal Chem. 2019 Oct;411(25):6535-6547. doi: 10.1007/s00216-019-01977-x. Epub 2019 Jun 27.
3
3D printed droplet generation devices for serial femtosecond crystallography enabled by surface coating.通过表面涂层实现的用于串行飞秒晶体学的3D打印微滴生成装置
J Appl Crystallogr. 2019 Aug 29;52(Pt 5):997-1008. doi: 10.1107/S1600576719010343. eCollection 2019 Oct 1.
4
Serial femtosecond X-ray crystallography of an anaerobically formed catalytic intermediate of copper amine oxidase.铜胺氧化酶厌氧形成的催化中间产物的连续飞秒 X 射线晶体学研究。
Acta Crystallogr D Struct Biol. 2022 Dec 1;78(Pt 12):1428-1438. doi: 10.1107/S2059798322010385. Epub 2022 Nov 25.
5
Mix-and-Inject Serial Femtosecond Crystallography to Capture RNA Riboswitch Intermediates.混合注入式连续飞秒晶体学捕获 RNA 核糖开关中间态
Methods Mol Biol. 2023;2568:243-249. doi: 10.1007/978-1-0716-2687-0_16.
6
Mixing injector enables time-resolved crystallography with high hit rate at X-ray free electron lasers.混合注射器使 X 射线自由电子激光的时间分辨晶体学具有高命中率。
Struct Dyn. 2016 Aug 29;3(5):054301. doi: 10.1063/1.4961971. eCollection 2016 Sep.
7
Segmented flow generator for serial crystallography at the European X-ray free electron laser.用于欧洲 X 射线自由电子激光的串行晶体学的分段流发生器。
Nat Commun. 2020 Sep 9;11(1):4511. doi: 10.1038/s41467-020-18156-7.
8
Improving High Viscosity Extrusion of Microcrystals for Time-resolved Serial Femtosecond Crystallography at X-ray Lasers.改善微晶的高粘度挤出,用于X射线激光下的时间分辨串联飞秒晶体学。
J Vis Exp. 2019 Feb 28(144). doi: 10.3791/59087.
9
Ceramic micro-injection molded nozzles for serial femtosecond crystallography sample delivery.用于连续飞秒晶体学样品输送的陶瓷微注塑成型喷嘴。
Rev Sci Instrum. 2015 Dec;86(12):125104. doi: 10.1063/1.4936843.
10
Electrically stimulated droplet injector for reduced sample consumption in serial crystallography.用于串行晶体学中减少样品消耗的电刺激液滴注射器。
Biophys Rep (N Y). 2022 Sep 29;2(4):100081. doi: 10.1016/j.bpr.2022.100081. eCollection 2022 Dec 14.

引用本文的文献

1
Mix-and-extrude: high-viscosity sample injection towards time-resolved protein crystallography.混合与挤出:用于时间分辨蛋白质晶体学的高粘度样品注入
J Appl Crystallogr. 2023 Jun 12;56(Pt 4):1038-1045. doi: 10.1107/S1600576723004405. eCollection 2023 Aug 1.
2
Engraving of stainless-steel wires to improve optical quality of closed-loop wire-guided flow jet systems for optical and X-ray spectroscopy.对不锈钢丝进行刻蚀以提高用于光学和X射线光谱学的闭环丝引导流动射流系统的光学质量。
Front Mol Biosci. 2023 Jun 14;10:1079029. doi: 10.3389/fmolb.2023.1079029. eCollection 2023.
3
Modular droplet injector for sample conservation providing new structural insight for the conformational heterogeneity in the disease-associated NQO1 enzyme.

本文引用的文献

1
Modular microfluidics enables kinetic insight from time-resolved cryo-EM.模块化微流控技术可从时间分辨 cryo-EM 中获得动力学见解。
Nat Commun. 2020 Jul 10;11(1):3465. doi: 10.1038/s41467-020-17230-4.
2
3D-MiXD: 3D-printed X-ray-compatible microfluidic devices for rapid, low-consumption serial synchrotron crystallography data collection in flow.3D-MiXD:用于在流动状态下进行快速、低消耗系列同步加速器晶体学数据采集的3D打印X射线兼容微流控装置。
IUCrJ. 2020 Jan 16;7(Pt 2):207-219. doi: 10.1107/S2052252519016865. eCollection 2020 Mar 1.
3
On the competition between mixing rate and uniformity in a coaxial hydrodynamic focusing mixer.
用于样品保存的模块化液滴注射器,为疾病相关 NQO1 酶的构象异质性提供新的结构见解。
Lab Chip. 2023 Jun 28;23(13):3016-3033. doi: 10.1039/d3lc00176h.
4
Asymmetric Spray Characteristics According to Y-Jet Nozzle Orifice Shape and Spray Conditions.基于Y型喷嘴孔口形状和喷雾条件的不对称喷雾特性
ACS Omega. 2023 Apr 13;8(16):14490-14498. doi: 10.1021/acsomega.3c00016. eCollection 2023 Apr 25.
5
Numerical simulation and parameter optimization of micromixer device using fuzzy logic technique.基于模糊逻辑技术的微混合器装置数值模拟与参数优化
RSC Adv. 2023 Feb 2;13(7):4504-4522. doi: 10.1039/d2ra07992e. eCollection 2023 Jan 31.
6
Perspective: Structure determination of protein-ligand complexes at room temperature using X-ray diffraction approaches.观点:利用X射线衍射方法在室温下测定蛋白质-配体复合物的结构
Front Mol Biosci. 2023 Jan 23;10:1113762. doi: 10.3389/fmolb.2023.1113762. eCollection 2023.
7
Electrically stimulated droplet injector for reduced sample consumption in serial crystallography.用于串行晶体学中减少样品消耗的电刺激液滴注射器。
Biophys Rep (N Y). 2022 Sep 29;2(4):100081. doi: 10.1016/j.bpr.2022.100081. eCollection 2022 Dec 14.
8
Sieve-Like CNT Film Coupled with TiO Nanowire for High-Performance Continuous-Flow Photodegradation of Rhodamine B under Visible Light Irradiation.用于可见光照射下罗丹明B的高性能连续流光降解的筛状碳纳米管薄膜与TiO纳米线耦合
Nanomaterials (Basel). 2021 May 19;11(5):1335. doi: 10.3390/nano11051335.
9
Recent Advances and Future Perspectives on Microfluidic Mix-and-Jet Sample Delivery Devices.微流控混合喷射进样装置的最新进展与未来展望
Micromachines (Basel). 2021 May 7;12(5):531. doi: 10.3390/mi12050531.
10
MyD88 TIR domain higher-order assembly interactions revealed by microcrystal electron diffraction and serial femtosecond crystallography.微晶体电子衍射和连续飞秒晶体学揭示的 MyD88 TIR 结构域高阶组装相互作用。
Nat Commun. 2021 May 10;12(1):2578. doi: 10.1038/s41467-021-22590-6.
在同轴流体动力学聚焦混合器中混合速率与均匀性的竞争。
Anal Chim Acta. 2020 Mar 22;1103:1-10. doi: 10.1016/j.aca.2020.01.013. Epub 2020 Jan 8.
4
Ultracompact 3D microfluidics for time-resolved structural biology.用于时间分辨结构生物学的超紧凑 3D 微流控技术。
Nat Commun. 2020 Jan 31;11(1):657. doi: 10.1038/s41467-020-14434-6.
5
Microfluidic sample delivery for serial crystallography using XFELs.微流控样品输送在使用 XFEL 进行串行晶体学中的应用。
Anal Bioanal Chem. 2019 Oct;411(25):6535-6547. doi: 10.1007/s00216-019-01977-x. Epub 2019 Jun 27.
6
Microfluidic Mixing Injector Holder Enables Routine Structural Enzymology Measurements with Mix-and-Inject Serial Crystallography Using X-ray Free Electron Lasers.微流控混合注射器支架使使用 X 射线自由电子激光进行混合注入连续结晶学实验成为可能,从而实现常规结构酶学测量。
Anal Chem. 2019 Jun 4;91(11):7139-7144. doi: 10.1021/acs.analchem.9b00311. Epub 2019 May 22.
7
Time-Resolved Macromolecular Crystallography at Pulsed X-ray Sources.脉冲 X 射线源的时间分辨大分子晶体学。
Int J Mol Sci. 2019 Mar 20;20(6):1401. doi: 10.3390/ijms20061401.
8
Sample delivery for serial crystallography at free-electron lasers and synchrotrons.用于自由电子激光和同步加速器的串行晶体学的样品传输。
Acta Crystallogr D Struct Biol. 2019 Feb 1;75(Pt 2):178-191. doi: 10.1107/S205979831801567X. Epub 2019 Jan 9.
9
Strategies for sample delivery for femtosecond crystallography.飞秒晶体学样品传输策略。
Acta Crystallogr D Struct Biol. 2019 Feb 1;75(Pt 2):160-177. doi: 10.1107/S2059798318017953. Epub 2019 Feb 19.
10
3D Printed Microfluidic Mixers-A Comparative Study on Mixing Unit Performances.3D 打印微流控混合器-混合单元性能的比较研究。
Small. 2019 Jan;15(2):e1804326. doi: 10.1002/smll.201804326. Epub 2018 Dec 10.