• 文献检索
  • 文档翻译
  • 深度研究
  • 学术资讯
  • Suppr Zotero 插件Zotero 插件
  • 邀请有礼
  • 套餐&价格
  • 历史记录
应用&插件
Suppr Zotero 插件Zotero 插件浏览器插件Mac 客户端Windows 客户端微信小程序
定价
高级版会员购买积分包购买API积分包
服务
文献检索文档翻译深度研究API 文档MCP 服务
关于我们
关于 Suppr公司介绍联系我们用户协议隐私条款
关注我们

Suppr 超能文献

核心技术专利:CN118964589B侵权必究
粤ICP备2023148730 号-1Suppr @ 2026

文献检索

告别复杂PubMed语法,用中文像聊天一样搜索,搜遍4000万医学文献。AI智能推荐,让科研检索更轻松。

立即免费搜索

文件翻译

保留排版,准确专业,支持PDF/Word/PPT等文件格式,支持 12+语言互译。

免费翻译文档

深度研究

AI帮你快速写综述,25分钟生成高质量综述,智能提取关键信息,辅助科研写作。

立即免费体验

微小病变病与内皮糖萼降解及内皮激活相关。

Minimal Change Disease Is Associated With Endothelial Glycocalyx Degradation and Endothelial Activation.

作者信息

Bauer Colin, Piani Federica, Banks Mindy, Ordoñez Flor A, de Lucas-Collantes Carmen, Oshima Kaori, Schmidt Eric P, Zakharevich Igor, Segarra Alfons, Martinez Cristina, Roncal-Jimenez Carlos, Satchell Simon C, Bjornstad Petter, Lucia Marshall Scott, Blaine Judith, Thurman Joshua M, Johnson Richard J, Cara-Fuentes Gabriel

机构信息

Section of Pediatric Nephrology, Department of Pediatrics, Children's Hospital Colorado, Aurora, Colorado, USA.

Department of Medicine and Surgery Sciences, Alma Mater Studiorum University of Bologna, Bologna, Italy.

出版信息

Kidney Int Rep. 2021 Dec 16;7(4):797-809. doi: 10.1016/j.ekir.2021.11.037. eCollection 2022 Apr.

DOI:10.1016/j.ekir.2021.11.037
PMID:35497798
原文链接:https://pmc.ncbi.nlm.nih.gov/articles/PMC9039905/
Abstract

INTRODUCTION

Minimal change disease (MCD) is considered a podocyte disorder triggered by unknown circulating factors. Here, we hypothesized that the endothelial cell (EC) is also involved in MCD.

METHODS

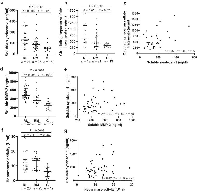
We studied 45 children with idiopathic nephrotic syndrome (44 had steroid sensitive nephrotic syndrome [SSNS], and 12 had biopsy-proven MCD), 21 adults with MCD, and 38 healthy controls (30 children, 8 adults). In circulation, we measured products of endothelial glycocalyx (EG) degradation (syndecan-1, heparan sulfate [HS] fragments), HS proteoglycan cleaving enzymes (matrix metalloprotease-2 [MMP-2], heparanase activity), and markers of endothelial activation (von Willebrand factor [vWF], thrombomodulin) by enzyme-linked immunosorbent assay (ELISA) and mass spectrometry. In human kidney tissue, we assessed glomerular EC (GEnC) activation by immunofluorescence of caveolin-1 ( 11 MCD, 5 controls). , we cultured immortalized human GEnC with sera from control subjects and patients with MCD/SSNS sera in relapse ( 5 per group) and performed Western blotting of thrombomodulin of cell lysates as surrogate marker of endothelial activation.

RESULTS

In circulation, median concentrations of all endothelial markers were higher in patients with active disease compared with controls and remained high in some patients during remission. In the MCD glomerulus, caveolin-1 expression was higher, in an endothelial-specific pattern, compared with controls. In cultured human GEnC, sera from children with MCD/SSNS in relapse increased thrombomodulin expression compared with control sera.

CONCLUSION

Our data show that alterations involving the systemic and glomerular endothelium are nearly universal in patients with MCD and SSNS, and that GEnC can be directly activated by circulating factors present in the MCD/SSNS sera during relapse.

摘要

引言

微小病变病(MCD)被认为是一种由未知循环因子引发的足细胞疾病。在此,我们推测内皮细胞(EC)也参与了MCD。

方法

我们研究了45例特发性肾病综合征患儿(44例为激素敏感型肾病综合征[SSNS],12例经活检证实为MCD)、21例成人MCD患者以及38名健康对照者(30名儿童,8名成人)。在循环系统中,我们通过酶联免疫吸附测定(ELISA)和质谱法测量内皮糖萼(EG)降解产物(syndecan-1、硫酸乙酰肝素[HS]片段)、HS蛋白聚糖裂解酶(基质金属蛋白酶-2 [MMP-2]、乙酰肝素酶活性)以及内皮激活标志物(血管性血友病因子[vWF]、血栓调节蛋白)。在人肾组织中,我们通过小窝蛋白-1免疫荧光法评估肾小球EC(GEnC)激活情况(11例MCD,5例对照)。此外,我们用对照受试者血清以及复发期MCD/SSNS患者血清培养永生化人GEnC(每组5例),并对细胞裂解物中的血栓调节蛋白进行蛋白质印迹分析,以此作为内皮激活的替代标志物。

结果

在循环系统中,与对照组相比,活动性疾病患者的所有内皮标志物中位浓度更高,且在部分患者缓解期仍保持较高水平。在MCD肾小球中,与对照组相比,小窝蛋白-1表达更高,呈内皮细胞特异性模式。在培养的人GEnC中,复发期MCD/SSNS患儿的血清与对照血清相比,血栓调节蛋白表达增加。

结论

我们的数据表明,MCD和SSNS患者几乎普遍存在涉及全身和肾小球内皮的改变,并且复发期MCD/SSNS血清中存在的循环因子可直接激活GEnC。

https://cdn.ncbi.nlm.nih.gov/pmc/blobs/6d6a/9039905/c5e8c8f49014/gr5.jpg
https://cdn.ncbi.nlm.nih.gov/pmc/blobs/6d6a/9039905/4dc770c1124a/fx1.jpg
https://cdn.ncbi.nlm.nih.gov/pmc/blobs/6d6a/9039905/20c687dbfe25/gr1.jpg
https://cdn.ncbi.nlm.nih.gov/pmc/blobs/6d6a/9039905/6e2cebf7f148/gr2.jpg
https://cdn.ncbi.nlm.nih.gov/pmc/blobs/6d6a/9039905/a16c3b5ac511/gr3.jpg
https://cdn.ncbi.nlm.nih.gov/pmc/blobs/6d6a/9039905/7d5aaa78b65a/gr4.jpg
https://cdn.ncbi.nlm.nih.gov/pmc/blobs/6d6a/9039905/c5e8c8f49014/gr5.jpg
https://cdn.ncbi.nlm.nih.gov/pmc/blobs/6d6a/9039905/4dc770c1124a/fx1.jpg
https://cdn.ncbi.nlm.nih.gov/pmc/blobs/6d6a/9039905/20c687dbfe25/gr1.jpg
https://cdn.ncbi.nlm.nih.gov/pmc/blobs/6d6a/9039905/6e2cebf7f148/gr2.jpg
https://cdn.ncbi.nlm.nih.gov/pmc/blobs/6d6a/9039905/a16c3b5ac511/gr3.jpg
https://cdn.ncbi.nlm.nih.gov/pmc/blobs/6d6a/9039905/7d5aaa78b65a/gr4.jpg
https://cdn.ncbi.nlm.nih.gov/pmc/blobs/6d6a/9039905/c5e8c8f49014/gr5.jpg

相似文献

1
Minimal Change Disease Is Associated With Endothelial Glycocalyx Degradation and Endothelial Activation.微小病变病与内皮糖萼降解及内皮激活相关。
Kidney Int Rep. 2021 Dec 16;7(4):797-809. doi: 10.1016/j.ekir.2021.11.037. eCollection 2022 Apr.
2
Pulmonary surfactants and the respiratory-renal connection in steroid-sensitive nephrotic syndrome of childhood.儿童类固醇敏感性肾病综合征中的肺表面活性剂与呼吸-肾脏联系
iScience. 2022 Jun 30;25(8):104694. doi: 10.1016/j.isci.2022.104694. eCollection 2022 Aug 19.
3
Toll-like receptor 3 (TLR-3), TLR-4 and CD80 expression in peripheral blood mononuclear cells and urinary CD80 levels in children with idiopathic nephrotic syndrome.特发性肾病综合征患儿外周血单个核细胞中Toll样受体3(TLR-3)、TLR-4及CD80的表达以及尿CD80水平
Pediatr Nephrol. 2017 Aug;32(8):1355-1361. doi: 10.1007/s00467-017-3613-8. Epub 2017 Feb 16.
4
High glucose causes dysfunction of the human glomerular endothelial glycocalyx.高血糖导致人肾小球内皮糖萼功能障碍。
Am J Physiol Renal Physiol. 2011 Jan;300(1):F40-8. doi: 10.1152/ajprenal.00103.2010. Epub 2010 Oct 27.
5
Heparanase activity is dysregulated in children with steroid-sensitive nephrotic syndrome.硫酸乙酰肝素酶活性在激素敏感型肾病综合征患儿中失调。
Kidney Int. 2005 Jan;67(1):122-9. doi: 10.1111/j.1523-1755.2005.00062.x.
6
Urinary cytokines and steroid responsiveness in idiopathic nephrotic syndrome of childhood.儿童特发性肾病综合征中的尿细胞因子与类固醇反应性
Am J Nephrol. 2008;28(1):83-90. doi: 10.1159/000109396. Epub 2007 Oct 3.
7
β1-Integrin blockade prevents podocyte injury in experimental models of minimal change disease.β1 整合素阻断可预防微小病变性肾病实验模型中的足细胞损伤。
Nefrologia (Engl Ed). 2024 Jan-Feb;44(1):90-99. doi: 10.1016/j.nefroe.2023.04.003. Epub 2023 May 5.
8
A high admission syndecan-1 level, a marker of endothelial glycocalyx degradation, is associated with inflammation, protein C depletion, fibrinolysis, and increased mortality in trauma patients.血清透明质酸酶-1 水平升高,提示血管内皮糖萼降解,与创伤患者的炎症、蛋白 C 耗竭、纤维蛋白溶解和死亡率增加有关。
Ann Surg. 2011 Aug;254(2):194-200. doi: 10.1097/SLA.0b013e318226113d.
9
Matrix metalloproteinase 9-mediated shedding of syndecan 4 in response to tumor necrosis factor α: a contributor to endothelial cell glycocalyx dysfunction.基质金属蛋白酶9介导的Syndecan 4因肿瘤坏死因子α刺激而脱落:内皮细胞糖萼功能障碍的一个促成因素。
FASEB J. 2014 Nov;28(11):4686-99. doi: 10.1096/fj.14-252221. Epub 2014 Aug 13.
10
Cell biology and genetics of minimal change disease.微小病变病的细胞生物学与遗传学
F1000Res. 2016 Mar 30;5. doi: 10.12688/f1000research.7300.1. eCollection 2016.

引用本文的文献

1
Serum Syndecan-1 is Associated With Kidney and Cardiovascular Outcomes in Idiopathic Nephrotic Syndrome.血清Syndecan-1与特发性肾病综合征的肾脏和心血管结局相关。
Kidney Int Rep. 2025 May 6;10(8):2732-2740. doi: 10.1016/j.ekir.2025.04.055. eCollection 2025 Aug.
2
Renal Function and the Role of the Renin-Angiotensin-Aldosterone System (RAAS) in Normal Pregnancy and Pre-Eclampsia.肾功能以及肾素-血管紧张素-醛固酮系统(RAAS)在正常妊娠和子痫前期中的作用。
J Clin Med. 2025 Jan 29;14(3):892. doi: 10.3390/jcm14030892.
3
Modeling a biofluid-derived extracellular vesicle surface signature to differentiate pediatric idiopathic nephrotic syndrome clinical subgroups.

本文引用的文献

1
Endothelial Endothelin Receptor A Expression Is Associated With Podocyte Injury and Oxidative Stress in Patients With Focal Segmental Glomerulosclerosis.内皮素A受体在内皮细胞中的表达与局灶节段性肾小球硬化患者的足细胞损伤及氧化应激相关。
Kidney Int Rep. 2021 Apr 22;6(7):1939-1948. doi: 10.1016/j.ekir.2021.04.013. eCollection 2021 Jul.
2
Case Report: Novel Dietary Supplementation Associated With Kidney Recovery and Reduction in Proteinuria in a Dialysis Dependent Patient Secondary to Steroid Resistant Minimal Change Disease.病例报告:新型饮食补充剂与一名因激素抵抗性微小病变病而依赖透析的患者的肾脏恢复及蛋白尿减少相关。
Front Pediatr. 2021 May 4;9:614948. doi: 10.3389/fped.2021.614948. eCollection 2021.
3
建立一种基于生物流体衍生的细胞外囊泡表面特征的模型,以区分小儿特发性肾病综合征的临床亚群。
Sci Rep. 2024 Oct 28;14(1):25765. doi: 10.1038/s41598-024-76727-w.
4
Persistent proteinuria is associated with the occurrence of cardiovascular disease: a nationwide population-based cohort study.持续性蛋白尿与心血管疾病的发生有关:一项全国范围内基于人群的队列研究。
Sci Rep. 2024 Oct 25;14(1):25376. doi: 10.1038/s41598-024-75384-3.
5
Nonlinear association between atherogenic index of plasma and chronic kidney disease: a nationwide cross-sectional study.血浆致动脉粥样硬化指数与慢性肾脏病的非线性关联:一项全国性横断面研究。
Lipids Health Dis. 2024 Sep 27;23(1):312. doi: 10.1186/s12944-024-02288-6.
6
Association of serum syndecan-1 concentrations with albuminuria in type 2 diabetes.血清 syndecan-1 浓度与 2 型糖尿病患者蛋白尿的相关性。
Diab Vasc Dis Res. 2024 Jul-Aug;21(4):14791641241278362. doi: 10.1177/14791641241278362.
7
Glucocorticoid- and pioglitazone-induced proteinuria reduction in experimental NS both correlate with glomerular ECM modulation.糖皮质激素和吡格列酮诱导实验性肾病综合征蛋白尿减少均与肾小球细胞外基质调节相关。
iScience. 2023 Dec 2;27(1):108631. doi: 10.1016/j.isci.2023.108631. eCollection 2024 Jan 19.
8
Therapeutic strategies targeting the endothelial glycocalyx.靶向内皮糖萼的治疗策略。
Curr Opin Clin Nutr Metab Care. 2023 Nov 1;26(6):543-550. doi: 10.1097/MCO.0000000000000973. Epub 2023 Aug 9.
9
Recent Advances in Proteinuric Kidney Disease/Nephrotic Syndrome: Lessons from Knockout/Transgenic Mouse Models.蛋白尿性肾病/肾病综合征的最新进展:基因敲除/转基因小鼠模型的经验教训
Biomedicines. 2023 Jun 23;11(7):1803. doi: 10.3390/biomedicines11071803.
10
Caveolin-1 in situ expression in glomerular and peritubular capillaries as a marker of ultrastructural progression and severity of renal thrombotic microangiopathy.足细胞和小管周毛细血管腔膜窖蛋白-1的原位表达作为肾血栓性微血管病超微结构进展和严重程度的标志物。
J Nephrol. 2023 Nov;36(8):2327-2333. doi: 10.1007/s40620-023-01645-5. Epub 2023 Jul 22.
Glomerular Endothelial Cells as Instigators of Glomerular Sclerotic Diseases.
肾小球内皮细胞作为肾小球硬化性疾病的引发因素
Front Pharmacol. 2020 Oct 6;11:573557. doi: 10.3389/fphar.2020.573557. eCollection 2020.
4
Complexities of the glomerular basement membrane.肾小球基底膜的复杂性。
Nat Rev Nephrol. 2021 Feb;17(2):112-127. doi: 10.1038/s41581-020-0329-y. Epub 2020 Aug 24.
5
Podocytopathies.足细胞病。
Nat Rev Dis Primers. 2020 Aug 13;6(1):68. doi: 10.1038/s41572-020-0196-7.
6
Sera From Patients With Minimal Change Disease Increase Endothelial Permeability to Sodium.微小病变病患者的血清增加内皮细胞对钠的通透性。
Kidney Int Rep. 2020 Apr 20;5(7):1071-1075. doi: 10.1016/j.ekir.2020.04.010. eCollection 2020 Jul.
7
Endotheliopathy in COVID-19-associated coagulopathy: evidence from a single-centre, cross-sectional study.新型冠状病毒肺炎相关凝血病中的内皮病变:来自一项单中心横断面研究的证据
Lancet Haematol. 2020 Aug;7(8):e575-e582. doi: 10.1016/S2352-3026(20)30216-7. Epub 2020 Jun 30.
8
Glomerular endothelial cells and podocytes can express CD80 in patients with minimal change disease during relapse.微小病变病复发患者的肾小球内皮细胞和足细胞可表达CD80。
Pediatr Nephrol. 2020 Oct;35(10):1887-1896. doi: 10.1007/s00467-020-04541-3. Epub 2020 May 12.
9
Ultrastructural Characterization of Proteinuric Patients Predicts Clinical Outcomes.蛋白尿患者的超微结构特征可预测临床结局。
J Am Soc Nephrol. 2020 Apr;31(4):841-854. doi: 10.1681/ASN.2019080825. Epub 2020 Feb 21.
10
The Pathological Relevance of Increased Endothelial Glycocalyx Permeability.内皮糖萼通透性增加的病理相关性。
Am J Pathol. 2020 Apr;190(4):742-751. doi: 10.1016/j.ajpath.2019.11.015. Epub 2020 Feb 6.