Suppr超能文献

基于过渡金属-芳烃体系的有机金属化合物作为抗癌剂的研究范围:从经典范式到靶向多种策略。

Scope of organometallic compounds based on transition metal-arene systems as anticancer agents: starting from the classical paradigm to targeting multiple strategies.

作者信息

Zaki Mehvash, Hairat Suboot, Aazam Elham S

机构信息

Department of Chemistry, King Abdulaziz University Jeddah Saudia Arabia

Department of Biotechnology, Wachemo University Hossana Ethiopia.

出版信息

RSC Adv. 2019 Jan 24;9(6):3239-3278. doi: 10.1039/c8ra07926a. eCollection 2019 Jan 22.

Abstract

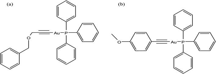
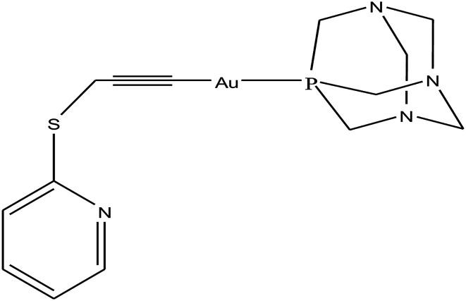
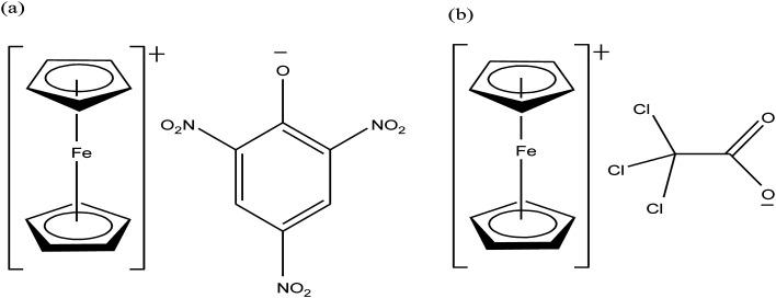
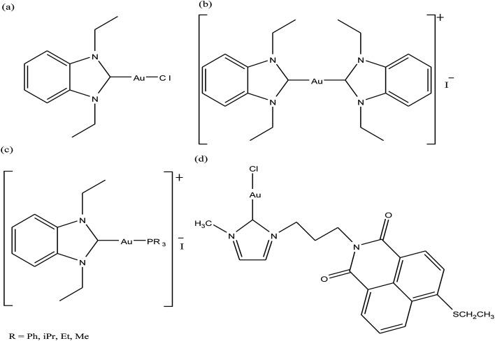
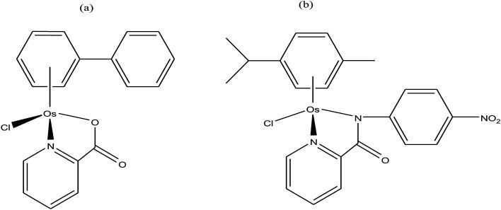
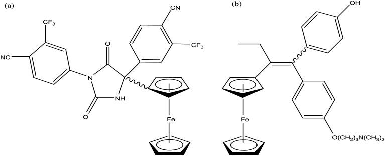
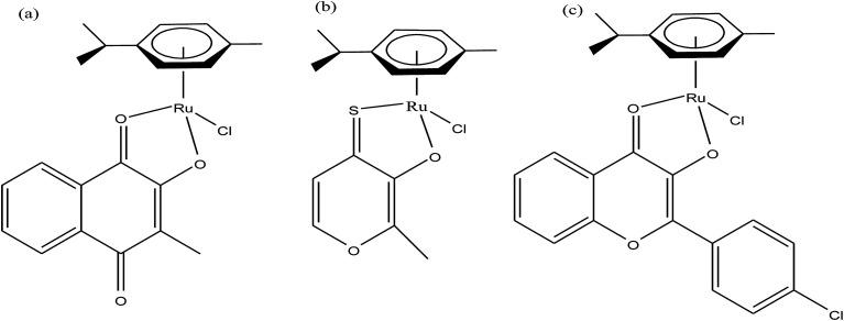
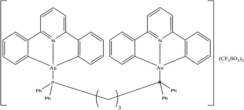
The advent of the clinically approved drug cisplatin started a new era in the design of metallodrugs for cancer chemotherapy. However, to date, there has not been much success in this field due to the persistence of some side effects and multi-drug resistance of cancer cells. In recent years, there has been increasing interest in the design of metal chemotherapeutics using organometallic complexes due to their good stability and unique properties in comparison to normal coordination complexes. Their intermediate properties between that of traditional inorganic and organic materials provide researchers with a new platform for the development of more promising cancer therapeutics. Classical metal-based drugs exert their therapeutic potential by targeting only DNA, but in the case of organometallic complexes, their molecular target is quite distinct to avoid drug resistance by cancer cells. Some organometallic drugs act by targeting a protein or inhibition of enzymes such as thioredoxin reductase (TrRx), while some target mitochondria and endoplasmic reticulum. In this review, we mainly discuss organometallic complexes of Ru, Ti, Au, Fe and Os and their mechanisms of action and how new approaches improve their therapeutic potential towards various cancer phenotypes. Herein, we discuss the role of structure-reactivity relationships in enhancing the anticancer potential of drugs for the benefit of humans both and . Besides, we also include tumor models that mimic human physiology to accelerate the development of more efficient clinical organometallic chemotherapeutics.

摘要

临床批准药物顺铂的出现开启了癌症化疗金属药物设计的新时代。然而,由于一些副作用的持续存在和癌细胞的多药耐药性,迄今为止该领域并未取得太多成功。近年来,由于有机金属配合物与普通配位配合物相比具有良好的稳定性和独特性质,人们对使用有机金属配合物设计金属化疗药物的兴趣与日俱增。它们介于传统无机材料和有机材料之间的中间性质为研究人员提供了一个开发更有前景的癌症治疗药物的新平台。经典的金属基药物仅通过靶向DNA发挥其治疗潜力,但对于有机金属配合物而言,它们的分子靶点截然不同,从而避免癌细胞产生耐药性。一些有机金属药物通过靶向一种蛋白质或抑制硫氧还蛋白还原酶(TrRx)等酶发挥作用,而一些则靶向线粒体和内质网。在本综述中,我们主要讨论钌、钛、金、铁和锇的有机金属配合物及其作用机制,以及新方法如何提高它们对各种癌症表型的治疗潜力。在此,我们讨论结构-反应性关系在增强药物抗癌潜力方面的作用,以造福人类。此外,我们还纳入了模拟人体生理的肿瘤模型,以加速更高效的临床有机金属化疗药物的开发。

https://cdn.ncbi.nlm.nih.gov/pmc/blobs/abdf/9060267/f50dc700af98/c8ra07926a-f1.jpg

文献检索

告别复杂PubMed语法,用中文像聊天一样搜索,搜遍4000万医学文献。AI智能推荐,让科研检索更轻松。

立即免费搜索

文件翻译

保留排版,准确专业,支持PDF/Word/PPT等文件格式,支持 12+语言互译。

免费翻译文档

深度研究

AI帮你快速写综述,25分钟生成高质量综述,智能提取关键信息,辅助科研写作。

立即免费体验