• 文献检索
  • 文档翻译
  • 深度研究
  • 学术资讯
  • Suppr Zotero 插件Zotero 插件
  • 邀请有礼
  • 套餐&价格
  • 历史记录
应用&插件
Suppr Zotero 插件Zotero 插件浏览器插件Mac 客户端Windows 客户端微信小程序
定价
高级版会员购买积分包购买API积分包
服务
文献检索文档翻译深度研究API 文档MCP 服务
关于我们
关于 Suppr公司介绍联系我们用户协议隐私条款
关注我们

Suppr 超能文献

核心技术专利:CN118964589B侵权必究
粤ICP备2023148730 号-1Suppr @ 2026

文献检索

告别复杂PubMed语法,用中文像聊天一样搜索,搜遍4000万医学文献。AI智能推荐,让科研检索更轻松。

立即免费搜索

文件翻译

保留排版,准确专业,支持PDF/Word/PPT等文件格式,支持 12+语言互译。

免费翻译文档

深度研究

AI帮你快速写综述,25分钟生成高质量综述,智能提取关键信息,辅助科研写作。

立即免费体验

5-脱氧阿维菌素B2a肟酯衍生物的合成及其杀虫活性

Synthesis and insecticidal activities of 5-deoxyavermectin B2a oxime ester derivatives.

作者信息

Sun Guoshao, Zhang Jingjing, Jin Shuhui, Zhang Jianjun

机构信息

Department of Applied Chemistry, College of Science, China Agricultural University Beijing 100193 P. R. China

出版信息

RSC Adv. 2018 Jan 22;8(7):3774-3781. doi: 10.1039/c7ra13258a. eCollection 2018 Jan 16.

DOI:10.1039/c7ra13258a
PMID:35542930
原文链接:https://pmc.ncbi.nlm.nih.gov/articles/PMC9078043/
Abstract

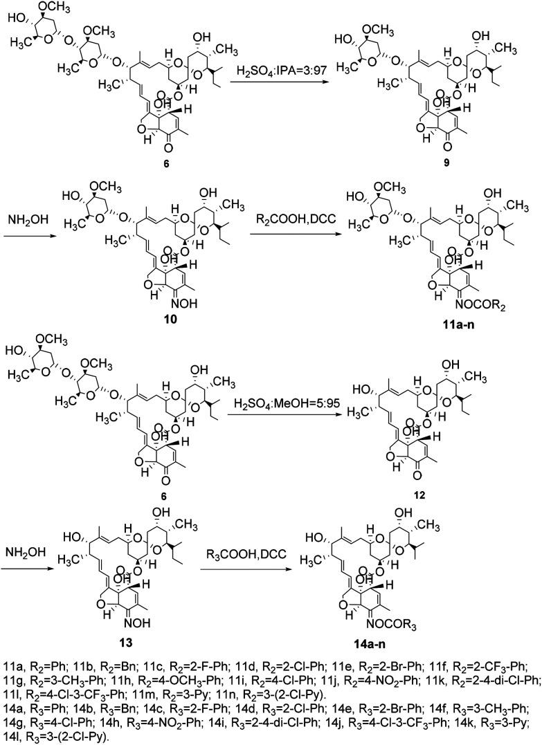
Three series of avermectin B2a oxime ester derivatives were synthesized using avermectin B2a as starting material. All of the compounds were characterized by H NMR, C NMR, and HRMS. Bioassay results indicated that some of the derivatives (8b, 8c, 8d, 8f, 11k, 11l, 14c, 14j) showed potent insecticidal activities against , , or . As shown by initial insecticidal activity data, compound 8d showed excellent activities (>90%) against and , which were more potent than that of avermectin B2a. Compound 8d might be a lead compound for designing new avermectin B2a derivatives.

摘要

以阿维菌素B2a为起始原料,合成了三个系列的阿维菌素B2a肟酯衍生物。所有化合物均通过1H NMR、13C NMR和HRMS进行了表征。生物测定结果表明,部分衍生物(8b、8c、8d、8f、11k、11l、14c、14j)对[具体害虫1]、[具体害虫2]或[具体害虫3]表现出较强的杀虫活性。根据初步杀虫活性数据,化合物8d对[具体害虫1]和[具体害虫2]表现出优异的活性(>90%),其活性比阿维菌素B2a更强。化合物8d可能是设计新型阿维菌素B2a衍生物的先导化合物。

https://cdn.ncbi.nlm.nih.gov/pmc/blobs/f0ca/9078043/4ea0051eca2f/c7ra13258a-s2.jpg
https://cdn.ncbi.nlm.nih.gov/pmc/blobs/f0ca/9078043/014808dc3cc5/c7ra13258a-f1.jpg
https://cdn.ncbi.nlm.nih.gov/pmc/blobs/f0ca/9078043/c7419b634d0d/c7ra13258a-f2.jpg
https://cdn.ncbi.nlm.nih.gov/pmc/blobs/f0ca/9078043/9d5c0f4bcaa5/c7ra13258a-s1.jpg
https://cdn.ncbi.nlm.nih.gov/pmc/blobs/f0ca/9078043/4ea0051eca2f/c7ra13258a-s2.jpg
https://cdn.ncbi.nlm.nih.gov/pmc/blobs/f0ca/9078043/014808dc3cc5/c7ra13258a-f1.jpg
https://cdn.ncbi.nlm.nih.gov/pmc/blobs/f0ca/9078043/c7419b634d0d/c7ra13258a-f2.jpg
https://cdn.ncbi.nlm.nih.gov/pmc/blobs/f0ca/9078043/9d5c0f4bcaa5/c7ra13258a-s1.jpg
https://cdn.ncbi.nlm.nih.gov/pmc/blobs/f0ca/9078043/4ea0051eca2f/c7ra13258a-s2.jpg

相似文献

1
Synthesis and insecticidal activities of 5-deoxyavermectin B2a oxime ester derivatives.5-脱氧阿维菌素B2a肟酯衍生物的合成及其杀虫活性
RSC Adv. 2018 Jan 22;8(7):3774-3781. doi: 10.1039/c7ra13258a. eCollection 2018 Jan 16.
2
High Value Utilization of an Avermectin Fermentation Byproduct: Novel B2a Derivatives as Pesticide Candidates.高效利用阿维菌素发酵副产物:新型 B2a 衍生物作为农药候选物。
J Agric Food Chem. 2022 Jun 1;70(21):6377-6384. doi: 10.1021/acs.jafc.2c01035. Epub 2022 May 18.
3
Design, Synthesis and Bioactivities of Novel Pyridyl Containing Pyrazole Oxime Ether Derivatives.新型含吡啶基吡唑肟醚衍生物的设计、合成与生物活性。
Molecules. 2024 Jun 11;29(12):2767. doi: 10.3390/molecules29122767.
4
Ovicidal and Insecticidal Activities of Pyriproxyfen Derivatives with an Oxime Ester Group.含肟酯基团的吡丙醚衍生物的杀卵和杀虫活性
Molecules. 2017 Jun 8;22(6):958. doi: 10.3390/molecules22060958.
5
Synthesis and insecticidal activities of novel pyrazole oxime ether derivatives with different substituted pyridyl rings.具有不同取代吡啶环的新型吡唑肟醚衍生物的合成及杀虫活性
Pest Manag Sci. 2014 Aug;70(8):1207-14. doi: 10.1002/ps.3672. Epub 2013 Dec 6.
6
Synthesis and insecticidal activity of 5-acyloxyimino-5-deoxyavermectin B1 derivatives.5-酰氧基肟基-5-脱氧阿维菌素B1衍生物的合成及其杀虫活性
Pest Manag Sci. 2004 Jul;60(7):697-702. doi: 10.1002/ps.859.
7
Synthesis, biological activities and structure-activity relationships for new avermectin analogues.新型阿维菌素类似物的合成、生物活性及构效关系
Eur J Med Chem. 2016 Oct 4;121:422-432. doi: 10.1016/j.ejmech.2016.05.056. Epub 2016 May 27.
8
Synthesis and biological activities of novel 1,3,4-thiadiazole-containing pyrazole oxime derivatives.新型含1,3,4-噻二唑的吡唑肟衍生物的合成及生物活性
Bioorg Med Chem Lett. 2016 Aug 1;26(15):3818-21. doi: 10.1016/j.bmcl.2016.04.094. Epub 2016 May 7.
9
Design, synthesis, and insecticidal evaluation of new pyrazole derivatives containing imine, oxime ether, oxime ester, and dihydroisoxazoline groups based on the inhibitor binding pocket of respiratory complex I.基于呼吸复合物 I 抑制剂结合口袋设计、合成及含亚胺、肟醚、肟酯和二氢异恶唑啉基团的新吡唑衍生物的杀虫活性评价。
J Agric Food Chem. 2013 Sep 18;61(37):8730-6. doi: 10.1021/jf402719z. Epub 2013 Sep 5.
10
Facile Three-Component Synthesis, Insecticidal and Antifungal Evaluation of Novel Dihydropyridine Derivatives.新型二氢吡啶衍生物的简便三组分合成、杀虫抑菌活性评价。
Molecules. 2018 Sep 21;23(10):2422. doi: 10.3390/molecules23102422.

引用本文的文献

1
Novel Sophoridine Derivatives as Potential Larvicidal Agents against : Synthesis, Biological Evaluation, Acetylcholinesterase Inhibition, and Morphological Study.新型槐定碱衍生物作为潜在的杀幼虫剂:合成、生物学评价、乙酰胆碱酯酶抑制及形态学研究
Insects. 2023 Apr 20;14(4):399. doi: 10.3390/insects14040399.

本文引用的文献

1
Efficacy of two anthelmintic treatments, spinosad/milbemycin oxime and ivermectin/praziquantel in dogs with natural Toxocara spp. infection.两种驱虫治疗方案(多杀菌素/米尔贝肟和伊维菌素/吡喹酮)对自然感染弓首蛔虫属的犬的疗效。
Vet Parasitol. 2017 Nov 30;247:77-79. doi: 10.1016/j.vetpar.2017.09.016. Epub 2017 Sep 22.
2
Ovicidal and Insecticidal Activities of Pyriproxyfen Derivatives with an Oxime Ester Group.含肟酯基团的吡丙醚衍生物的杀卵和杀虫活性
Molecules. 2017 Jun 8;22(6):958. doi: 10.3390/molecules22060958.
3
New Insecticidal Agents from Halogenation/Acylation of the Furyl-Ring of Fraxinellone.
由白鲜碱呋喃环卤化/酰化得到的新型杀虫剂
Sci Rep. 2016 Oct 24;6:35321. doi: 10.1038/srep35321.
4
Recent Advances in the Chemistry and Biology of Podophyllotoxins.鬼臼毒素的化学与生物学研究新进展
Chemistry. 2017 Apr 3;23(19):4467-4526. doi: 10.1002/chem.201602472. Epub 2017 Jan 9.
5
Selamectin for the prevention of canine Dirofilaria immitis infection: field efficacy in client-owned dogs in a high risk area.用于预防犬恶丝虫感染的塞拉菌素:在高风险地区宠物犬中的田间疗效
Parasit Vectors. 2016 Jul 22;9(1):407. doi: 10.1186/s13071-016-1697-9.
6
Semisynthesis of Esters of Fraxinellone C4/10-Oxime and Their Pesticidal Activities.白鲜酮C4/10-肟酯的半合成及其杀虫活性
J Agric Food Chem. 2016 Jul 13;64(27):5472-8. doi: 10.1021/acs.jafc.6b01995. Epub 2016 Jul 5.
7
Synthesis, biological activities and structure-activity relationships for new avermectin analogues.新型阿维菌素类似物的合成、生物活性及构效关系
Eur J Med Chem. 2016 Oct 4;121:422-432. doi: 10.1016/j.ejmech.2016.05.056. Epub 2016 May 27.
8
Genome wide discovery of long intergenic non-coding RNAs in Diamondback moth (Plutella xylostella) and their expression in insecticide resistant strains.小菜蛾(Plutella xylostella)长基因间非编码RNA的全基因组发现及其在抗药性品系中的表达
Sci Rep. 2015 Sep 28;5:14642. doi: 10.1038/srep14642.
9
Total synthesis of avermectin B1a revisited.阿维菌素B1a的全合成再探讨。
J Antibiot (Tokyo). 2016 Jan;69(1):31-50. doi: 10.1038/ja.2015.47. Epub 2015 Sep 9.
10
Synthesis of Novel Oxime Sulfonate Derivatives of 2'(2',6')-(Di)chloropicropodophyllotoxins as Insecticidal Agents.新型 2'-(2',6')-(二)氯代鬼臼毒素肟磺酸酯衍生物的合成及其作为杀虫剂的用途。
J Agric Food Chem. 2015 Aug 5;63(30):6668-74. doi: 10.1021/acs.jafc.5b02036. Epub 2015 Jul 22.