• 文献检索
  • 文档翻译
  • 深度研究
  • 学术资讯
  • Suppr Zotero 插件Zotero 插件
  • 邀请有礼
  • 套餐&价格
  • 历史记录
应用&插件
Suppr Zotero 插件Zotero 插件浏览器插件Mac 客户端Windows 客户端微信小程序
定价
高级版会员购买积分包购买API积分包
服务
文献检索文档翻译深度研究API 文档MCP 服务
关于我们
关于 Suppr公司介绍联系我们用户协议隐私条款
关注我们

Suppr 超能文献

核心技术专利:CN118964589B侵权必究
粤ICP备2023148730 号-1Suppr @ 2026

文献检索

告别复杂PubMed语法,用中文像聊天一样搜索,搜遍4000万医学文献。AI智能推荐,让科研检索更轻松。

立即免费搜索

文件翻译

保留排版,准确专业,支持PDF/Word/PPT等文件格式,支持 12+语言互译。

免费翻译文档

深度研究

AI帮你快速写综述,25分钟生成高质量综述,智能提取关键信息,辅助科研写作。

立即免费体验

胸腔感染的细菌学(TORPIDS):通过下一代测序进行的探索性宏基因组分析。

The bacteriology of pleural infection (TORPIDS): an exploratory metagenomics analysis through next generation sequencing.

机构信息

Oxford Centre for Respiratory Medicine, Churchill Hospital, Oxford University Hospitals NHS Foundation Trust, Oxford, UK; Laboratory of Pleural and Lung Cancer Translational Research, Nuffield Department of Medicine, University of Oxford, Oxford, UK; Chinese Academy of Medical Sciences, China Oxford Institute, Nuffield Department of Medicine, University of Oxford, Oxford, UK; National Institute for Health Research Oxford Biomedical Research Centre, University of Oxford, Oxford, UK.

Oxford Centre for Respiratory Medicine, Churchill Hospital, Oxford University Hospitals NHS Foundation Trust, Oxford, UK.

出版信息

Lancet Microbe. 2022 Apr;3(4):e294-e302. doi: 10.1016/S2666-5247(21)00327-X. Epub 2022 Mar 11.

DOI:10.1016/S2666-5247(21)00327-X
PMID:35544066
原文链接:https://pmc.ncbi.nlm.nih.gov/articles/PMC8967721/
Abstract

BACKGROUND

Pleural infection is a common and severe disease with high morbidity and mortality worldwide. The knowledge of pleural infection bacteriology remains incomplete, as pathogen detection methods based on culture have insufficient sensitivity and are biased to selected microbes. We designed a study with the aim to discover and investigate the total microbiome of pleural infection and assess the correlation between bacterial patterns and 1-year survival of patients.

METHODS

We assessed 243 pleural fluid samples from the PILOT study, a prospective observational study on pleural infection, with 16S rRNA next generation sequencing. 20 pleural fluid samples from patients with pleural effusion due to a non-infectious cause and ten PCR-grade water samples were used as controls. Downstream analysis was done with the DADA2 pipeline. We applied multivariate Cox regression analyses to investigate the association between bacterial patterns and 1-year survival of patients with pleural infection.

FINDINGS

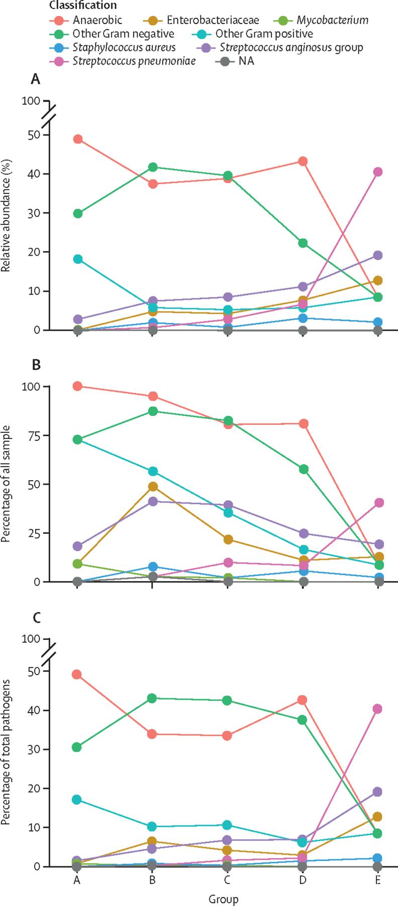
Pleural infection was predominately polymicrobial (192 [79%] of 243 samples), with diverse bacterial frequencies observed in monomicrobial and polymicrobial disease and in both community-acquired and hospital-acquired infection. Mixed anaerobes and other Gram-negative bacteria predominated in community-acquired polymicrobial infection whereas Streptococcus pneumoniae prevailed in monomicrobial cases. The presence of anaerobes (hazard ratio 0·46, 95% CI 0·24-0·86, p=0·015) or bacteria of the Streptococcus anginosus group (0·43, 0·19-0·97, p=0·043) was associated with better patient survival, whereas the presence (5·80, 2·37-14·21, p<0·0001) or dominance (3·97, 1·20-13·08, p=0·024) of Staphylococcus aureus was linked with lower survival. Moreover, dominance of Enterobacteriaceae was associated with higher risk of death (2·26, 1·03-4·93, p=0·041).

INTERPRETATION

Pleural infection is a predominantly polymicrobial infection, explaining the requirement for broad spectrum antibiotic cover in most individuals. High mortality infection associated with S aureus and Enterobacteriaceae favours more aggressive, with a narrower spectrum, antibiotic strategies.

FUNDING

UK Medical Research Council, National Institute for Health Research Oxford Biomedical Research Centre, Wellcome Trust, Oxfordshire Health Services Research Committee, Chinese Academy of Medical Sciences, and John Fell Fund.

摘要

背景

胸膜感染是一种常见且严重的疾病,在全球范围内具有较高的发病率和死亡率。由于基于培养的病原体检测方法灵敏度不足且偏向于选择特定的微生物,胸膜感染的细菌学知识仍不完整。我们设计了一项研究,旨在发现和研究胸膜感染的全微生物组,并评估细菌模式与患者 1 年生存率之间的相关性。

方法

我们评估了 PILOT 研究中的 243 份胸膜液样本,该研究是一项关于胸膜感染的前瞻性观察性研究,采用了 16S rRNA 下一代测序技术。20 份来自非感染性胸腔积液患者的胸膜液样本和 10 份 PCR 级水样本作为对照。下游分析采用 DADA2 管道进行。我们应用多变量 Cox 回归分析来研究胸膜感染患者的细菌模式与 1 年生存率之间的关联。

结果

胸膜感染主要为多微生物感染(243 份样本中的 192 份),在单微生物和多微生物疾病以及社区获得性和医院获得性感染中观察到不同的细菌频率。混合厌氧菌和其他革兰氏阴性菌在社区获得性多微生物感染中占主导地位,而肺炎链球菌则在单微生物病例中占主导地位。厌氧菌的存在(风险比 0.46,95%CI 0.24-0.86,p=0.015)或酿脓链球菌组细菌的存在(0.43,0.19-0.97,p=0.043)与患者生存状况较好相关,而金黄色葡萄球菌的存在(5.80,2.37-14.21,p<0.0001)或优势(3.97,1.20-13.08,p=0.024)与较低的生存率相关。此外,肠杆菌科的优势与死亡风险增加相关(2.26,1.03-4.93,p=0.041)。

解释

胸膜感染主要为多微生物感染,这解释了大多数个体需要广谱抗生素覆盖的原因。高死亡率感染与金黄色葡萄球菌和肠杆菌科相关,支持更积极、更窄谱的抗生素策略。

资助

英国医学研究理事会、国家卫生研究院牛津生物医学研究中心、惠康信托基金会、牛津郡卫生服务研究委员会、中国医学科学院和约翰·费尔基金会。

https://cdn.ncbi.nlm.nih.gov/pmc/blobs/854c/8967721/3a2f635238eb/gr3.jpg
https://cdn.ncbi.nlm.nih.gov/pmc/blobs/854c/8967721/e2fb4502ae31/gr1.jpg
https://cdn.ncbi.nlm.nih.gov/pmc/blobs/854c/8967721/600cd3dd05b1/gr2.jpg
https://cdn.ncbi.nlm.nih.gov/pmc/blobs/854c/8967721/3a2f635238eb/gr3.jpg
https://cdn.ncbi.nlm.nih.gov/pmc/blobs/854c/8967721/e2fb4502ae31/gr1.jpg
https://cdn.ncbi.nlm.nih.gov/pmc/blobs/854c/8967721/600cd3dd05b1/gr2.jpg
https://cdn.ncbi.nlm.nih.gov/pmc/blobs/854c/8967721/3a2f635238eb/gr3.jpg

相似文献

1
The bacteriology of pleural infection (TORPIDS): an exploratory metagenomics analysis through next generation sequencing.胸腔感染的细菌学(TORPIDS):通过下一代测序进行的探索性宏基因组分析。
Lancet Microbe. 2022 Apr;3(4):e294-e302. doi: 10.1016/S2666-5247(21)00327-X. Epub 2022 Mar 11.
2
Evaluating the feasibility, sensitivity, and specificity of next-generation molecular methods for pleural infection diagnosis.评估用于胸膜感染诊断的新一代分子方法的可行性、敏感性和特异性。
Microbiol Spectr. 2025 Feb 4;13(2):e0196024. doi: 10.1128/spectrum.01960-24. Epub 2025 Jan 15.
3
Microbiological diagnosis of pleural infections: a comparative evaluation of a novel syndromic real-time PCR panel.胸腔感染的微生物诊断:新型综合征实时 PCR 检测板的对比评估。
Microbiol Spectr. 2024 Jun 4;12(6):e0351023. doi: 10.1128/spectrum.03510-23. Epub 2024 Apr 24.
4
The bacteriology of pleural infection by genetic and standard methods and its mortality significance.采用基因方法和标准方法对胸膜感染进行细菌学研究及其死亡率意义。
Am J Respir Crit Care Med. 2006 Oct 1;174(7):817-23. doi: 10.1164/rccm.200601-074OC. Epub 2006 Jul 13.
5
16S rRNA is a valuable tool in finding bacterial aetiology of community-acquired pleural empyema-a population-based observational study in South Sweden.16S核糖体RNA是确定社区获得性胸膜脓胸细菌病因的一项重要工具——瑞典南部一项基于人群的观察性研究
Infect Dis (Lond). 2022 Mar;54(3):163-169. doi: 10.1080/23744235.2021.1985165. Epub 2021 Oct 4.
6
Pleural space infection microbiology as assessed using a clinical sequencing-based assay: group, and other oral normal microbiota are the most common bacteria identified in community-acquired pleural space infections.使用基于临床测序的检测方法评估的胸膜腔感染微生物学:在社区获得性胸膜腔感染中,厌氧菌和其他口腔正常微生物群是最常见的细菌。
J Clin Microbiol. 2024 Dec 11;62(12):e0069424. doi: 10.1128/jcm.00694-24. Epub 2024 Nov 25.
7
Microbiota profiling from biopsied tissues in complex infections: a diagnostic and prognostic analysis through metagenomic next-generation sequencing.复杂感染中活检组织的微生物群分析:通过宏基因组下一代测序进行诊断和预后分析。
Front Cell Infect Microbiol. 2025 May 8;15:1567981. doi: 10.3389/fcimb.2025.1567981. eCollection 2025.
8
The bacteriology in adult patients with pneumonia and parapneumonic effusions: increased yield with DNA sequencing method.成人肺炎和类肺炎性胸腔积液患者的细菌学:DNA 测序方法可提高检出率。
Eur J Clin Microbiol Infect Dis. 2019 Feb;38(2):297-304. doi: 10.1007/s10096-018-3426-0. Epub 2018 Dec 13.
9
The bacterial aetiology of pleural empyema. A descriptive and comparative metagenomic study.胸腔积脓性胸膜炎的细菌病因。描述性和比较性宏基因组学研究。
Clin Microbiol Infect. 2019 Aug;25(8):981-986. doi: 10.1016/j.cmi.2018.11.030. Epub 2018 Dec 21.
10
The nasopharyngeal microbiota in patients with viral respiratory tract infections is enriched in bacterial pathogens.病毒呼吸道感染患者的鼻咽微生物群中富含细菌病原体。
Eur J Clin Microbiol Infect Dis. 2018 Sep;37(9):1725-1733. doi: 10.1007/s10096-018-3305-8. Epub 2018 Jul 22.

引用本文的文献

1
A Practical Approach to Pleural Infection.胸膜感染的实用治疗方法。
Pulm Ther. 2025 Jul 25. doi: 10.1007/s41030-025-00308-z.
2
Case Report: Empyema secondary to percutaneous transthoracic needle biopsy in three cases.病例报告:3例经皮经胸针吸活检术后并发脓胸
Front Med (Lausanne). 2025 May 16;12:1531909. doi: 10.3389/fmed.2025.1531909. eCollection 2025.
3
Pleural infection.胸膜感染

本文引用的文献

1
DNA Thermo-Protection Facilitates Whole-Genome Sequencing of Mycobacteria Direct from Clinical Samples.DNA热保护有助于直接从临床样本中对分枝杆菌进行全基因组测序。
J Clin Microbiol. 2020 Sep 22;58(10). doi: 10.1128/JCM.00670-20.
2
Prospective validation of the RAPID clinical risk prediction score in adult patients with pleural infection: the PILOT study.RAPID临床风险预测评分在成年胸膜感染患者中的前瞻性验证:PILOT研究
Eur Respir J. 2020 Nov 26;56(5). doi: 10.1183/13993003.00130-2020. Print 2020 Nov.
3
The microbiology of pleural infection in adults: a systematic review.
CMAJ. 2025 May 25;197(20):E569. doi: 10.1503/cmaj.241633.
4
Chest tube drainage versus repeated therapeutic thoracentesis for the management of pleural infections: a retrospective multicentre propensity-matched study.胸腔闭式引流与重复治疗性胸腔穿刺术治疗胸膜感染的比较:一项回顾性多中心倾向匹配研究
Pneumonia (Nathan). 2025 May 25;17(1):13. doi: 10.1186/s41479-025-00167-x.
5
Diversity in the composition of pleural cavity and oral cavity microbiota in different bacterial empyema.不同细菌性脓胸中胸膜腔和口腔微生物群组成的多样性。
Front Microbiol. 2025 Apr 29;16:1566606. doi: 10.3389/fmicb.2025.1566606. eCollection 2025.
6
A New Composite Integrative and Conjugative Element Mediates Multiple Drug Resistance from to .一种新型复合整合与接合元件介导从……到……的多重耐药性。 (你提供的原文中“from to”之间内容缺失,这可能会影响更准确完整的理解和翻译。)
Infect Drug Resist. 2025 Apr 18;18:1941-1949. doi: 10.2147/IDR.S514281. eCollection 2025.
7
Pleural fluid agitation for improving the microbiologic diagnostic yield in pleural infection: a feasibility study.胸腔积液搅动以提高胸膜感染的微生物学诊断率:一项可行性研究。
Respir Res. 2025 Apr 18;26(1):154. doi: 10.1186/s12931-025-03208-7.
8
Pleural fluid proteomics from patients with pleural infection shows signatures of diverse neutrophilic responses: The Oxford Pleural Infection Endotyping Study (TORPIDS-2).胸膜感染患者的胸腔积液蛋白质组学显示出不同中性粒细胞反应的特征:牛津胸膜感染内型研究(TORPIDS - 2)。
Eur Respir J. 2025 Jul 14;66(1). doi: 10.1183/13993003.00010-2025. Print 2025 Jul.
9
Pleural Infection: Diagnosis, Management, and Future Directions.胸膜感染:诊断、管理及未来方向
J Clin Med. 2025 Mar 2;14(5):1685. doi: 10.3390/jcm14051685.
10
Prognostic significance of pleural fluid microbiological positivity in pleural infection: a bicentric 10-year retrospective observational study.胸腔感染中胸腔积液微生物学阳性的预后意义:一项双中心10年回顾性观察研究
Respir Res. 2025 Feb 13;26(1):53. doi: 10.1186/s12931-025-03129-5.
成人胸膜感染的微生物学:系统评价。
Eur Respir J. 2019 Oct 1;54(3). doi: 10.1183/13993003.00542-2019. Print 2019 Sep.
4
Clinical metagenomics.临床宏基因组学。
Nat Rev Genet. 2019 Jun;20(6):341-355. doi: 10.1038/s41576-019-0113-7.
5
Next-Generation Sequencing of Infectious Pathogens.传染性病原体的下一代测序
JAMA. 2019 Mar 5;321(9):893-894. doi: 10.1001/jama.2018.21669.
6
The bacterial aetiology of pleural empyema. A descriptive and comparative metagenomic study.胸腔积脓性胸膜炎的细菌病因。描述性和比较性宏基因组学研究。
Clin Microbiol Infect. 2019 Aug;25(8):981-986. doi: 10.1016/j.cmi.2018.11.030. Epub 2018 Dec 21.
7
Long reads: their purpose and place.长读序列:它们的用途和位置。
Hum Mol Genet. 2018 Aug 1;27(R2):R234-R241. doi: 10.1093/hmg/ddy177.
8
Multicenter Evaluation of BioFire FilmArray Respiratory Panel 2 for Detection of Viruses and Bacteria in Nasopharyngeal Swab Samples.多中心评价生物梅里埃 FilmArray 呼吸道Panel 2 检测鼻咽拭子样本中病毒和细菌
J Clin Microbiol. 2018 May 25;56(6). doi: 10.1128/JCM.01945-17. Print 2018 Jun.
9
Next-generation sequencing technologies and their application to the study and control of bacterial infections.下一代测序技术及其在细菌感染研究和控制中的应用。
Clin Microbiol Infect. 2018 Apr;24(4):335-341. doi: 10.1016/j.cmi.2017.10.013. Epub 2017 Oct 23.
10
DADA2: High-resolution sample inference from Illumina amplicon data.DADA2:从Illumina扩增子数据进行高分辨率样本推断。
Nat Methods. 2016 Jul;13(7):581-3. doi: 10.1038/nmeth.3869. Epub 2016 May 23.