Suppr超能文献

酪胺的生产——4-羟基苄腈在碳负载钯催化剂上的选择性氢化。

The production of tyramine the selective hydrogenation of 4-hydroxybenzyl cyanide over a carbon-supported palladium catalyst.

作者信息

McAllister Mairi I, Boulho Cédric, McMillan Liam, Gilpin Lauren F, Wiedbrauk Sandra, Brennan Colin, Lennon David

机构信息

School of Chemistry, University of Glasgow Joseph Black Building Glasgow G12 8QQ UK

Syngenta, Jeallot's Hill International Research Centre Bracknell, Berkshire RG42 6EY UK.

出版信息

RSC Adv. 2018 Aug 20;8(51):29392-29399. doi: 10.1039/c8ra05654d. eCollection 2018 Aug 14.

Abstract

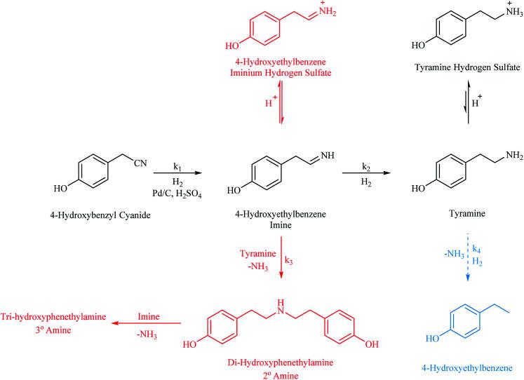
The selective production of primary amines is a problem that plagues heterogeneously catalysed nitrile hydrogenation reactions. Whilst the target amine tyramine (HOCHCHCHNH) is biochemically available through the action of enzymes, synthetic routes to this species are not widely reported. Here, a heterogeneously catalysed method is proposed that utilises a Pd/C catalyst to effect the selective hydrogenation of 4-hydroxybenzyl cyanide within a three-phase reactor. The aforementioned selectivity issues are overcome by adjustment of various experimental parameters (hydrogen supply, agitation rate, temperature, use of an auxiliary agent) that result in improved catalytic performance, such that the desired tyramine salt (tyramine hydrogen sulphate) can be produced in quantitative yield. Accordingly, through consideration of the interconnectivity of hydrogenation and hydrogenolysis processes, a selective synthetic strategy is achieved with the findings suitable for extension to other substrates of this nature.

摘要

伯胺的选择性生产是困扰非均相催化腈氢化反应的一个问题。虽然目标胺酪胺(HOCH₂CH₂CH₂NH₂)可通过酶的作用以生化方式获得,但该物种的合成路线并未广泛报道。在此,提出了一种非均相催化方法,该方法利用Pd/C催化剂在三相反应器中实现4-羟基苄腈的选择性氢化。通过调整各种实验参数(氢气供应、搅拌速率、温度、使用助剂)克服了上述选择性问题,这些参数提高了催化性能,从而可以定量产率生产所需的酪胺盐(酪胺硫酸氢盐)。因此,通过考虑氢化和氢解过程的相互联系,实现了一种选择性合成策略,其研究结果适用于扩展到其他此类底物。

https://cdn.ncbi.nlm.nih.gov/pmc/blobs/1d38/9084560/66a2f62b4f42/c8ra05654d-s1.jpg

文献AI研究员

20分钟写一篇综述,助力文献阅读效率提升50倍。

立即体验

用中文搜PubMed

大模型驱动的PubMed中文搜索引擎

马上搜索

文档翻译

学术文献翻译模型,支持多种主流文档格式。

立即体验