Suppr超能文献

兴奋性深部脑刺激抑制了丘脑底核-苍白球环路计算模型中产生的β振荡。

Excitatory deep brain stimulation quenches beta oscillations arising in a computational model of the subthalamo-pallidal loop.

机构信息

Faculty of Computer Engineering, Shahid Rajaee Teacher Training University, Tehran, Iran.

School of Cognitive Sciences (SCS), Institute for Research in Fundamental Sciences (IPM), Tehran, Iran.

出版信息

Sci Rep. 2022 May 12;12(1):7845. doi: 10.1038/s41598-022-10084-4.

Abstract

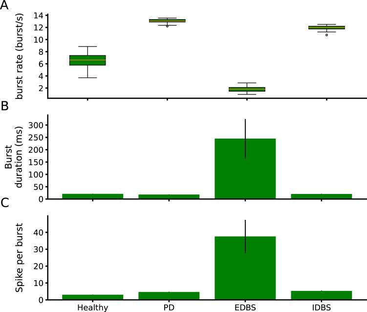
Parkinson's disease (PD) is associated with abnormal [Formula: see text] band oscillations (13-30 Hz) in the cortico-basal ganglia circuits. Abnormally increased striato-pallidal inhibition and strengthening the synaptic coupling between subthalamic nucleus (STN) and globus pallidus externa (GPe), due to the loss of dopamine, are considered as the potential sources of [Formula: see text] oscillations in the basal ganglia. Deep brain stimulation (DBS) of the basal ganglia subregions is known as a way to reduce the pathological [Formula: see text] oscillations and motor deficits related to PD. Despite the success of the DBS, its underlying mechanism is poorly understood and, there is controversy about the inhibitory or excitatory role of the DBS in the literature. Here, we utilized a computational network model of basal ganglia which consists of STN, GPe, globus pallidus interna, and thalamic neuronal population. This model can reproduce healthy and pathological [Formula: see text] oscillations similar to what has been observed in experimental studies. Using this model, we investigated the effect of DBS to understand whether its effect is excitatory or inhibitory. Our results show that the excitatory DBS is able to quench the pathological synchrony and [Formula: see text] oscillations, while, applying inhibitory DBS failed to quench the PD signs. In light of simulation results, we conclude that the effect of the DBS on its target is excitatory.

摘要

帕金森病(PD)与皮质-基底节回路中的异常[Formula: see text]波段振荡(13-30 Hz)有关。由于多巴胺的丧失,纹状体苍白球抑制异常增加,并且增强了丘脑底核(STN)和苍白球外核(GPe)之间的突触耦合,被认为是基底节中[Formula: see text]振荡的潜在来源。已知基底神经节亚区的深部脑刺激(DBS)是减少与 PD 相关的病理性[Formula: see text]振荡和运动缺陷的一种方法。尽管 DBS 取得了成功,但对其潜在机制的了解仍不完善,并且文献中对 DBS 的抑制或兴奋作用存在争议。在这里,我们利用基底神经节的计算网络模型,该模型由 STN、GPe、GPI 和丘脑神经元群体组成。该模型可以再现类似于实验研究中观察到的健康和病理性[Formula: see text]振荡。使用该模型,我们研究了 DBS 的效果,以了解其效果是兴奋还是抑制。我们的结果表明,兴奋性 DBS 能够消除病理性同步和[Formula: see text]振荡,而应用抑制性 DBS 则无法消除 PD 迹象。根据模拟结果,我们得出结论,DBS 对其靶标的作用是兴奋的。

https://cdn.ncbi.nlm.nih.gov/pmc/blobs/d628/9098470/58b5128e9690/41598_2022_10084_Fig1_HTML.jpg

文献检索

告别复杂PubMed语法,用中文像聊天一样搜索,搜遍4000万医学文献。AI智能推荐,让科研检索更轻松。

立即免费搜索

文件翻译

保留排版,准确专业,支持PDF/Word/PPT等文件格式,支持 12+语言互译。

免费翻译文档

深度研究

AI帮你快速写综述,25分钟生成高质量综述,智能提取关键信息,辅助科研写作。

立即免费体验