Suppr超能文献

使用主成分指标评估情境判断测试中的情商能力、默认反应和极端反应。

Assessing Emotional Intelligence Abilities, Acquiescent and Extreme Responding in Situational Judgment Tests Using Principal Component Metrics.

作者信息

Fontaine Johnny R J, Sekwena Eva K, Veirman Elke, Schlegel Katja, MacCann Carolyn, Roberts Richard D, Scherer Klaus R

机构信息

Department of Work, Organization and Society, Faculty of Psychology and Educational Science, Ghent University, Ghent, Belgium.

Faculty of Economic and Management Sciences, North West University, Potchefstroom, South Africa.

出版信息

Front Psychol. 2022 Apr 26;13:813540. doi: 10.3389/fpsyg.2022.813540. eCollection 2022.

Abstract

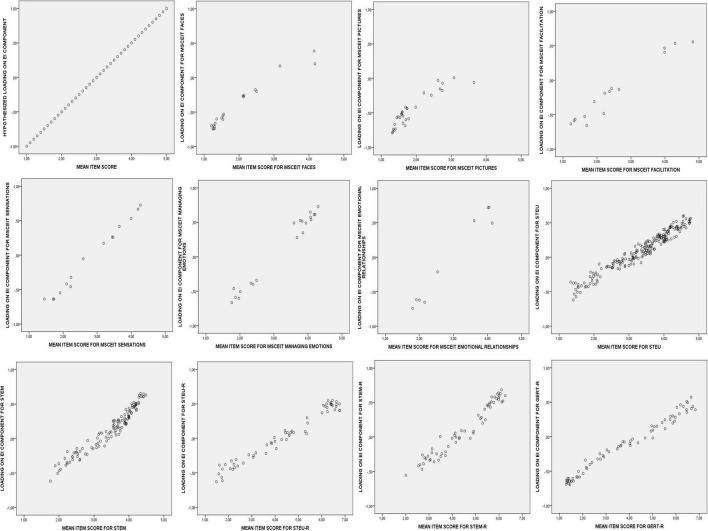
Principal Component Metrics is a novel theoretically-based and data-driven methodology that enables the evaluation of the internal structure at item level of maximum emotional intelligence tests. This method disentangles interindividual differences in emotional ability from acquiescent and extreme responding. Principal Component Metrics are applied to existing (Mayer-Salovey-Caruso Emotional Intelligence Test) and assembled (specifically, the Situational Test of Emotion Understanding, the Situational Test of Emotion Management, and the Geneva Emotion Recognition Test) emotional intelligence test batteries in an analysis of three samples (total = 2,303 participants). In undertaking these analyses important aspects of the nomological network of emotional intelligence, acquiescent, and extreme responding are investigated. The current study adds a central piece of empirical validity evidence to the emotional intelligence domain. In the three different samples, theoretically predicted internal structures at item level were found using raw item scores. The validity of the indicators for emotional intelligence, acquiescent, and extreme responding was confirmed by their relationships across emotional intelligence tests and by their nomological networks. The current findings contribute to evaluating the efficacy of the emotional intelligence construct as well as the validity evidence surrounding the instruments that are currently designed for its assessment, in the process opening new perspectives for analyzing existing and constructing new emotional intelligence tests.

摘要

主成分度量是一种新颖的基于理论和数据驱动的方法,能够在项目层面评估最大情商测试的内部结构。该方法将情绪能力的个体间差异与默认和极端反应区分开来。主成分度量应用于现有的(梅耶-萨洛维-卡鲁索情商测试)和组合的(具体来说,情绪理解情境测试、情绪管理情境测试和日内瓦情绪识别测试)情商测试组,对三个样本(共2303名参与者)进行分析。在进行这些分析时,对情商、默认和极端反应的理论网络的重要方面进行了研究。当前的研究为情商领域增添了一项核心的实证效度证据。在三个不同的样本中,使用原始项目分数发现了项目层面理论预测的内部结构。情商、默认和极端反应指标的效度通过它们在情商测试中的关系及其理论网络得到了证实。当前的研究结果有助于评估情商结构的有效性以及围绕目前为其评估而设计的工具的效度证据,在此过程中为分析现有情商测试和构建新的情商测试开辟了新的视角。

https://cdn.ncbi.nlm.nih.gov/pmc/blobs/53a7/9087725/88dad28156d9/fpsyg-13-813540-g001.jpg

文献AI研究员

20分钟写一篇综述,助力文献阅读效率提升50倍。

立即体验

用中文搜PubMed

大模型驱动的PubMed中文搜索引擎

马上搜索

文档翻译

学术文献翻译模型,支持多种主流文档格式。

立即体验