• 文献检索
  • 文档翻译
  • 深度研究
  • 学术资讯
  • Suppr Zotero 插件Zotero 插件
  • 邀请有礼
  • 套餐&价格
  • 历史记录
应用&插件
Suppr Zotero 插件Zotero 插件浏览器插件Mac 客户端Windows 客户端微信小程序
定价
高级版会员购买积分包购买API积分包
服务
文献检索文档翻译深度研究API 文档MCP 服务
关于我们
关于 Suppr公司介绍联系我们用户协议隐私条款
关注我们

Suppr 超能文献

核心技术专利:CN118964589B侵权必究
粤ICP备2023148730 号-1Suppr @ 2026

文献检索

告别复杂PubMed语法,用中文像聊天一样搜索,搜遍4000万医学文献。AI智能推荐,让科研检索更轻松。

立即免费搜索

文件翻译

保留排版,准确专业,支持PDF/Word/PPT等文件格式,支持 12+语言互译。

免费翻译文档

深度研究

AI帮你快速写综述,25分钟生成高质量综述,智能提取关键信息,辅助科研写作。

立即免费体验

基于人工智能的特发性肺纤维化死亡风险预测:CTPF模型

Idiopathic Pulmonary Fibrosis Mortality Risk Prediction Based on Artificial Intelligence: The CTPF Model.

作者信息

Wu Xuening, Yin Chengsheng, Chen Xianqiu, Zhang Yuan, Su Yiliang, Shi Jingyun, Weng Dong, Jiang Xing, Zhang Aihong, Zhang Wenqiang, Li Huiping

机构信息

The Academy for Engineering and Technology, Fudan University, Shanghai, China.

Department of Respiratory Medicine, Shanghai Pulmonary Hospital, Tongji University, School of Medicine, Shanghai, China.

出版信息

Front Pharmacol. 2022 Apr 26;13:878764. doi: 10.3389/fphar.2022.878764. eCollection 2022.

DOI:10.3389/fphar.2022.878764
PMID:35559265
原文链接:https://pmc.ncbi.nlm.nih.gov/articles/PMC9086624/
Abstract

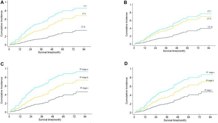
Idiopathic pulmonary fibrosis (IPF) needs a precise prediction method for its prognosis. This study took advantage of artificial intelligence (AI) deep learning to develop a new mortality risk prediction model for IPF patients. We established an artificial intelligence honeycomb segmentation system that segmented the honeycomb tissue area automatically from 102 manually labeled (by radiologists) cases of IPF patients' CT images. The percentage of honeycomb in the lung was calculated as the CT fibrosis score (CTS). The severity of the patients was evaluated by pulmonary function and physiological feature (PF) parameters (including FVC%pred, DLco%pred, SpO2%, age, and gender). Another 206 IPF cases were randomly divided into a training set ( = 165) and a verification set ( = 41) to calculate the fibrosis percentage in each case by the AI system mentioned previously. Then, using a competing risk (Fine-Gray) proportional hazards model, a risk score model was created according to the training set's patient data and used the validation data set to validate this model. The final risk prediction model (CTPF) was established, and it included the CT stages and the PF (pulmonary function and physiological features) grades. The CT stages were defined into three stages: stage I (CTS≤5), stage II (5 < CTS<25), and stage III (≥25). The PF grades were classified into mild (a, 0-3 points), moderate (b, 4-6 points), and severe (c, 7-10 points). The AUC index and Briers scores at 1, 2, and 3 years in the training set were as follows: 74.3 [63.2,85.4], 8.6 [2.4,14.8]; 78 [70.2,85.9], 16.0 [10.1,22.0]; and 72.8 [58.3,87.3], 18.2 [11.9,24.6]. The results of the validation sets were similar and suggested that high-risk patients had significantly higher mortality rates. This CTPF model with AI technology can predict mortality risk in IPF precisely.

摘要

特发性肺纤维化(IPF)需要一种精确的预后预测方法。本研究利用人工智能(AI)深度学习技术为IPF患者开发了一种新的死亡风险预测模型。我们建立了一个人工智能蜂窝分割系统,该系统能从102例由放射科医生手动标注的IPF患者CT图像中自动分割出蜂窝组织区域。计算肺内蜂窝组织的百分比作为CT纤维化评分(CTS)。通过肺功能和生理特征(PF)参数(包括预测FVC%、预测DLco%、SpO2%、年龄和性别)评估患者的严重程度。另外206例IPF病例被随机分为训练集(=165)和验证集(=41),通过上述AI系统计算每例患者的纤维化百分比。然后,使用竞争风险(Fine-Gray)比例风险模型,根据训练集患者数据创建风险评分模型,并使用验证数据集对该模型进行验证。最终建立了风险预测模型(CTPF),它包括CT分期和PF(肺功能和生理特征)分级。CT分期分为三个阶段:I期(CTS≤5)、II期(5 < CTS<25)和III期(≥25)。PF分级分为轻度(a,0-3分)、中度(b,4-6分)和重度(c,7-10分)。训练集1年、2年和3年的AUC指数和Briers评分如下:74.3 [63.2,85.4],8.6 [2.4,14.8];78 [70.2,85.9],16.0 [10.1,22.0];72.8 [58.3,8,7.3],18.2 [11.9,24.6]。验证集的结果相似,提示高危患者的死亡率显著更高。这种采用AI技术的CTPF模型能够精确预测IPF患者的死亡风险。

https://cdn.ncbi.nlm.nih.gov/pmc/blobs/95df/9086624/55605a877602/fphar-13-878764-g005.jpg
https://cdn.ncbi.nlm.nih.gov/pmc/blobs/95df/9086624/22de690709f9/fphar-13-878764-g001.jpg
https://cdn.ncbi.nlm.nih.gov/pmc/blobs/95df/9086624/3f0a94918b49/fphar-13-878764-g002.jpg
https://cdn.ncbi.nlm.nih.gov/pmc/blobs/95df/9086624/cb5aa5e665eb/fphar-13-878764-g003.jpg
https://cdn.ncbi.nlm.nih.gov/pmc/blobs/95df/9086624/6c28b85bbfbf/fphar-13-878764-g004.jpg
https://cdn.ncbi.nlm.nih.gov/pmc/blobs/95df/9086624/55605a877602/fphar-13-878764-g005.jpg
https://cdn.ncbi.nlm.nih.gov/pmc/blobs/95df/9086624/22de690709f9/fphar-13-878764-g001.jpg
https://cdn.ncbi.nlm.nih.gov/pmc/blobs/95df/9086624/3f0a94918b49/fphar-13-878764-g002.jpg
https://cdn.ncbi.nlm.nih.gov/pmc/blobs/95df/9086624/cb5aa5e665eb/fphar-13-878764-g003.jpg
https://cdn.ncbi.nlm.nih.gov/pmc/blobs/95df/9086624/6c28b85bbfbf/fphar-13-878764-g004.jpg
https://cdn.ncbi.nlm.nih.gov/pmc/blobs/95df/9086624/55605a877602/fphar-13-878764-g005.jpg

相似文献

1
Idiopathic Pulmonary Fibrosis Mortality Risk Prediction Based on Artificial Intelligence: The CTPF Model.基于人工智能的特发性肺纤维化死亡风险预测:CTPF模型
Front Pharmacol. 2022 Apr 26;13:878764. doi: 10.3389/fphar.2022.878764. eCollection 2022.
2
CT quantification of the heterogeneity of fibrosis boundaries in idiopathic pulmonary fibrosis.特发性肺纤维化中纤维化边界异质性的CT定量分析
Eur Radiol. 2021 Jul;31(7):5148-5159. doi: 10.1007/s00330-020-07594-y. Epub 2021 Jan 13.
3
Novel Artificial Intelligence-based Technology for Chest Computed Tomography Analysis of Idiopathic Pulmonary Fibrosis.基于新型人工智能技术的特发性肺纤维化胸部计算机断层扫描分析。
Ann Am Thorac Soc. 2022 Mar;19(3):399-406. doi: 10.1513/AnnalsATS.202101-044OC.
4
Artificial intelligence identifies inflammation and confirms fibroblast foci as prognostic tissue biomarkers in idiopathic pulmonary fibrosis.人工智能识别炎症,并确认成纤维细胞灶为特发性肺纤维化的预后组织生物标志物。
Hum Pathol. 2021 Jan;107:58-68. doi: 10.1016/j.humpath.2020.10.008. Epub 2020 Nov 5.
5
Quantitative CT analysis of honeycombing area in idiopathic pulmonary fibrosis: Correlations with pulmonary function tests.特发性肺纤维化中蜂窝状区域的定量CT分析:与肺功能测试的相关性
Eur J Radiol. 2016 Jan;85(1):125-130. doi: 10.1016/j.ejrad.2015.11.011. Epub 2015 Nov 7.
6
[A retrospective cohort study of prognostic factors for death in patients with idiopathic pulmonary fibrosis].[特发性肺纤维化患者死亡预后因素的回顾性队列研究]
Zhonghua Jie He He Hu Xi Za Zhi. 2010 Dec;33(12):887-91.
7
Disease progression in idiopathic pulmonary fibrosis with mild physiological impairment: analysis from the Australian IPF registry.特发性肺纤维化合并轻度生理损害的疾病进展:来自澳大利亚特发性肺纤维化登记处的分析。
BMC Pulm Med. 2018 Jan 25;18(1):19. doi: 10.1186/s12890-018-0575-y.
8
Small airway dysfunction in idiopathic pulmonary fibrosis.特发性肺纤维化中的小气道功能障碍
Front Pharmacol. 2022 Oct 11;13:1025814. doi: 10.3389/fphar.2022.1025814. eCollection 2022.
9
Development of a nomogram for predicting the presence of combined pulmonary fibrosis and emphysema.构建预测合并性肺纤维化和肺气肿存在的列线图。
BMC Pulm Med. 2021 Nov 7;21(1):349. doi: 10.1186/s12890-021-01725-x.
10
[Comparison of the clinical features of idiopathic pulmonary fibrosis in Japan and the U.S.A., based on disease severity].基于疾病严重程度的日本和美国特发性肺纤维化临床特征比较
Nihon Kokyuki Gakkai Zasshi. 2010 Dec;48(12):892-7.

引用本文的文献

1
The association of symptoms, pulmonary function test and computed tomography in interstitial lung disease at the onset of connective tissue disease: an observational study with artificial intelligence analysis of high-resolution computed tomography.结缔组织病发病时间质性肺疾病的症状、肺功能测试与计算机断层扫描的关联:一项对高分辨率计算机断层扫描进行人工智能分析的观察性研究
Rheumatol Int. 2025 Aug 12;45(9):194. doi: 10.1007/s00296-025-05934-z.
2
Radiomics-Based Artificial Intelligence and Machine Learning Approach for the Diagnosis and Prognosis of Idiopathic Pulmonary Fibrosis: A Systematic Review.基于影像组学的人工智能和机器学习方法用于特发性肺纤维化的诊断和预后:一项系统综述
Cureus. 2025 Jul 7;17(7):e87461. doi: 10.7759/cureus.87461. eCollection 2025 Jul.
3

本文引用的文献

1
Novel Artificial Intelligence-based Technology for Chest Computed Tomography Analysis of Idiopathic Pulmonary Fibrosis.基于新型人工智能技术的特发性肺纤维化胸部计算机断层扫描分析。
Ann Am Thorac Soc. 2022 Mar;19(3):399-406. doi: 10.1513/AnnalsATS.202101-044OC.
2
Automatic lung segmentation in routine imaging is primarily a data diversity problem, not a methodology problem.常规影像中的自动肺分割主要是一个数据多样性问题,而不是方法学问题。
Eur Radiol Exp. 2020 Aug 20;4(1):50. doi: 10.1186/s41747-020-00173-2.
3
Prostate Cancer Detection using Deep Convolutional Neural Networks.
Differences Between Patients with Probable UIP and Definite UIP on HRCT in Idiopathic Pulmonary Fibrosis: A Real-World Cohort Study.特发性肺纤维化中HRCT上可能的UIP和确诊的UIP患者之间的差异:一项真实世界队列研究
J Clin Med. 2024 Nov 26;13(23):7170. doi: 10.3390/jcm13237170.
4
The applications of CT with artificial intelligence in the prognostic model of idiopathic pulmonary fibrosis.人工智能 CT 在特发性肺纤维化预后模型中的应用。
Ther Adv Respir Dis. 2024 Jan-Dec;18:17534666241282538. doi: 10.1177/17534666241282538.
5
Artificial intelligence-based quantification of pulmonary HRCT (AIqpHRCT) for the evaluation of interstitial lung disease in patients with inflammatory rheumatic diseases.基于人工智能的肺部高分辨率 CT(AIqpHRCT)定量分析用于评估炎症性风湿病患者的间质性肺疾病。
Rheumatol Int. 2024 Nov;44(11):2483-2496. doi: 10.1007/s00296-024-05715-0. Epub 2024 Sep 9.
6
Identification of risk factors for acute exacerbation of idiopathic pulmonary fibrosis based on baseline high-resolution computed tomography: a prospective observational study.基于基线高分辨率计算机断层扫描对特发性肺纤维化急性加重的危险因素的识别:一项前瞻性观察研究。
BMC Pulm Med. 2024 Jul 19;24(1):352. doi: 10.1186/s12890-024-03172-w.
7
Compare three diagnostic criteria of progressive pulmonary fibrosis.比较三种进行性肺纤维化的诊断标准。
J Thorac Dis. 2024 Feb 29;16(2):1034-1043. doi: 10.21037/jtd-23-481. Epub 2024 Feb 27.
8
Small airway dysfunction in idiopathic pulmonary fibrosis.特发性肺纤维化中的小气道功能障碍
Front Pharmacol. 2022 Oct 11;13:1025814. doi: 10.3389/fphar.2022.1025814. eCollection 2022.
基于深度卷积神经网络的前列腺癌检测。
Sci Rep. 2019 Dec 20;9(1):19518. doi: 10.1038/s41598-019-55972-4.
4
Overview of model validation for survival regression model with competing risks using melanoma study data.使用黑色素瘤研究数据对具有竞争风险的生存回归模型进行模型验证概述。
Ann Transl Med. 2018 Aug;6(16):325. doi: 10.21037/atm.2018.07.38.
5
Diagnosis of Idiopathic Pulmonary Fibrosis. An Official ATS/ERS/JRS/ALAT Clinical Practice Guideline.特发性肺纤维化诊断。美国胸科学会/欧洲呼吸学会/日本呼吸学会/拉丁美洲胸科学会临床实践指南。
Am J Respir Crit Care Med. 2018 Sep 1;198(5):e44-e68. doi: 10.1164/rccm.201807-1255ST.
6
Nomogram for survival analysis in the presence of competing risks.存在竞争风险时生存分析的列线图
Ann Transl Med. 2017 Oct;5(20):403. doi: 10.21037/atm.2017.07.27.
7
Mortality prediction in idiopathic pulmonary fibrosis: evaluation of computer-based CT analysis with conventional severity measures.特发性肺纤维化的死亡率预测:基于计算机的 CT 分析与传统严重程度指标的评估。
Eur Respir J. 2017 Jan 25;49(1). doi: 10.1183/13993003.01011-2016. Print 2017 Jan.
8
The Registry of the International Society for Heart and Lung Transplantation: Thirty-second Official Adult Lung and Heart-Lung Transplantation Report--2015; Focus Theme: Early Graft Failure.国际心肺移植学会登记处:第32份成人肺移植和心肺联合移植官方报告——2015年;重点主题:早期移植物功能衰竭
J Heart Lung Transplant. 2015 Oct;34(10):1264-77. doi: 10.1016/j.healun.2015.08.014. Epub 2015 Sep 3.
9
CT staging and monitoring of fibrotic interstitial lung diseases in clinical practice and treatment trials: a position paper from the Fleischner Society.CT 分期和监测临床实践和治疗试验中的纤维化间质性肺疾病:弗勒施纳学会的立场文件。
Lancet Respir Med. 2015 Jun;3(6):483-96. doi: 10.1016/S2213-2600(15)00096-X. Epub 2015 May 11.
10
Safety and efficacy of pirfenidone in idiopathic pulmonary fibrosis in clinical practice.吡非尼酮治疗特发性肺纤维化的临床安全性和有效性。
Respir Med. 2013 Sep;107(9):1431-7. doi: 10.1016/j.rmed.2013.06.011. Epub 2013 Jul 9.