Suppr超能文献

通过潜在类别向量自回归对个体情感状态、饥饿和食物渴望的时间模式进行聚类。

Clustering individuals' temporal patterns of affective states, hunger, and food craving by latent class vector-autoregression.

机构信息

Department of Psychology, Centre for Cognitive Neuroscience, Paris-Lodron-University of Salzburg, Salzburg, Austria.

Department of Psychology, Clinical Psychology and Psychotherapy, University of Greifswald, Greifswald, Germany.

出版信息

Int J Behav Nutr Phys Act. 2022 May 21;19(1):57. doi: 10.1186/s12966-022-01293-1.

Abstract

BACKGROUND

Eating plays an important role in mental and physical health and is influenced by affective (e.g., emotions, stress) and appetitive (i.e., food craving, hunger) states, among others. Yet, substantial temporal variability and marked individual differences in these relationships have been reported. Exploratory data analytical approaches that account for variability between and within individuals might benefit respective theory development and subsequent confirmatory studies.

METHODS

Across 2 weeks, 115 individuals (83% female) reported on momentary affective states, hunger, and food craving six times a day. Based on these ecological momentary assessment (EMA) data we investigated whether latent class vector-autoregression (LCVAR) can identify different clusters of participants based on similarities in their temporal associations between these states.

RESULTS

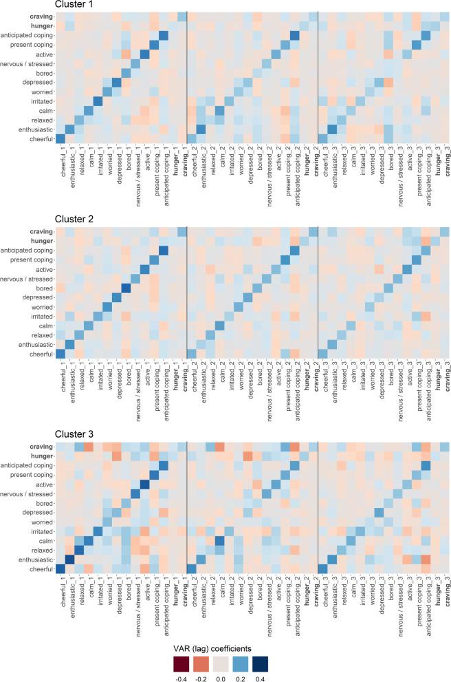
LCVAR allocated participants into three distinct clusters. Within clusters, we found both positive and negative associations between affective states and hunger/food craving, which further varied temporally across lags. Associations between hunger/food craving and subsequent affective states were more pronounced than vice versa. Clusters differed on eating-related traits such as stress-eating and food craving as well as on EMA completion rates.

DISCUSSION

LCVAR provides novel opportunities to analyse time-series data in affective science and eating behaviour research and uncovers that traditional models of affect-eating relationships might be overly simplistic. Temporal associations differ between subgroups of individuals with specific links to eating-related traits. Moreover, even within subgroups, differences in associations across time and specific affective states can be observed. To account for this high degree of variability, future research and theories should consider individual differences in direction and time lag of associations between affective states and eating behaviour, daytime and specific affective states. In addition to that, methodological implications for EMA research are discussed.

摘要

背景

饮食在身心健康中起着重要作用,受到情感(例如情绪、压力)和食欲(即食物渴望、饥饿)等状态的影响。然而,这些关系存在大量的时间可变性和明显的个体差异。考虑到个体之间和个体内部的变异性的探索性数据分析方法可能有益于各自的理论发展和随后的验证性研究。

方法

在 2 周的时间内,115 名个体(83%为女性)每天六次报告即时情感状态、饥饿感和食物渴望。基于这些生态瞬时评估(EMA)数据,我们调查了潜在类别向量自回归(LCVAR)是否可以根据这些状态之间的时间关联的相似性,基于参与者的相似性将参与者分为不同的类别。

结果

LCVAR 将参与者分配到三个不同的类别中。在每个类别中,我们发现情感状态和饥饿/食物渴望之间存在正向和负向关联,这些关联在时滞上也存在差异。饥饿/食物渴望与随后的情感状态之间的关联比反之更为明显。与进食相关的特质(如压力进食和食物渴望)以及 EMA 完成率方面,各聚类之间存在差异。

讨论

LCVAR 为分析情感科学和进食行为研究中的时间序列数据提供了新的机会,并揭示了传统的情感-进食关系模型可能过于简单。个体之间的时间关联存在差异,具有特定与进食相关特质的个体存在特定的联系。此外,即使在子组内,也可以观察到关联在时间和特定情感状态上的差异。为了考虑到这种高度的可变性,未来的研究和理论应该考虑情感状态和进食行为、白天和特定情感状态之间的关联的个体差异的方向和时间滞后。除此之外,还讨论了 EMA 研究的方法学意义。

https://cdn.ncbi.nlm.nih.gov/pmc/blobs/4b9d/9123755/bf11093d772e/12966_2022_1293_Fig1_HTML.jpg

文献检索

告别复杂PubMed语法,用中文像聊天一样搜索,搜遍4000万医学文献。AI智能推荐,让科研检索更轻松。

立即免费搜索

文件翻译

保留排版,准确专业,支持PDF/Word/PPT等文件格式,支持 12+语言互译。

免费翻译文档

深度研究

AI帮你快速写综述,25分钟生成高质量综述,智能提取关键信息,辅助科研写作。

立即免费体验