Suppr超能文献

气象因素对马来西亚登革热病例的影响。

The Effects of Meteorological Factors on Dengue Cases in Malaysia.

机构信息

Institute for Medical Research, Ministry of Health, Shah Alam 40170, Malaysia.

Institute for Research, Development and Innovation (IRDI), International Medical University, Kuala Lumpur 57000, Malaysia.

出版信息

Int J Environ Res Public Health. 2022 May 26;19(11):6449. doi: 10.3390/ijerph19116449.

Abstract

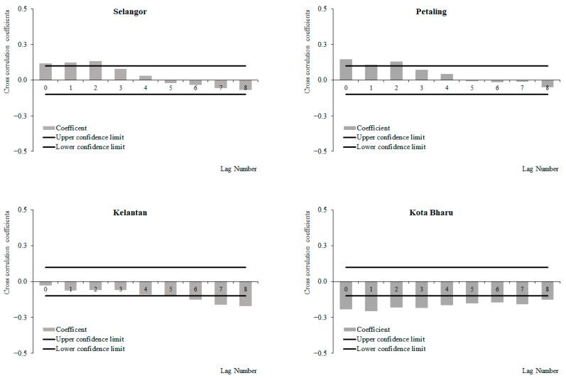
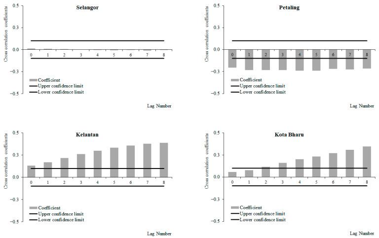
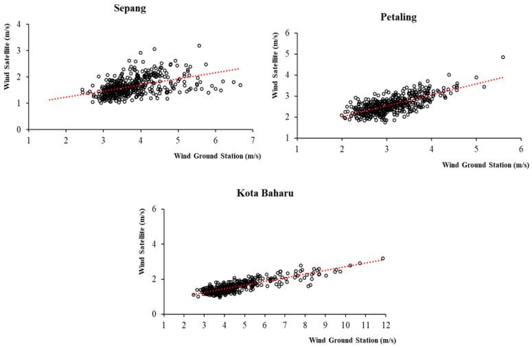
Dengue is a vector-borne disease affected by meteorological factors and is commonly recorded from ground stations. Data from ground station have limited spatial representation and accuracy, which can be overcome using satellite-based Earth Observation (EO) recordings instead. EO-based meteorological recordings can help to provide a better understanding of the correlations between meteorological variables and dengue cases. This paper aimed to first validate the satellite-based (EO) data of temperature, wind speed, and rainfall using ground station data. Subsequently, we aimed to determine if the spatially matched EO data correlated with dengue fever cases from 2011 to 2019 in Malaysia. EO data were spatially matched with the data from four ground stations located at states and districts in the central (Selangor, Petaling) and east coast (Kelantan, Kota Baharu) geographical regions of Peninsular Malaysia. Spearman's rank-order correlation coefficient (ρ) was performed to examine the correlation between EO and ground station data. A cross-correlation analysis with an eight-week lag period was performed to examine the magnitude of correlation between EO data and dengue case across the three time periods (2011-2019, 2015-2019, 2011-2014). The highest correlation between the ground-based stations and corresponding EO data were reported for temperature (mean ρ = 0.779), followed by rainfall (mean ρ = 0.687) and wind speed (mean ρ = 0.639). Overall, positive correlations were observed between weekly dengue cases and rainfall for Selangor and Petaling across all time periods with significant correlations being observed for the period from 2011 to 2019 and 2015 to 2019. In addition, positive significant correlations were also observed between weekly dengue cases and temperature for Kelantan and Kota Baharu across all time periods, while negative significant correlations between weekly dengue cases and temperature were observed in Selangor and Petaling across all time periods. Overall negative correlations were observed between weekly dengue cases and wind speed in all areas from 2011 to 2019 and 2015 to 2019, with significant correlations being observed for the period from 2015 to 2019. EO-derived meteorological variables explained 48.2% of the variation in dengue cases in Selangor. Moderate to strong correlations were observed between meteorological variables recorded from EO data derived from satellites and ground stations, thereby justifying the use of EO data as a viable alternative to ground stations for recording meteorological variables. Both rainfall and temperature were found to be positively correlated with weekly dengue cases; however, wind speed was negatively correlated with dengue cases.

摘要

登革热是一种受气象因素影响的虫媒病,通常通过地面站记录。地面站的数据在空间表示和准确性方面存在局限性,可以使用基于卫星的地球观测 (EO) 记录来克服。基于 EO 的气象记录有助于更好地理解气象变量与登革热病例之间的相关性。本文旨在首先使用地面站数据验证基于卫星的 (EO) 温度、风速和降雨量数据。随后,我们旨在确定 2011 年至 2019 年马来西亚是否存在与登革热病例相关的空间匹配的 EO 数据。EO 数据与位于半岛马来西亚中部 (雪兰莪、八打灵) 和东海岸 (吉兰丹、哥打巴鲁) 地理区域的四个地面站的数据进行了空间匹配。使用 Spearman 等级相关系数 (ρ) 检验 EO 和地面站数据之间的相关性。使用 8 周的滞后期进行交叉相关分析,以检验三个时期 (2011-2019 年、2015-2019 年、2011-2014 年) 之间 EO 数据与登革热病例之间的相关性大小。地面站与相应 EO 数据之间的最高相关性报告为温度 (平均 ρ = 0.779),其次是降雨量 (平均 ρ = 0.687) 和风速 (平均 ρ = 0.639)。总体而言,在所有时期,雪兰莪和八打灵的每周登革热病例与降雨量呈正相关,并且在 2011 年至 2019 年和 2015 年至 2019 年期间观察到显著相关性。此外,在所有时期,吉兰丹和哥打巴鲁的每周登革热病例与温度之间也观察到正显著相关性,而在所有时期,雪兰莪和八打灵的每周登革热病例与温度之间观察到负显著相关性。总体而言,在 2011 年至 2019 年和 2015 年至 2019 年期间,所有地区每周登革热病例与风速之间均呈负相关,在 2015 年至 2019 年期间观察到显著相关性。EO 衍生的气象变量解释了登革热病例在雪兰莪的 48.2%变化。从卫星衍生的 EO 数据记录的气象变量与地面站记录的气象变量之间观察到中等至强相关性,从而证明 EO 数据可作为记录气象变量的可行替代地面站。降雨量和温度与每周登革热病例呈正相关;然而,风速与登革热病例呈负相关。

https://cdn.ncbi.nlm.nih.gov/pmc/blobs/1824/9180499/d6531ce0c3bf/ijerph-19-06449-g0A1.jpg

文献检索

告别复杂PubMed语法,用中文像聊天一样搜索,搜遍4000万医学文献。AI智能推荐,让科研检索更轻松。

立即免费搜索

文件翻译

保留排版,准确专业,支持PDF/Word/PPT等文件格式,支持 12+语言互译。

免费翻译文档

深度研究

AI帮你快速写综述,25分钟生成高质量综述,智能提取关键信息,辅助科研写作。

立即免费体验