• 文献检索
  • 文档翻译
  • 深度研究
  • 学术资讯
  • Suppr Zotero 插件Zotero 插件
  • 邀请有礼
  • 套餐&价格
  • 历史记录
应用&插件
Suppr Zotero 插件Zotero 插件浏览器插件Mac 客户端Windows 客户端微信小程序
定价
高级版会员购买积分包购买API积分包
服务
文献检索文档翻译深度研究API 文档MCP 服务
关于我们
关于 Suppr公司介绍联系我们用户协议隐私条款
关注我们

Suppr 超能文献

核心技术专利:CN118964589B侵权必究
粤ICP备2023148730 号-1Suppr @ 2026

文献检索

告别复杂PubMed语法,用中文像聊天一样搜索,搜遍4000万医学文献。AI智能推荐,让科研检索更轻松。

立即免费搜索

文件翻译

保留排版,准确专业,支持PDF/Word/PPT等文件格式,支持 12+语言互译。

免费翻译文档

深度研究

AI帮你快速写综述,25分钟生成高质量综述,智能提取关键信息,辅助科研写作。

立即免费体验

比较用于评估生物多样性河口鱼类群落的 eDNA metabarcoding 引物。

Comparing eDNA metabarcoding primers for assessing fish communities in a biodiverse estuary.

机构信息

Department of Biology, University of Central Florida, Genomics and Bioinformatics Cluster, Orlando, FL, United States of America.

出版信息

PLoS One. 2022 Jun 17;17(6):e0266720. doi: 10.1371/journal.pone.0266720. eCollection 2022.

DOI:10.1371/journal.pone.0266720
PMID:35714082
原文链接:https://pmc.ncbi.nlm.nih.gov/articles/PMC9205523/
Abstract

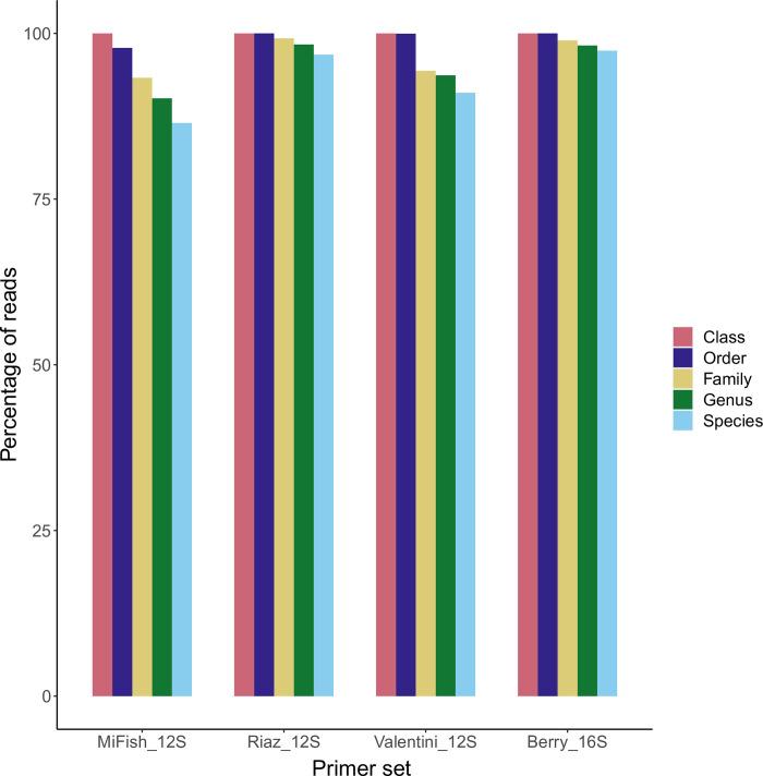
Metabarcoding of environmental DNA is increasingly used for biodiversity assessments in aquatic communities. The efficiency and outcome of these efforts are dependent upon either de novo primer design or selecting an appropriate primer set from the dozens that have already been published. Unfortunately, there is a lack of studies that have directly compared the efficacy of different metabarcoding primers in marine and estuarine systems. Here we evaluate five commonly used primer sets designed to amplify rRNA barcoding genes in fishes and compare their performance using water samples collected from estuarine sites in the highly biodiverse Indian River Lagoon in Florida. Three of the five primer sets amplify a portion of the mitochondrial 12S gene (MiFish_12S, 171bp; Riaz_12S, 106 bp; Valentini_12S, 63 bp), one amplifies 219 bp of the mitochondrial 16S gene (Berry_16S), and the other amplifies 271 bp of the nuclear 18S gene (MacDonald_18S). The vast majority of the metabarcoding reads (> 99%) generated using the 18S primer set assigned to non-target (non-fish) taxa and therefore this primer set was omitted from most analyses. Using a conservative 99% similarity threshold for species level assignments, we detected a comparable number of species (55 and 49, respectively) and similarly high Shannon's diversity values for the Riaz_12S and Berry_16S primer sets. Meanwhile, just 34 and 32 species were detected using the MiFish_12S and Valentini_12S primer sets, respectively. We were able to amplify both bony and cartilaginous fishes using the four primer sets with the vast majority of reads (>99%) assigned to the former. We detected the greatest number of elasmobranchs (six species) with the Riaz_12S primer set suggesting that it may be a suitable candidate set for the detection of sharks and rays. Of the total 76 fish species that were identified across all datasets, the combined three 12S primer sets detected 85.5% (65 species) while the combination of the Riaz_12S and Berry_16S primers detected 93.4% (71 species). These results highlight the importance of employing multiple primer sets as well as using primers that target different genomic regions. Moreover, our results suggest that the widely adopted MiFish_12S primers may not be the best choice, rather we found that the Riaz_12S primer set was the most effective for eDNA-based fish surveys in our system.

摘要

环境 DNA 的代谢条形码技术越来越多地用于水生生物群落的生物多样性评估。这些工作的效率和结果取决于从头设计引物或从已经发表的数十个引物中选择合适的引物。不幸的是,很少有研究直接比较不同代谢条形码引物在海洋和河口系统中的效果。在这里,我们评估了五个常用于扩增鱼类 rRNA 条形码基因的通用引物集,并使用从佛罗里达州高度生物多样性的印度河泻湖河口采集的水样比较它们的性能。五个引物集中的三个扩增了线粒体 12S 基因的一部分(MiFish_12S,171bp;Riaz_12S,106bp;Valentini_12S,63bp),一个扩增了线粒体 16S 基因的 219bp(Berry_16S),另一个扩增了核 18S 基因的 271bp(MacDonald_18S)。使用 18S 引物生成的绝大多数代谢条形码读数(>99%)分配给非目标(非鱼类)分类群,因此该引物集在大多数分析中被忽略。使用物种水平分配的保守 99%相似性阈值,我们检测到数量相当的物种(分别为 55 种和 49 种)和同样高的 Shannon 多样性值,对于 Riaz_12S 和 Berry_16S 引物集。同时,仅使用 MiFish_12S 和 Valentini_12S 引物集分别检测到 34 种和 32 种。我们能够使用四个引物集扩增硬骨鱼和软骨鱼,其中绝大多数读数(>99%)分配给前者。我们使用 Riaz_12S 引物集检测到的鲨鱼和鳐鱼数量最多(六种),这表明它可能是检测鲨鱼和鳐鱼的合适候选引物集。在所有数据集共鉴定的 76 种鱼类中,组合的三个 12S 引物集检测到 85.5%(65 种),而 Riaz_12S 和 Berry_16S 引物的组合检测到 93.4%(71 种)。这些结果强调了使用多个引物集以及使用靶向不同基因组区域的引物的重要性。此外,我们的结果表明,广泛采用的 MiFish_12S 引物可能不是最佳选择,相反,我们发现 Riaz_12S 引物集是我们系统中基于 eDNA 的鱼类调查最有效的引物。

https://cdn.ncbi.nlm.nih.gov/pmc/blobs/0c19/9205523/e61d188dc1fb/pone.0266720.g003.jpg
https://cdn.ncbi.nlm.nih.gov/pmc/blobs/0c19/9205523/5ea1fbc37c71/pone.0266720.g001.jpg
https://cdn.ncbi.nlm.nih.gov/pmc/blobs/0c19/9205523/e15b6570446f/pone.0266720.g002.jpg
https://cdn.ncbi.nlm.nih.gov/pmc/blobs/0c19/9205523/e61d188dc1fb/pone.0266720.g003.jpg
https://cdn.ncbi.nlm.nih.gov/pmc/blobs/0c19/9205523/5ea1fbc37c71/pone.0266720.g001.jpg
https://cdn.ncbi.nlm.nih.gov/pmc/blobs/0c19/9205523/e15b6570446f/pone.0266720.g002.jpg
https://cdn.ncbi.nlm.nih.gov/pmc/blobs/0c19/9205523/e61d188dc1fb/pone.0266720.g003.jpg

相似文献

1
Comparing eDNA metabarcoding primers for assessing fish communities in a biodiverse estuary.比较用于评估生物多样性河口鱼类群落的 eDNA metabarcoding 引物。
PLoS One. 2022 Jun 17;17(6):e0266720. doi: 10.1371/journal.pone.0266720. eCollection 2022.
2
Merging two eDNA metabarcoding approaches and citizen-science-based sampling to facilitate fish community monitoring along vast Sub-Saharan coastlines.融合两种基于 eDNA metabarcoding 的方法和基于公民科学的采样,以促进撒哈拉以南广阔海岸线的鱼类群落监测。
Mol Ecol Resour. 2023 Oct;23(7):1641-1655. doi: 10.1111/1755-0998.13839. Epub 2023 Jul 18.
3
Environmental DNA metabarcoding of water samples as a tool for monitoring Iberian freshwater fish composition.环境 DNA metabarcoding 水样作为监测伊比利亚淡水鱼组成的工具。
PLoS One. 2023 Oct 30;18(10):e0283088. doi: 10.1371/journal.pone.0283088. eCollection 2023.
4
Environmental DNA metabarcoding of freshwater fish in Malaysian tropical rivers using short-read nanopore sequencing as a potential biomonitoring tool.采用短读长纳米孔测序的马来西亚热带河流淡水鱼类环境 DNA 宏条形码作为一种潜在的生物监测工具
Mol Ecol Resour. 2024 May;24(4):e13936. doi: 10.1111/1755-0998.13936. Epub 2024 Feb 28.
5
Ecological forensic testing: Using multiple primers for eDNA detection of marine vertebrates in an estuarine lagoon subject to anthropogenic influences.生态法庭检测:在受人为影响的河口泻湖中,使用多对引物进行海洋脊椎动物的 eDNA 检测。
Gene. 2024 Nov 30;928:148720. doi: 10.1016/j.gene.2024.148720. Epub 2024 Jun 25.
6
Environmental DNA metabarcoding primers for freshwater fish detection and quantification: In silico and in tanks.用于淡水鱼检测和定量的环境DNA宏条形码引物:计算机模拟和水箱实验
Ecol Evol. 2021 May 16;11(12):8281-8294. doi: 10.1002/ece3.7658. eCollection 2021 Jun.
7
Assessing a megadiverse but poorly known community of fishes in a tropical mangrove estuary through environmental DNA (eDNA) metabarcoding.利用环境 DNA(eDNA) metabarcoding 评估热带红树林河口中一个多样性极高但知之甚少的鱼类群落。
Sci Rep. 2022 Sep 29;12(1):16346. doi: 10.1038/s41598-022-19954-3.
8
Improving metabarcoding taxonomic assignment: A case study of fishes in a large marine ecosystem.改进代谢条码分类学分配:大型海洋生态系统中鱼类的案例研究。
Mol Ecol Resour. 2021 Oct;21(7):2546-2564. doi: 10.1111/1755-0998.13450. Epub 2021 Jul 8.
9
A large scale temporal and spatial environmental DNA biodiversity survey of marine vertebrates in Brazil following the Fundão tailings dam failure.巴西丰当尾矿坝溃坝后对海洋脊椎动物进行的大规模时空环境 DNA 生物多样性调查。
Mar Environ Res. 2023 Nov;192:106239. doi: 10.1016/j.marenvres.2023.106239. Epub 2023 Oct 28.
10
MiFish, a set of universal PCR primers for metabarcoding environmental DNA from fishes: detection of more than 230 subtropical marine species.MiFish,一组通用的鱼类环境 DNA metabarcoding PCR 引物:可检测 230 多种亚热带海洋物种。
R Soc Open Sci. 2015 Jul 22;2(7):150088. doi: 10.1098/rsos.150088. eCollection 2015 Jul.

引用本文的文献

1
Validation of improved cytochrome c oxidase I (COI) primers for comprehensive biodiversity assessment of ascidians.用于海鞘全面生物多样性评估的改良细胞色素c氧化酶I(COI)引物的验证
PeerJ. 2025 Jul 14;13:e19671. doi: 10.7717/peerj.19671. eCollection 2025.
2
Hydrological Connectivity Enhances Fish Biodiversity in Amazonian Mining Ponds: Insights From eDNA and Traditional Sampling.水文连通性增强了亚马逊矿区池塘的鱼类生物多样性:来自环境DNA和传统采样的见解
Mol Ecol. 2025 Jun;34(11):e17784. doi: 10.1111/mec.17784. Epub 2025 May 9.
3
A Comprehensive Evaluation of Taxonomic Classifiers in Marine Vertebrate eDNA Studies.

本文引用的文献

1
Environmental DNA reveals the fine-grained and hierarchical spatial structure of kelp forest fish communities.环境 DNA 揭示了大型海藻林鱼类群落的精细和层次化的空间结构。
Sci Rep. 2021 Jul 14;11(1):14439. doi: 10.1038/s41598-021-93859-5.
2
Environmental DNA metabarcoding primers for freshwater fish detection and quantification: In silico and in tanks.用于淡水鱼检测和定量的环境DNA宏条形码引物:计算机模拟和水箱实验
Ecol Evol. 2021 May 16;11(12):8281-8294. doi: 10.1002/ece3.7658. eCollection 2021 Jun.
3
DNA Metabarcoding for the Characterization of Terrestrial Microbiota-Pitfalls and Solutions.
海洋脊椎动物环境DNA研究中分类鉴定器的综合评估
Mol Ecol Resour. 2025 Oct;25(7):e14107. doi: 10.1111/1755-0998.14107. Epub 2025 Apr 17.
4
Checklist of ichthyoplankton of NORI-D polymetallic nodule exploration claim (eastern Clarion-Clipperton Zone) during winter 2021.2021年冬季北里-D多金属结核勘探区(东克拉里昂-克利珀顿区)浮游鱼类清单。
Biodivers Data J. 2025 Feb 18;13:e137744. doi: 10.3897/BDJ.13.e137744. eCollection 2025.
5
Important fish diversity maintenance status of the tributaries in a hotspot fish conservation area in the upper Yangtze River revealed by eDNA metabarcoding.利用 DNA 条形码技术揭示长江上游热点鱼类保护区支流的重要鱼类多样性维持状况。
Sci Rep. 2024 Oct 15;14(1):24128. doi: 10.1038/s41598-024-75176-9.
6
Barcoding of Italian mosquitoes (BITMO): generation and validation of DNA barcoding reference libraries for native and alien species of Culicidae.意大利蚊虫 DNA 条形码(BITMO):本土和外来库蚊科物种 DNA 条形码参考文库的生成和验证。
Parasit Vectors. 2024 Sep 28;17(1):407. doi: 10.1186/s13071-024-06478-0.
7
Environment DNA Reveals Fish Diversity in a Canyon River within the Upper Pearl River Drainage.环境DNA揭示珠江上游流域某峡谷河流中的鱼类多样性。
Animals (Basel). 2024 Aug 22;14(16):2433. doi: 10.3390/ani14162433.
8
Application of environmental DNA metabarcoding to identify fish community characteristics in subtropical river systems.环境DNA宏条形码技术在亚热带河流系统鱼类群落特征识别中的应用。
Ecol Evol. 2024 May 9;14(5):e11214. doi: 10.1002/ece3.11214. eCollection 2024 May.
用于陆地微生物群特征描述的DNA宏条形码分析——陷阱与解决方案
Microorganisms. 2021 Feb 12;9(2):361. doi: 10.3390/microorganisms9020361.
4
eDNA metabarcoding as a biomonitoring tool for marine protected areas.环境 DNA 宏条形码作为海洋保护区的生物监测工具。
PLoS One. 2021 Feb 24;16(2):e0238557. doi: 10.1371/journal.pone.0238557. eCollection 2021.
5
New 12S metabarcoding primers for enhanced Neotropical freshwater fish biodiversity assessment.新型 12S 代谢组条形码引物可提高新热带淡水鱼生物多样性评估效果。
Sci Rep. 2020 Oct 21;10(1):17966. doi: 10.1038/s41598-020-74902-3.
6
Environmental DNA effectively captures functional diversity of coastal fish communities.环境 DNA 有效地捕获了沿海鱼类群落的功能多样性。
Mol Ecol. 2021 Jul;30(13):3127-3139. doi: 10.1111/mec.15661. Epub 2020 Oct 20.
7
Space-time dynamics in monitoring neotropical fish communities using eDNA metabarcoding.利用 eDNA 宏条形码监测新热带鱼类群落的时空动态。
Sci Total Environ. 2021 Feb 1;754:142096. doi: 10.1016/j.scitotenv.2020.142096. Epub 2020 Sep 1.
8
Marine environmental DNA: Approaches, applications, and opportunities.海洋环境 DNA:方法、应用和机遇。
Adv Mar Biol. 2020;86(1):141-169. doi: 10.1016/bs.amb.2020.01.001. Epub 2020 May 21.
9
eDNA metabarcoding survey reveals fine-scale coral reef community variation across a remote, tropical island ecosystem.基于宏基因组学的环境 DNA 条形码技术揭示了偏远热带岛屿生态系统中珊瑚礁群落的精细尺度变化。
Mol Ecol. 2020 Mar;29(6):1069-1086. doi: 10.1111/mec.15382. Epub 2020 Mar 2.
10
Watered-down biodiversity? A comparison of metabarcoding results from DNA extracted from matched water and bulk tissue biomonitoring samples.稀释的生物多样性?来自匹配的水和组织生物监测样本中提取的 DNA 的 metabarcoding 结果比较。
PLoS One. 2019 Dec 12;14(12):e0225409. doi: 10.1371/journal.pone.0225409. eCollection 2019.