• 文献检索
  • 文档翻译
  • 深度研究
  • 学术资讯
  • Suppr Zotero 插件Zotero 插件
  • 邀请有礼
  • 套餐&价格
  • 历史记录
应用&插件
Suppr Zotero 插件Zotero 插件浏览器插件Mac 客户端Windows 客户端微信小程序
定价
高级版会员购买积分包购买API积分包
服务
文献检索文档翻译深度研究API 文档MCP 服务
关于我们
关于 Suppr公司介绍联系我们用户协议隐私条款
关注我们

Suppr 超能文献

核心技术专利:CN118964589B侵权必究
粤ICP备2023148730 号-1Suppr @ 2026

文献检索

告别复杂PubMed语法,用中文像聊天一样搜索,搜遍4000万医学文献。AI智能推荐,让科研检索更轻松。

立即免费搜索

文件翻译

保留排版,准确专业,支持PDF/Word/PPT等文件格式,支持 12+语言互译。

免费翻译文档

深度研究

AI帮你快速写综述,25分钟生成高质量综述,智能提取关键信息,辅助科研写作。

立即免费体验

包含氧合血红蛋白、脱氧血红蛋白、水和脂质的双层散射介质的宽带漫射光学光谱学。

Broadband diffuse optical spectroscopy of two-layered scattering media containing oxyhemoglobin, deoxyhemoglobin, water, and lipids.

作者信息

Blaney Giles, Bottoni Martina, Sassaroli Angelo, Fernandez Cristianne, Fantini Sergio

机构信息

Department of Biomedical Engineering, Tufts University 4 Colby St, Medford, MA 02155, USA.

Department of Biomedical Engineering, Politecnico di Torino 24 Corso Duca degli Abruzzi, Torino, TO 10129, Italy.

出版信息

J Innov Opt Health Sci. 2022 May;15(3). doi: 10.1142/s1793545822500201. Epub 2022 Apr 7.

DOI:10.1142/s1793545822500201
PMID:35720681
原文链接:https://pmc.ncbi.nlm.nih.gov/articles/PMC9203000/
Abstract

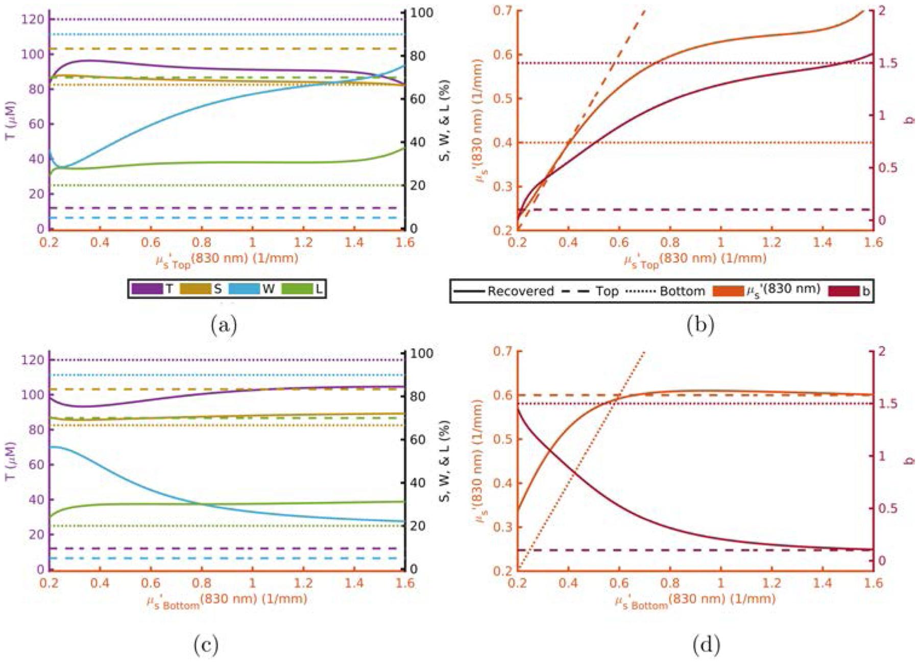
We investigated the relationship between chromophore concentrations in two-layered scattering media and the apparent chromophore concentrations measured with broadband optical spectroscopy in conjunction with commonly used homogeneous medium inverse models. We used diffusion theory togenerate optical data from a two-layered distribution of relevant tissue absorbers, namely, oxyhemoglobin, deoxyhemoglobin, water, and lipids, with a top-layer thickness in the range 1-15 mm. The generated data consisted of broadband continuous-wave (CW) diffuse reflectance in the wavelength range 650-1024 nm, and frequency-domain (FD) diffuse reflectance at 690 and 830 nm; two source-detector distances of 25 and 35 mm were used to simulate a dual-slope technique. The data were inverted using diffusion theory for a semi-infinite homogeneous medium to generate reduced scattering coefficients at 690 and 830 nm (from FD data) and effective absorption spectra in the range 650-1024 nm (from CW data). The absorption spectra were then converted into effective total concentration and oxygen saturation of hemoglobin, as well as water and lipid concentrations. For absolute values, it was found that the effective hemoglobin parameters are typically representative of the bottom layer, whereas water and lipid represent some average of the respective concentrations in the two layers. For concentration changes, lipid showed a significant cross-talk with other absorber concentrations, thus indicating that lipid dynamics obtained in these conditions may not be reliable. These systematic simulations of broadband spectroscopy of two-layered media provide guidance on how to interpret effective optical properties measured with similar instrumental setups under the assumption of medium homogeneity.

摘要

我们研究了两层散射介质中发色团浓度与通过宽带光学光谱结合常用的均匀介质反演模型测量的表观发色团浓度之间的关系。我们使用扩散理论从相关组织吸收体(即氧合血红蛋白、脱氧血红蛋白、水和脂质)的两层分布生成光学数据,顶层厚度范围为1 - 15毫米。生成的数据包括波长范围在650 - 1024纳米的宽带连续波(CW)漫反射率,以及690和830纳米处的频域(FD)漫反射率;使用25和35毫米的两个源 - 探测器距离来模拟双斜率技术。利用半无限均匀介质的扩散理论对数据进行反演,以生成690和830纳米处的约化散射系数(来自FD数据)以及650 - 1024纳米范围内的有效吸收光谱(来自CW数据)。然后将吸收光谱转换为血红蛋白的有效总浓度和氧饱和度,以及水和脂质浓度。对于绝对值,发现有效血红蛋白参数通常代表底层,而水和脂质代表两层中各自浓度的某种平均值。对于浓度变化,脂质与其他吸收体浓度表现出显著的串扰,因此表明在这些条件下获得的脂质动力学可能不可靠。这些两层介质宽带光谱的系统模拟为在介质均匀性假设下如何解释使用类似仪器设置测量的有效光学性质提供了指导。

https://cdn.ncbi.nlm.nih.gov/pmc/blobs/a9a0/9203000/e2126ab56ac1/nihms-1813169-f0008.jpg
https://cdn.ncbi.nlm.nih.gov/pmc/blobs/a9a0/9203000/972847da8c70/nihms-1813169-f0001.jpg
https://cdn.ncbi.nlm.nih.gov/pmc/blobs/a9a0/9203000/086482bdba81/nihms-1813169-f0002.jpg
https://cdn.ncbi.nlm.nih.gov/pmc/blobs/a9a0/9203000/f782ffc74833/nihms-1813169-f0003.jpg
https://cdn.ncbi.nlm.nih.gov/pmc/blobs/a9a0/9203000/8e3799deaeee/nihms-1813169-f0004.jpg
https://cdn.ncbi.nlm.nih.gov/pmc/blobs/a9a0/9203000/e76e1cadee52/nihms-1813169-f0005.jpg
https://cdn.ncbi.nlm.nih.gov/pmc/blobs/a9a0/9203000/0e02e5c06d8a/nihms-1813169-f0006.jpg
https://cdn.ncbi.nlm.nih.gov/pmc/blobs/a9a0/9203000/51b30c71768e/nihms-1813169-f0007.jpg
https://cdn.ncbi.nlm.nih.gov/pmc/blobs/a9a0/9203000/e2126ab56ac1/nihms-1813169-f0008.jpg
https://cdn.ncbi.nlm.nih.gov/pmc/blobs/a9a0/9203000/972847da8c70/nihms-1813169-f0001.jpg
https://cdn.ncbi.nlm.nih.gov/pmc/blobs/a9a0/9203000/086482bdba81/nihms-1813169-f0002.jpg
https://cdn.ncbi.nlm.nih.gov/pmc/blobs/a9a0/9203000/f782ffc74833/nihms-1813169-f0003.jpg
https://cdn.ncbi.nlm.nih.gov/pmc/blobs/a9a0/9203000/8e3799deaeee/nihms-1813169-f0004.jpg
https://cdn.ncbi.nlm.nih.gov/pmc/blobs/a9a0/9203000/e76e1cadee52/nihms-1813169-f0005.jpg
https://cdn.ncbi.nlm.nih.gov/pmc/blobs/a9a0/9203000/0e02e5c06d8a/nihms-1813169-f0006.jpg
https://cdn.ncbi.nlm.nih.gov/pmc/blobs/a9a0/9203000/51b30c71768e/nihms-1813169-f0007.jpg
https://cdn.ncbi.nlm.nih.gov/pmc/blobs/a9a0/9203000/e2126ab56ac1/nihms-1813169-f0008.jpg

相似文献

1
Broadband diffuse optical spectroscopy of two-layered scattering media containing oxyhemoglobin, deoxyhemoglobin, water, and lipids.包含氧合血红蛋白、脱氧血红蛋白、水和脂质的双层散射介质的宽带漫射光学光谱学。
J Innov Opt Health Sci. 2022 May;15(3). doi: 10.1142/s1793545822500201. Epub 2022 Apr 7.
2
Method for recovering quantitative broadband diffuse optical spectra from layered media.从分层介质中恢复定量宽带漫射光谱的方法。
Appl Opt. 2007 Jul 20;46(21):4828-33. doi: 10.1364/ao.46.004828.
3
Optical measurements of absorption changes in two-layered diffusive media.双层扩散介质中吸收变化的光学测量。
Phys Med Biol. 2004 Apr 7;49(7):1183-201. doi: 10.1088/0031-9155/49/7/007.
4
Influence of a superficial layer in the quantitative spectroscopic study of strongly scattering media.表层对强散射介质定量光谱研究的影响。
Appl Opt. 1998 Nov 1;37(31):7447-58. doi: 10.1364/ao.37.007447.
5
Single-distance and dual-slope frequency-domain near-infrared spectroscopy to assess skeletal muscle hemodynamics.单距离和双斜率频域近红外光谱法评估骨骼肌血液动力学。
J Biomed Opt. 2023 Dec;28(12):125004. doi: 10.1117/1.JBO.28.12.125004. Epub 2023 Dec 14.
6
Quantitative In Vivo Imaging of Tissue Absorption, Scattering, and Hemoglobin Concentration in Rat Cortex Using Spatially Modulated Structured Light使用空间调制结构光对大鼠皮层组织吸收、散射和血红蛋白浓度进行定量体内成像
7
Artificial neural networks for retrieving absorption and reduced scattering spectra from frequency-domain diffuse reflectance spectroscopy at short source-detector separation.用于在短源-探测器间距下从频域漫反射光谱中获取吸收光谱和约化散射光谱的人工神经网络。
Biomed Opt Express. 2016 Mar 24;7(4):1496-510. doi: 10.1364/BOE.7.001496. eCollection 2016 Apr 1.
8
Optical characterization of two-layered turbid media for non-invasive, absolute oximetry in cerebral and extracerebral tissue.用于脑内和脑外组织无创、绝对血氧测量的双层混浊介质的光学特性。
PLoS One. 2013 May 21;8(5):e64095. doi: 10.1371/journal.pone.0064095. Print 2013.
9
Verification of a two-layer inverse Monte Carlo absorption model using multiple source-detector separation diffuse reflectance spectroscopy.使用多源 - 探测器分离漫反射光谱法验证双层逆蒙特卡罗吸收模型
Biomed Opt Express. 2013 Dec 2;5(1):40-53. doi: 10.1364/BOE.5.000040.
10
Sequential estimation of optical properties of a two-layered epithelial tissue model from depth-resolved ultraviolet-visible diffuse reflectance spectra.从深度分辨的紫外-可见漫反射光谱对双层上皮组织模型的光学特性进行序贯估计。
Appl Opt. 2006 Jul 1;45(19):4776-90. doi: 10.1364/ao.45.004776.

引用本文的文献

1
Study of Minor Chromophores in Biological Tissues by Diffuse Optical Spectroscopy (Review).通过漫射光谱法对生物组织中的微量发色团进行研究(综述)。
Sovrem Tekhnologii Med. 2025;17(1):146-162. doi: 10.17691/stm2025.17.1.12. Epub 2025 Feb 28.
2
Single-distance and dual-slope frequency-domain near-infrared spectroscopy to assess skeletal muscle hemodynamics.单距离和双斜率频域近红外光谱法评估骨骼肌血液动力学。
J Biomed Opt. 2023 Dec;28(12):125004. doi: 10.1117/1.JBO.28.12.125004. Epub 2023 Dec 14.
3
Robustness of tissue oxygenation estimates by continuous wave space-resolved near infrared spectroscopy.

本文引用的文献

1
Dual-Slope Diffuse Reflectance Instrument for Calibration-Free Broadband Spectroscopy.用于免校准宽带光谱学的双斜率漫反射仪。
Appl Sci (Basel). 2021 Feb 2;11(4). doi: 10.3390/app11041757. Epub 2021 Feb 16.
2
Broadband absorption spectroscopy of heterogeneous biological tissue.非均匀生物组织的宽带吸收光谱。
Appl Opt. 2021 Sep 1;60(25):7552-7562. doi: 10.1364/AO.431013.
3
Multi-distance frequency-domain optical measurements of coherent cerebral hemodynamics.相干性脑血流动力学的多距离频域光学测量
连续波空间分辨近红外光谱法估计组织氧合的稳健性。
J Biomed Opt. 2023 Jul;28(7):075002. doi: 10.1117/1.JBO.28.7.075002. Epub 2023 Jul 17.
4
Dual-slope imaging of cerebral hemodynamics with frequency-domain near-infrared spectroscopy.频域近红外光谱法对脑血流动力学的双斜率成像
Neurophotonics. 2023 Jan;10(1):013508. doi: 10.1117/1.NPh.10.1.013508. Epub 2023 Jan 2.
Photonics. 2019;6(3). doi: 10.3390/photonics6030083. Epub 2019 Jul 26.
4
Dual-slope method for enhanced depth sensitivity in diffuse optical spectroscopy.用于增强漫射光学光谱深度灵敏度的双斜率方法。
J Opt Soc Am A Opt Image Sci Vis. 2019 Oct 1;36(10):1743-1761. doi: 10.1364/JOSAA.36.001743.
5
Phase dual-slopes in frequency-domain near-infrared spectroscopy for enhanced sensitivity to brain tissue: First applications to human subjects.频域近红外光谱中的相位双斜率用于增强对脑组织的敏感性:首次应用于人体受试者。
J Biophotonics. 2020 Jan;13(1):e201960018. doi: 10.1002/jbio.201960018. Epub 2019 Oct 2.
6
Muscle Oximetry in Sports Science: A Systematic Review.肌肉氧饱和度在运动科学中的应用:系统评价。
Sports Med. 2018 Mar;48(3):597-616. doi: 10.1007/s40279-017-0820-1.
7
Review of optical breast imaging and spectroscopy.光学乳腺成像和光谱学综述。
J Biomed Opt. 2016 Sep;21(9):091311. doi: 10.1117/1.JBO.21.9.091311.
8
A brief review on the history of human functional near-infrared spectroscopy (fNIRS) development and fields of application.简要回顾人类功能性近红外光谱(fNIRS)发展的历史和应用领域。
Neuroimage. 2012 Nov 1;63(2):921-35. doi: 10.1016/j.neuroimage.2012.03.049. Epub 2012 Mar 28.
9
Quantitative investigation of the effect of the extra-cerebral vasculature in diffuse optical imaging: a simulation study.脑外血管系统在扩散光学成像中作用的定量研究:一项模拟研究
Biomed Opt Express. 2011 Feb 23;2(3):680-95. doi: 10.1364/BOE.2.000680.
10
Mesh-based Monte Carlo method using fast ray-tracing in Plücker coordinates.基于网格的蒙特卡罗方法在普吕克坐标中使用快速光线追踪。
Biomed Opt Express. 2010 Aug 2;1(1):165-75. doi: 10.1364/BOE.1.000165. Epub 2010 Jul 15.