• 文献检索
  • 文档翻译
  • 深度研究
  • 学术资讯
  • Suppr Zotero 插件Zotero 插件
  • 邀请有礼
  • 套餐&价格
  • 历史记录
应用&插件
Suppr Zotero 插件Zotero 插件浏览器插件Mac 客户端Windows 客户端微信小程序
定价
高级版会员购买积分包购买API积分包
服务
文献检索文档翻译深度研究API 文档MCP 服务
关于我们
关于 Suppr公司介绍联系我们用户协议隐私条款
关注我们

Suppr 超能文献

核心技术专利:CN118964589B侵权必究
粤ICP备2023148730 号-1Suppr @ 2026

文献检索

告别复杂PubMed语法,用中文像聊天一样搜索,搜遍4000万医学文献。AI智能推荐,让科研检索更轻松。

立即免费搜索

文件翻译

保留排版,准确专业,支持PDF/Word/PPT等文件格式,支持 12+语言互译。

免费翻译文档

深度研究

AI帮你快速写综述,25分钟生成高质量综述,智能提取关键信息,辅助科研写作。

立即免费体验

基于物理交联丝素蛋白-聚N-异丙基丙烯酰胺双交联水凝胶的双响应光子晶体传感器

Dual-Responsive Photonic Crystal Sensors Based on Physical Crossing-Linking SF-PNIPAM Dual-Crosslinked Hydrogel.

作者信息

Zheng Wenxiang, Cai Xiaolu, Yan Dan, Murtaza Ghulam, Meng Zihui, Qiu Lili

机构信息

School of Chemistry and Chemical Engineering, Beijing Institute of Technology, Beijing 100081, China.

School of Materials Science and Engineering, Peking University, Beijing 100871, China.

出版信息

Gels. 2022 May 30;8(6):339. doi: 10.3390/gels8060339.

DOI:10.3390/gels8060339
PMID:35735683
原文链接:https://pmc.ncbi.nlm.nih.gov/articles/PMC9223110/
Abstract

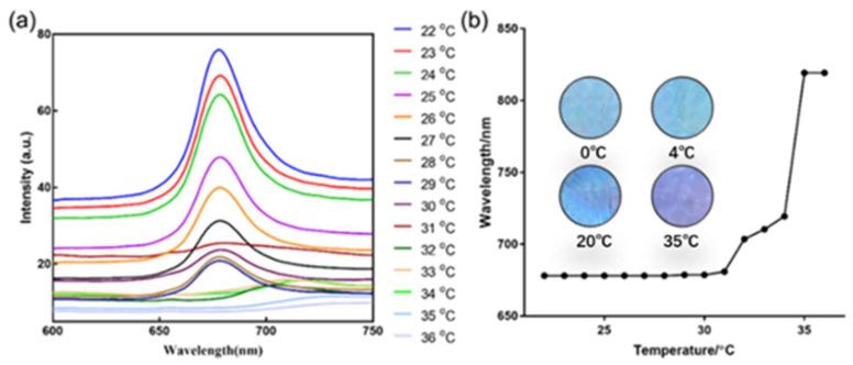
Flexible wearable materials have frequently been used in drug delivery, healthcare monitoring, and wearable sensors for decades. As a novel type of artificially designed functional material, photonic crystals (PCs) are sensitive to the changes in the external environment and stimuli signals. However, the rigidity of the PCs limits their application in the field of biometric and optical sensors. This study selects silk fibroin (SF) and poly-N-isopropylacrylamide (PNIPAM) as principal components to prepare the hydrogel with the physical crosslinking agent lithium silicate (LMSH) and is then integrated with PCs to obtain the SF-PNIPAM dual-crosslinked nanocomposite for temperature and strain sensing. The structural colors of the PCs change from blue to orange-red by the variation in temperature or strain. The visual temperature-sensing and adhesion properties enable the SF-PNIPAM dual-crosslinked nanocomposite to be directly attached to the skin in order to monitor the real-time dynamic of human temperature. Based on its excellent optical properties and biocompatibility, the SF-PNIPAM dual-crosslinked nanocomposite can be applied to the field of visual biosensing, wearable display devices, and wound dressing materials.

摘要

几十年来,柔性可穿戴材料经常被用于药物递送、医疗监测和可穿戴传感器领域。作为一种新型的人工设计功能材料,光子晶体(PCs)对外部环境和刺激信号的变化敏感。然而,光子晶体的刚性限制了它们在生物识别和光学传感器领域的应用。本研究选择丝素蛋白(SF)和聚N-异丙基丙烯酰胺(PNIPAM)作为主要成分,与物理交联剂硅酸锂(LMSH)一起制备水凝胶,然后与光子晶体整合,以获得用于温度和应变传感的SF-PNIPAM双交联纳米复合材料。光子晶体的结构颜色会随着温度或应变的变化从蓝色变为橙红色。视觉温度传感和粘附特性使SF-PNIPAM双交联纳米复合材料能够直接附着在皮肤上,以监测人体温度的实时动态。基于其优异的光学性能和生物相容性,SF-PNIPAM双交联纳米复合材料可应用于视觉生物传感、可穿戴显示设备和伤口敷料材料领域。

https://cdn.ncbi.nlm.nih.gov/pmc/blobs/844a/9223110/876df86f040f/gels-08-00339-g011.jpg
https://cdn.ncbi.nlm.nih.gov/pmc/blobs/844a/9223110/9433f9e7f7cd/gels-08-00339-g001.jpg
https://cdn.ncbi.nlm.nih.gov/pmc/blobs/844a/9223110/d91871f720e4/gels-08-00339-g002.jpg
https://cdn.ncbi.nlm.nih.gov/pmc/blobs/844a/9223110/d69197878e5a/gels-08-00339-g003.jpg
https://cdn.ncbi.nlm.nih.gov/pmc/blobs/844a/9223110/54e3ac5eae2f/gels-08-00339-g004.jpg
https://cdn.ncbi.nlm.nih.gov/pmc/blobs/844a/9223110/265813225e13/gels-08-00339-g005.jpg
https://cdn.ncbi.nlm.nih.gov/pmc/blobs/844a/9223110/be74e3acfdc3/gels-08-00339-g006.jpg
https://cdn.ncbi.nlm.nih.gov/pmc/blobs/844a/9223110/154d3ccc3dde/gels-08-00339-g007.jpg
https://cdn.ncbi.nlm.nih.gov/pmc/blobs/844a/9223110/d9f37104a114/gels-08-00339-g008.jpg
https://cdn.ncbi.nlm.nih.gov/pmc/blobs/844a/9223110/0dd9b15333fb/gels-08-00339-g009.jpg
https://cdn.ncbi.nlm.nih.gov/pmc/blobs/844a/9223110/151dd7bc6d2d/gels-08-00339-g010.jpg
https://cdn.ncbi.nlm.nih.gov/pmc/blobs/844a/9223110/876df86f040f/gels-08-00339-g011.jpg
https://cdn.ncbi.nlm.nih.gov/pmc/blobs/844a/9223110/9433f9e7f7cd/gels-08-00339-g001.jpg
https://cdn.ncbi.nlm.nih.gov/pmc/blobs/844a/9223110/d91871f720e4/gels-08-00339-g002.jpg
https://cdn.ncbi.nlm.nih.gov/pmc/blobs/844a/9223110/d69197878e5a/gels-08-00339-g003.jpg
https://cdn.ncbi.nlm.nih.gov/pmc/blobs/844a/9223110/54e3ac5eae2f/gels-08-00339-g004.jpg
https://cdn.ncbi.nlm.nih.gov/pmc/blobs/844a/9223110/265813225e13/gels-08-00339-g005.jpg
https://cdn.ncbi.nlm.nih.gov/pmc/blobs/844a/9223110/be74e3acfdc3/gels-08-00339-g006.jpg
https://cdn.ncbi.nlm.nih.gov/pmc/blobs/844a/9223110/154d3ccc3dde/gels-08-00339-g007.jpg
https://cdn.ncbi.nlm.nih.gov/pmc/blobs/844a/9223110/d9f37104a114/gels-08-00339-g008.jpg
https://cdn.ncbi.nlm.nih.gov/pmc/blobs/844a/9223110/0dd9b15333fb/gels-08-00339-g009.jpg
https://cdn.ncbi.nlm.nih.gov/pmc/blobs/844a/9223110/151dd7bc6d2d/gels-08-00339-g010.jpg
https://cdn.ncbi.nlm.nih.gov/pmc/blobs/844a/9223110/876df86f040f/gels-08-00339-g011.jpg

相似文献

1
Dual-Responsive Photonic Crystal Sensors Based on Physical Crossing-Linking SF-PNIPAM Dual-Crosslinked Hydrogel.基于物理交联丝素蛋白-聚N-异丙基丙烯酰胺双交联水凝胶的双响应光子晶体传感器
Gels. 2022 May 30;8(6):339. doi: 10.3390/gels8060339.
2
Self-Healing, Self-Adhesive Silk Fibroin Conductive Hydrogel as a Flexible Strain Sensor.自修复、自粘性丝素蛋白导电水凝胶作为一种柔性应变传感器
ACS Appl Mater Interfaces. 2021 Aug 25;13(33):40013-40031. doi: 10.1021/acsami.1c08395. Epub 2021 Aug 10.
3
Fast Self-Assembly of Photonic Crystal Hydrogel for Wearable Strain and Temperature Sensor.用于可穿戴应变和温度传感器的光子晶体水凝胶的快速自组装
Small Methods. 2022 Jul;6(7):e2200461. doi: 10.1002/smtd.202200461. Epub 2022 May 6.
4
A bioinspired poly(N-isopropylacrylamide)/silver nanocomposite as a photonic crystal with both optical and thermal responses.一种仿生物的聚(N-异丙基丙烯酰胺)/银纳米复合材料作为一种具有光学和热响应的光子晶体。
Nanoscale. 2017 Sep 14;9(35):12969-12975. doi: 10.1039/c7nr05087a.
5
Construction of photonic crystals with thermally adjustable pseudo-gaps.具有热可调伪禁带的光子晶体的构建。
Soft Matter. 2020 Mar 28;16(12):3063-3068. doi: 10.1039/c9sm02449b. Epub 2020 Mar 5.
6
A Novel Temperature-Dependent Hydrogel Emulsion with Sol/Gel Reversible Phase Transition Behavior Based on Polystyrene-co-poly(N-isopropylacrylamide)/Poly(N-isopropylacrylamide) Core-Shell Nanoparticle.基于聚苯乙烯-共-聚(N-异丙基丙烯酰胺)/聚(N-异丙基丙烯酰胺)核壳纳米粒子的具有溶胶/凝胶可逆相变行为的新型温度依赖性水凝胶乳液
Macromol Rapid Commun. 2021 Jan;42(2):e2000507. doi: 10.1002/marc.202000507. Epub 2020 Nov 18.
7
Sweat-Resistant Silk Fibroin-Based Double Network Hydrogel Adhesives.耐汗的丝素蛋白基双网络水凝胶粘合剂。
ACS Appl Mater Interfaces. 2022 May 18;14(19):21945-21953. doi: 10.1021/acsami.2c02534. Epub 2022 May 4.
8
Processing, mechanical properties and bio-applications of silk fibroin-based high-strength hydrogels.基于丝素蛋白的高强度水凝胶的处理、力学性能及生物应用。
Acta Biomater. 2021 Apr 15;125:57-71. doi: 10.1016/j.actbio.2021.02.018. Epub 2021 Feb 16.
9
Real-Time Packing Behavior of Core-Shell Silica@Poly(N-isopropylacrylamide) Microspheres as Photonic Crystals for Visualizing in Thermal Sensing.核壳结构二氧化硅@聚(N-异丙基丙烯酰胺)微球作为用于热传感可视化的光子晶体的实时填充行为
Polymers (Basel). 2016 Dec 10;8(12):428. doi: 10.3390/polym8120428.
10
Poly(N-Isopropylacrylamide) Based Electrically Conductive Hydrogels and Their Applications.基于聚(N-异丙基丙烯酰胺)的导电水凝胶及其应用。
Gels. 2022 May 1;8(5):280. doi: 10.3390/gels8050280.

引用本文的文献

1
Silk-based wearable devices for health monitoring and medical treatment.用于健康监测和医疗的丝绸基可穿戴设备。
iScience. 2024 Mar 27;27(5):109604. doi: 10.1016/j.isci.2024.109604. eCollection 2024 May 17.
2
Specific Alcohol-Responsive Photonic Crystal Sensors Based on Host-Guest Recognition.基于主客体识别的特定酒精响应光子晶体传感器
Gels. 2023 Jan 18;9(2):83. doi: 10.3390/gels9020083.
3
Mechanically Interlocked Hydrogel-Elastomer Strain Sensor with Robust Interface and Enhanced Water-Retention Capacity.具有坚固界面和增强保水能力的机械互锁水凝胶-弹性体应变传感器

本文引用的文献

1
Photonic crystal based biosensors: Emerging inverse opals for biomarker detection.基于光子晶体的生物传感器:用于生物标志物检测的新型反蛋白石
Talanta. 2021 Jan 1;221:121615. doi: 10.1016/j.talanta.2020.121615. Epub 2020 Sep 2.
2
Chameleon skin-inspired polymeric particles for the detection of toluene vapor.受变色龙皮肤启发的聚合物颗粒用于检测甲苯蒸气。
Soft Matter. 2020 Sep 30;16(37):8683-8691. doi: 10.1039/d0sm01289k.
3
Bioinspired conductive cellulose liquid-crystal hydrogels as multifunctional electrical skins.受生物启发的导电纤维素液晶水凝胶作为多功能电皮肤。
Gels. 2022 Sep 30;8(10):625. doi: 10.3390/gels8100625.
Proc Natl Acad Sci U S A. 2020 Aug 4;117(31):18310-18316. doi: 10.1073/pnas.2007032117. Epub 2020 Jul 16.
4
Thermal-Responsive Photonic Crystal with Function of Color Switch Based on Thermochromic System.基于热致变色体系的变色功能的热敏光子晶体。
ACS Appl Mater Interfaces. 2019 Oct 23;11(42):39125-39131. doi: 10.1021/acsami.9b16411. Epub 2019 Oct 8.
5
Dyeing and Functionalization of Wearable Silk Fibroin/Cellulose Composite by Nanocolloidal Array.纳米胶体阵列对可穿戴丝素/纤维素复合材料的染色和功能化。
ACS Appl Mater Interfaces. 2019 Oct 23;11(42):39163-39170. doi: 10.1021/acsami.9b11576. Epub 2019 Sep 4.
6
Immunomodulatory injectable silk hydrogels maintaining functional islets and promoting anti-inflammatory M2 macrophage polarization.免疫调节型可注射丝素水凝胶维持胰岛功能并促进抗炎 M2 巨噬细胞极化。
Biomaterials. 2018 Dec;187:1-17. doi: 10.1016/j.biomaterials.2018.09.037. Epub 2018 Sep 25.
7
Functional biomaterials towards flexible electronics and sensors.功能性生物材料在柔性电子和传感器中的应用
Biosens Bioelectron. 2018 Nov 15;119:237-251. doi: 10.1016/j.bios.2018.08.018. Epub 2018 Aug 14.
8
Deformable and conformal silk hydrogel inverse opal.可变形且保形的丝水凝胶反蛋白石。
Proc Natl Acad Sci U S A. 2017 Jun 13;114(24):6185-6190. doi: 10.1073/pnas.1701092114. Epub 2017 May 30.
9
Gold nanoparticle-embedded silk protein-ZnO nanorod hybrids for flexible bio-photonic devices.金纳米颗粒嵌入丝蛋白-ZnO 纳米棒杂化材料用于柔性生物光子器件。
Nanotechnology. 2017 Apr 7;28(14):145202. doi: 10.1088/1361-6528/aa6144. Epub 2017 Mar 9.
10
Bioinspired Polymeric Photonic Crystals for High Cycling pH-Sensing Performance.仿生聚合物光子晶体用于高循环 pH 传感性能。
ACS Appl Mater Interfaces. 2016 Oct 12;8(40):27091-27098. doi: 10.1021/acsami.6b08724. Epub 2016 Sep 28.