Suppr超能文献

菊科某植物的民族植物学用途、植物化学成分、生物合成及药理活性

Ethnobotanical Uses, Phytochemical Composition, Biosynthesis, and Pharmacological Activities of L. (Asteraceae).

作者信息

Ibrahim Sabrin R M, Fadil Sana A, Fadil Haifa A, Hareeri Rawan H, Abdallah Hossam M, Mohamed Gamal A

机构信息

Department of Chemistry, Preparatory Year Program, Batterjee Medical College, Jeddah 21442, Saudi Arabia.

Department of Pharmacognosy, Faculty of Pharmacy, Assiut University, Assiut 71526, Egypt.

出版信息

Plants (Basel). 2022 Jun 17;11(12):1598. doi: 10.3390/plants11121598.

Abstract

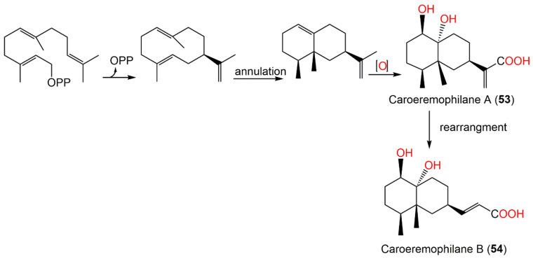
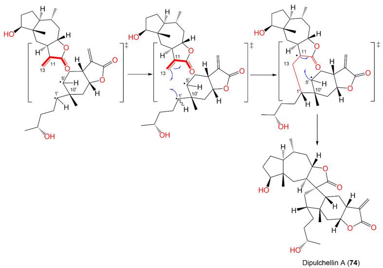
L. (Asteraceae) is a medicinal plant with immense therapeutic importance and bioactivities. It is commonly encountered in various Asian regions. It has numerous ethnomedicinal uses for curing diverse ailments such as toothache, stomach ulcer, boils, tonsillitis, bronchitis, bacterial infection, bruises, swelling, virus infection, fever, and amygdalitis, as well as an anthelmintic versus round-, tape-, hook-, and pinworms. Different classes of phytoconstituents such as sesquiterpenes, sesquiterpene dimers, monoterpenes, and nitrogenous compounds have been reported from this plant. These phytoconstituents have proved to possess anti-inflammatory, cytotoxic, antimicrobial, and insecticidal capacities. The present review aims to summarize all published data on including traditional uses, phytoconstituents, bioactivities, and toxicological aspects, as well as the synthesis and biosynthesis of its metabolites through an extensive survey on various databases and various publishers. These reported data could draw the attention of various natural-metabolite-interested researchers and medicinal chemists towards the development of this plant and/or its metabolites into medicine for the prevention and treatment of certain illnesses. Despite the diverse traditional uses of , there is a need for scientific evidence to support these claims. Clinical trials are also required to further assure these data and validate this plant utilization in treating several diseases.

摘要

L.(菊科)是一种具有巨大治疗重要性和生物活性的药用植物。它在亚洲各个地区都很常见。它在民族医学中有多种用途,可治疗各种疾病,如牙痛、胃溃疡、疖子、扁桃体炎、支气管炎、细菌感染、瘀伤、肿胀、病毒感染、发烧和扁桃体炎,以及对蛔虫、绦虫、钩虫和蛲虫有驱虫作用。已从该植物中报道了不同类别的植物成分,如倍半萜、倍半萜二聚体、单萜和含氮化合物。这些植物成分已被证明具有抗炎、细胞毒性、抗菌和杀虫能力。本综述旨在通过对各种数据库和不同出版商的广泛调查,总结关于L.的所有已发表数据,包括传统用途、植物成分、生物活性和毒理学方面,以及其代谢产物的合成和生物合成。这些报道的数据可能会引起各种对天然代谢产物感兴趣的研究人员和药物化学家对将这种植物和/或其代谢产物开发成预防和治疗某些疾病的药物的关注。尽管L.有多种传统用途,但需要科学证据来支持这些说法。还需要进行临床试验以进一步证实这些数据,并验证这种植物在治疗多种疾病中的应用。

https://cdn.ncbi.nlm.nih.gov/pmc/blobs/64be/9230109/a913e5628ab0/plants-11-01598-g001.jpg

文献检索

告别复杂PubMed语法,用中文像聊天一样搜索,搜遍4000万医学文献。AI智能推荐,让科研检索更轻松。

立即免费搜索

文件翻译

保留排版,准确专业,支持PDF/Word/PPT等文件格式,支持 12+语言互译。

免费翻译文档

深度研究

AI帮你快速写综述,25分钟生成高质量综述,智能提取关键信息,辅助科研写作。

立即免费体验