Sun Ruizheng, Liu Yaozhong, Lei Cheng, Tang Zhenwei, Lu Lixia
Department of Dermatology, Xiangya Hospital, Central South University, 87# Xiangya Road, Changsha, 41008, Hunan, China.
Clinical Medicine Eight-Year Program, Central South University, Changsha, China.
Biol Proced Online. 2022 Jun 24;24(1):7. doi: 10.1186/s12575-022-00170-2.
The prognosis of wild-type BRAF cutaneous melanoma (WT Bf-CM) patients remains poor due to the lack of therapeutic options. However, few studies have investigated the factors contributing to the prognosis of WT Bf-CM patients.
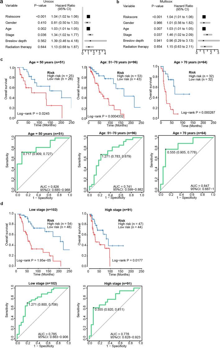
In this paper, we proposed and validated a novel 7-RNA based signature to predict the prognosis of WT Bf-CM by analyzing the information from TCGA database.
Dependence of this signature to other clinical factors were verified and a nomogram was also drawn to promote its application in clinical practice. Functional analysis suggested that the predictive function of this signature might attribute to the prediction of the up-regulation of RNA splicing, transcription, and cellular proliferation in the high-risk group, which have been demonstrated to be linked to malignancy of cancer. Moreover, functional analysis and therapy response analysis supported that the prognosis is highly related to PI3K/Akt/mTOR pathway among WT Bf-CM patients.
Collectively, this study will provide a preliminary bioinformatics evidence for the molecular mechanism and potential drug targets that could improving WT Bf-CM prognosis.
由于缺乏治疗选择,野生型BRAF皮肤黑色素瘤(WT Bf-CM)患者的预后仍然很差。然而,很少有研究调查影响WT Bf-CM患者预后的因素。
在本文中,我们通过分析来自TCGA数据库的信息,提出并验证了一种基于7种RNA的新型特征,以预测WT Bf-CM的预后。
验证了该特征对其他临床因素的依赖性,并绘制了列线图以促进其在临床实践中的应用。功能分析表明,该特征的预测功能可能归因于对高危组中RNA剪接、转录和细胞增殖上调的预测,这些已被证明与癌症的恶性程度有关。此外,功能分析和治疗反应分析支持WT Bf-CM患者的预后与PI3K/Akt/mTOR通路高度相关。
总的来说,本研究将为改善WT Bf-CM预后的分子机制和潜在药物靶点提供初步的生物信息学证据。