Suppr超能文献

制定并验证了一个列线图模型,用于评估 IA 期非小细胞肺癌患者术后静脉血栓栓塞风险。

Development and validation of a nomogram to assess postoperative venous thromboembolism risk in patients with stage IA non-small cell lung cancer.

机构信息

Department of Thoracic Surgery, Beijing Institute of Respiratory Medicine and Beijing Chao-Yang Hospital, Capital Medical University, Beijing, China.

出版信息

Cancer Med. 2023 Jan;12(2):1217-1227. doi: 10.1002/cam4.4982. Epub 2022 Jun 27.

Abstract

BACKGROUND

Venous thromboembolism (VTE) is a common postoperative complication in patients with lung cancer that seriously affects prognosis and quality of life. At present, the detection rate of patients with early-stage lung cancer is increasing, but there are few studies on the risk factors for postoperative venous thromboembolism (VTE) in patients with stage IA non-small cell lung cancer (NSCLC). This study aimed to establish a nomogram for predicting the probability of postoperative VTE risk in patients with stage IA NSCLC.

METHODS

The clinical data of 452 patients with stage IA NSCLC from January 2017 to January 2022 in our center were retrospectively analyzed and randomly divided into a training set and a validation set at a ratio of 7:3. Independent risk factors were identified by univariate and multivariate logistic regression analyses, and a nomogram was established based on the results and internally validated. The predictive power of the nomogram was evaluated by receiver operating characteristic curve (ROC), calibration curve, and decision curve analysis (DCA).

RESULTS

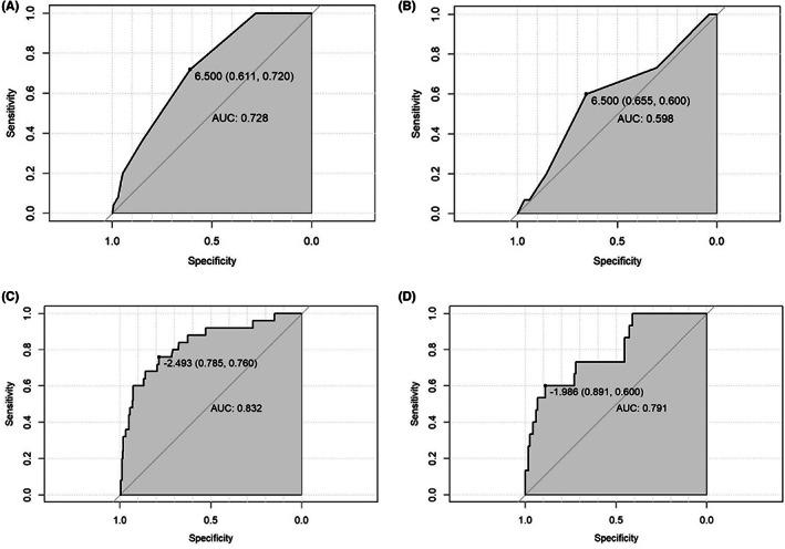
The nomogram prediction model included three risk factors: age, preoperative D-dimer, and intermuscular vein dilatation. The areas under the ROC curve of this predictive model were 0.832 (95% CI: 0.732-0.924) and 0.791 (95% CI: 0.668-0.930) in the training and validation sets, respectively, showing good discriminative power. In addition, the probability of postoperative VTE occurrence predicted by the nomogram was consistent with the actual occurrence probability. In the decision curve, the nomogram model had a better net clinical benefit at a threshold probability of 5%-90%.

CONCLUSION

This study is the first to develop a nomogram for predicting the risk of postoperative VTE in patients with stage IA NSCLC; this nomogram can accurately and intuitively evaluate the probability of VTE in these patients and help clinicians make decisions on prevention and treatment.

摘要

背景

静脉血栓栓塞症(VTE)是肺癌患者常见的术后并发症,严重影响预后和生活质量。目前,早期肺癌患者的检出率不断提高,但对于ⅠA 期非小细胞肺癌(NSCLC)患者术后静脉血栓栓塞症(VTE)的危险因素研究较少。本研究旨在建立预测ⅠA 期 NSCLC 患者术后 VTE 风险的列线图。

方法

回顾性分析 2017 年 1 月至 2022 年 1 月我中心收治的 452 例ⅠA 期 NSCLC 患者的临床资料,按 7:3 的比例随机分为训练集和验证集。采用单因素和多因素 logistic 回归分析确定独立危险因素,并根据结果建立列线图,并进行内部验证。通过受试者工作特征曲线(ROC)、校准曲线和决策曲线分析(DCA)评估列线图的预测效能。

结果

该列线图预测模型包括年龄、术前 D-二聚体和肌间静脉扩张 3 个危险因素。该预测模型在训练集和验证集中的 ROC 曲线下面积分别为 0.832(95%CI:0.732-0.924)和 0.791(95%CI:0.668-0.930),具有良好的判别能力。此外,列线图预测的术后 VTE 发生概率与实际发生概率一致。在决策曲线中,列线图模型在阈值概率为 5%-90%时具有更好的净临床获益。

结论

本研究首次建立了预测ⅠA 期 NSCLC 患者术后 VTE 风险的列线图;该列线图可准确、直观地评估患者 VTE 的发生概率,有助于临床医生做出预防和治疗决策。

https://cdn.ncbi.nlm.nih.gov/pmc/blobs/247d/9883570/09b26ce9f37e/CAM4-12-1217-g003.jpg

文献AI研究员

20分钟写一篇综述,助力文献阅读效率提升50倍。

立即体验

用中文搜PubMed

大模型驱动的PubMed中文搜索引擎

马上搜索

文档翻译

学术文献翻译模型,支持多种主流文档格式。

立即体验