Suppr超能文献

加拿大安大略省,美洲犬蜱沿着其扩张的范围边缘分布。

American dog ticks along their expanding range edge in Ontario, Canada.

机构信息

Enteric, Zoonotic and Vector-Borne Diseases; Health Protection, Operations and Response, Public Health Ontario, Toronto, ON, Canada.

Informatics, Knowledge Services, Public Health Ontario, Toronto, ON, Canada.

出版信息

Sci Rep. 2022 Jun 30;12(1):11063. doi: 10.1038/s41598-022-15009-9.

Abstract

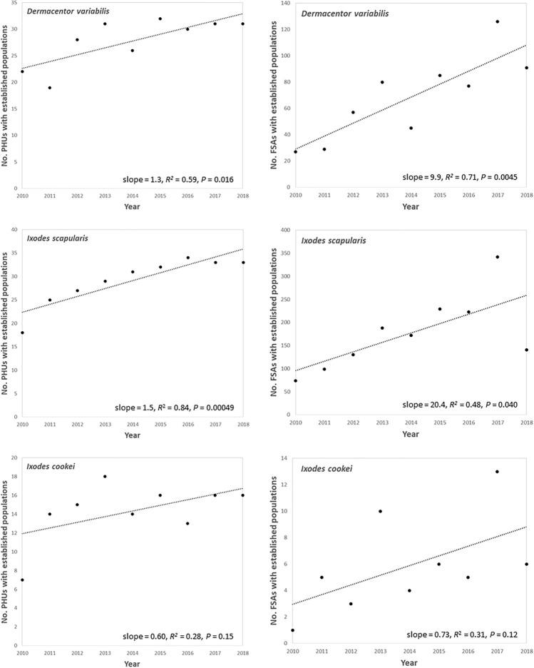
The American dog tick, Dermacentor variabilis, is a tick of public and veterinary health importance in North America. Using passive tick surveillance data, we document distribution changes for the American dog tick in Ontario, Canada, from 2010 through 2018. Dermacentor variabilis submissions from the public were geocoded and aggregated-from large to small administrative geographies-by health region, public health unit (PHU) and Forward Sortation Area (FSA). PHU hot spots with high rates of D. variabilis submissions were (1) Brant County, Haldimand-Norfolk and Niagara Regional in the Central West region and (2) Lambton and Winsor-Essex County in the South West region. The number of established D. variabilis populations with ≥ 6 submissions per year increased significantly during the study at regional (PHUs: 22 to 31) and local (FSAs: 27 to 91) scales. The range of D. variabilis increased similarly to the positive control (Ixodes scapularis) during the study and in contrast to the static range of the negative control (Ixodes cookei). Submission hot spots were in warmer, low elevation areas with poorly drained soils, compared to the province's low submission areas. Dermacentor variabilis is spreading in Ontario and continued research into their vector ecology is required to assess medicoveterinary health risks.

摘要

美国狗蜱,即 Dermacentor variabilis,是北美的一种具有公共卫生和兽医卫生重要性的蜱。通过被动蜱监测数据,我们记录了 2010 年至 2018 年期间加拿大安大略省美国狗蜱的分布变化。从公众提交的 Dermacentor variabilis 中进行地理编码并汇总-从大到小的行政区域-按卫生区域、公共卫生单位(PHU)和前向排序区(FSA)。具有高 Dermacentor variabilis 提交率的 PHU 热点地区为:(1)中西部地区的布兰特县、哈尔迪曼-诺福克和尼亚加拉地区,以及(2)西南部的兰姆顿和温莎-埃塞克斯县。在研究期间,每年有≥6 次提交的已建立的 Dermacentor variabilis 种群数量在区域(PHU:22 至 31)和地方(FSA:27 至 91)规模上均显著增加。Dermacentor variabilis 的分布范围与阳性对照(Ixodes scapularis)相似,而与阴性对照(Ixodes cookei)的静态分布范围相反。与全省低提交地区相比,提交热点地区位于气候温暖、海拔较低、排水不良的土壤中。Dermacentor variabilis 在安大略省不断蔓延,需要对其媒介生态学进行进一步研究,以评估医兽卫生风险。

https://cdn.ncbi.nlm.nih.gov/pmc/blobs/decb/9247098/a586d52c8b3c/41598_2022_15009_Fig1_HTML.jpg

文献AI研究员

20分钟写一篇综述,助力文献阅读效率提升50倍。

立即体验

用中文搜PubMed

大模型驱动的PubMed中文搜索引擎

马上搜索

文档翻译

学术文献翻译模型,支持多种主流文档格式。

立即体验