Suppr超能文献

全球股骨头坏死的趋势和现状:对过去 30 年文献的计量分析。

Global Trends and Current Status in Osteonecrosis of the Femoral Head: A Bibliometric Analysis of Publications in the Last 30 Years.

机构信息

Department of Orthopaedics, Xiangya Hospital, Central South University, Changsha, China.

National Clinical Research Center for Geriatric Disorders, Xiangya Hospital, Central South University, Changsha, China.

出版信息

Front Endocrinol (Lausanne). 2022 Jun 15;13:897439. doi: 10.3389/fendo.2022.897439. eCollection 2022.

Abstract

INTRODUCTION

Osteonecrosis of the femoral head (ONFH) is a progressive and disabling disease with severe socioeconomic burdens. In the last 30 years, a growing number of publications have reported significant advances in understanding ONFH. However, only a few studies have clarified its global trends and current status. Thus, the purpose of our study was to summarize the global trends and current status in ONFH through bibliometrics.

MATERIALS AND METHODS

Publications related to ONFH from 1991 to 2020 were searched from the Web of Science (WOS) core collection database. The data were analyzed with bibliometric methods. Microsoft Excel was used for statistical analysis and to draw bar charts. SPSS was applied to perform linear regression analysis. VOSviewer was used to conduct bibliographic coupling analysis, co-authorship analysis, co-citation analysis and co-occurrence analysis.

RESULTS

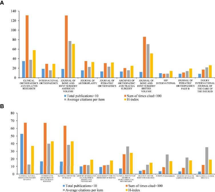
A total of 5,523 publications were covered. The United States consistently ranked first in total publications, sum of times cited, average citations per item and H-index. Kyushu University was the main contributor to ONFH. was the major publishing channels for ONFH-related articles. Takuaki Yamamoto published the most ONFH-related articles. Studies regarding ONFH could be divided into five clusters: 1) mechanism study, 2) treatment study, 3) complication study, 4) radiological study and 5) etiological study. Mechanism study might become a hot spot in the future.

CONCLUSIONS

The total number of publications in ONFH has generally increased over the last three decades. The United States was the leading country in ONFH research. Transplantation, engineering, cell and molecular biology, pharmacology and endocrinology have gradually increased and become hot topics in ONFH research. Mechanism study in ONFH including mesenchymal stem cells, apoptosis, oxidative stress, adipogenesis, osteogenic differentiation and endothelial progenitor cells, have attracted more attention and will become a hot spot in the future.

摘要

简介

股骨头坏死(ONFH)是一种进行性且致残性疾病,具有严重的社会经济负担。在过去的 30 年中,越来越多的出版物报道了对 ONFH 认识的显著进展。然而,只有少数研究阐明了其全球趋势和现状。因此,我们的研究目的是通过文献计量学方法总结 ONFH 的全球趋势和现状。

材料和方法

从 Web of Science(WOS)核心合集数据库中检索了 1991 年至 2020 年与 ONFH 相关的出版物。使用文献计量学方法对数据进行分析。使用 Microsoft Excel 进行统计分析和绘制条形图。使用 SPSS 进行线性回归分析。使用 VOSviewer 进行文献耦合分析、合著分析、共引分析和共词分析。

结果

共涵盖 5523 篇出版物。美国在总出版物、引用次数总和、平均引用次数和 H 指数方面始终排名第一。九州大学是股骨头坏死的主要贡献者。《中华骨科杂志》是股骨头坏死相关文章的主要出版渠道。Takuaki Yamamoto 发表了最多的股骨头坏死相关文章。关于股骨头坏死的研究可以分为五个聚类:1)机制研究,2)治疗研究,3)并发症研究,4)影像学研究和 5)病因学研究。机制研究可能成为未来的热点。

结论

过去三十年来,股骨头坏死的总出版物数量普遍增加。美国是股骨头坏死研究的领先国家。移植、工程、细胞和分子生物学、药理学和内分泌学逐渐增加,成为股骨头坏死研究的热点。股骨头坏死的机制研究包括间充质干细胞、细胞凋亡、氧化应激、脂肪生成、成骨分化和内皮祖细胞,引起了更多关注,并将成为未来的热点。

https://cdn.ncbi.nlm.nih.gov/pmc/blobs/7b76/9240286/05a702eb2ee7/fendo-13-897439-g001.jpg

文献检索

告别复杂PubMed语法,用中文像聊天一样搜索,搜遍4000万医学文献。AI智能推荐,让科研检索更轻松。

立即免费搜索

文件翻译

保留排版,准确专业,支持PDF/Word/PPT等文件格式,支持 12+语言互译。

免费翻译文档

深度研究

AI帮你快速写综述,25分钟生成高质量综述,智能提取关键信息,辅助科研写作。

立即免费体验