Suppr超能文献

胶质母细胞瘤:现状、新兴靶点及最新进展。

Glioblastoma: Current Status, Emerging Targets, and Recent Advances.

机构信息

School of Pharmacy, College of Pharmacy, Taipei Medical University, 250 Wuxing Street, Taipei 11031, Taiwan.

Department of Biotechnology, Jaypee Institute of Information Technology, Noida 201307, India.

出版信息

J Med Chem. 2022 Jul 14;65(13):8596-8685. doi: 10.1021/acs.jmedchem.1c01946. Epub 2022 Jul 5.

Abstract

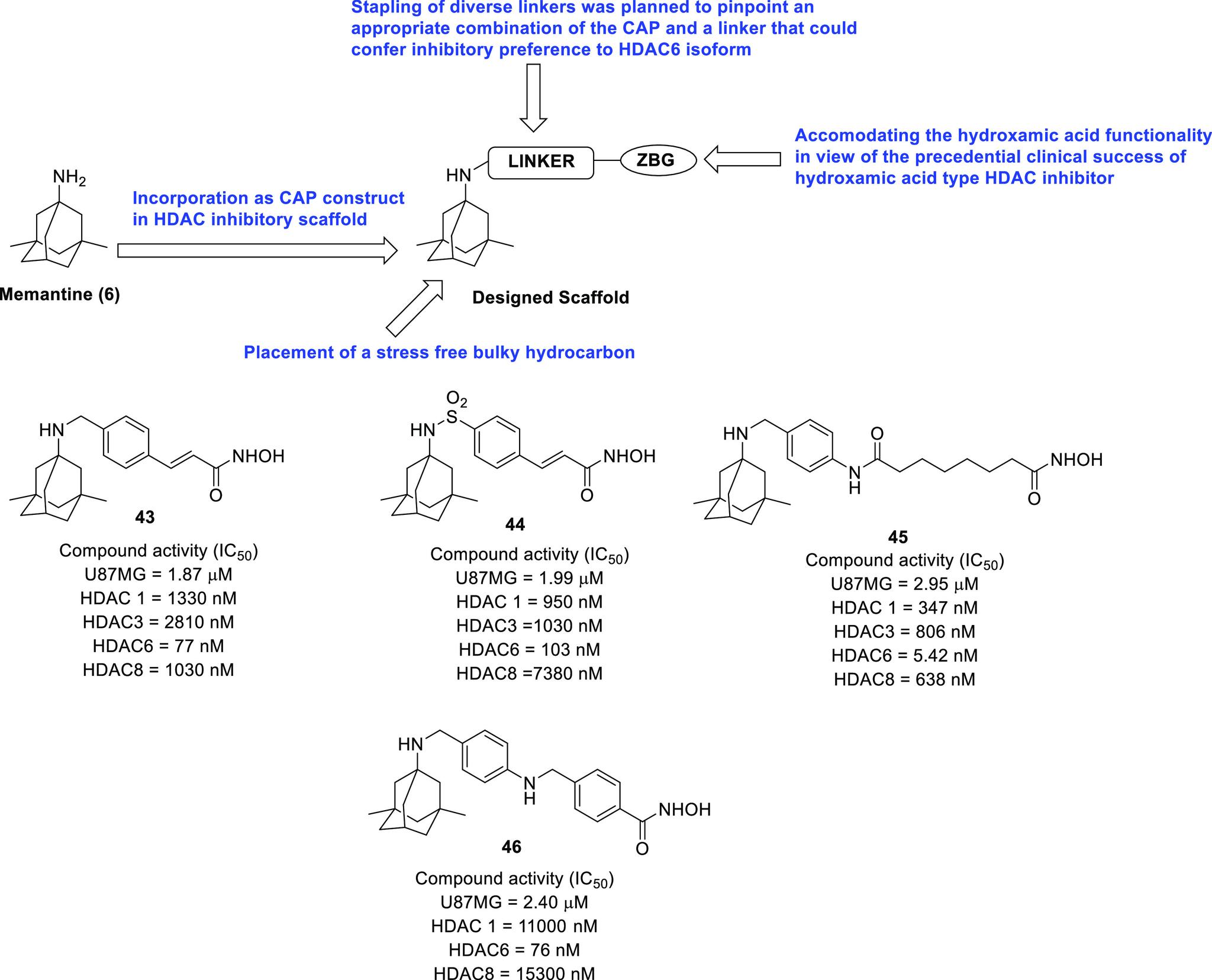
Glioblastoma (GBM) is a highly malignant brain tumor characterized by a heterogeneous population of genetically unstable and highly infiltrative cells that are resistant to chemotherapy. Although substantial efforts have been invested in the field of anti-GBM drug discovery in the past decade, success has primarily been confined to the preclinical level, and clinical studies have often been hampered due to efficacy-, selectivity-, or physicochemical property-related issues. Thus, expansion of the list of molecular targets coupled with a pragmatic design of new small-molecule inhibitors with central nervous system (CNS)-penetrating ability is required to steer the wheels of anti-GBM drug discovery endeavors. This Perspective presents various aspects of drug discovery (challenges in GBM drug discovery and delivery, therapeutic targets, and agents under clinical investigation). The comprehensively covered sections include the recent medicinal chemistry campaigns embarked upon to validate the potential of numerous enzymes/proteins/receptors as therapeutic targets in GBM.

摘要

胶质母细胞瘤(GBM)是一种高度恶性的脑肿瘤,其特征是存在遗传不稳定和高度浸润性的异质性细胞群体,对化疗具有耐药性。尽管在过去十年中,人们在抗 GBM 药物发现领域投入了大量的努力,但主要的成功仅限于临床前水平,而且由于疗效、选择性或理化性质相关的问题,临床研究往往受到阻碍。因此,需要扩大分子靶标的列表,并设计具有中枢神经系统(CNS)穿透能力的新型小分子抑制剂,以推动抗 GBM 药物发现的努力。本观点介绍了药物发现的各个方面(GBM 药物发现和传递的挑战、治疗靶点和临床研究中的药物)。全面涵盖的部分包括最近开展的药物化学研究,以验证许多酶/蛋白质/受体作为 GBM 治疗靶点的潜力。

https://cdn.ncbi.nlm.nih.gov/pmc/blobs/8845/9297300/fe6034420cda/jm1c01946_0001.jpg

文献检索

告别复杂PubMed语法,用中文像聊天一样搜索,搜遍4000万医学文献。AI智能推荐,让科研检索更轻松。

立即免费搜索

文件翻译

保留排版,准确专业,支持PDF/Word/PPT等文件格式,支持 12+语言互译。

免费翻译文档

深度研究

AI帮你快速写综述,25分钟生成高质量综述,智能提取关键信息,辅助科研写作。

立即免费体验