Herrmann Johannes, Llima Sergi Masot, Remm Ants, Zapletal Petr, McMahon Nathan A, Scarato Colin, Swiadek François, Andersen Christian Kraglund, Hellings Christoph, Krinner Sebastian, Lacroix Nathan, Lazar Stefania, Kerschbaum Michael, Zanuz Dante Colao, Norris Graham J, Hartmann Michael J, Wallraff Andreas, Eichler Christopher
Department of Physics, ETH Zurich, CH-8093, Zurich, Switzerland.
Department of Physics, Friedrich-Alexander University Erlangen-Nürnberg (FAU), Erlangen, Germany.
Nat Commun. 2022 Jul 16;13(1):4144. doi: 10.1038/s41467-022-31679-5.
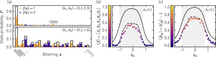
Quantum computing crucially relies on the ability to efficiently characterize the quantum states output by quantum hardware. Conventional methods which probe these states through direct measurements and classically computed correlations become computationally expensive when increasing the system size. Quantum neural networks tailored to recognize specific features of quantum states by combining unitary operations, measurements and feedforward promise to require fewer measurements and to tolerate errors. Here, we realize a quantum convolutional neural network (QCNN) on a 7-qubit superconducting quantum processor to identify symmetry-protected topological (SPT) phases of a spin model characterized by a non-zero string order parameter. We benchmark the performance of the QCNN based on approximate ground states of a family of cluster-Ising Hamiltonians which we prepare using a hardware-efficient, low-depth state preparation circuit. We find that, despite being composed of finite-fidelity gates itself, the QCNN recognizes the topological phase with higher fidelity than direct measurements of the string order parameter for the prepared states.
量子计算关键依赖于有效表征量子硬件输出的量子态的能力。通过直接测量和经典计算相关性来探测这些态的传统方法,在增加系统规模时计算成本会变得很高。通过结合酉操作、测量和前馈来识别量子态特定特征的量子神经网络有望需要更少的测量并能容忍误差。在此,我们在一个7量子比特超导量子处理器上实现了一个量子卷积神经网络(QCNN),以识别由非零弦序参量表征的自旋模型的对称保护拓扑(SPT)相。我们基于一族团簇伊辛哈密顿量的近似基态对QCNN的性能进行基准测试,这些基态是我们使用硬件高效、低深度的态制备电路制备的。我们发现,尽管QCNN本身由有限保真度的门组成,但它对制备态识别拓扑相的保真度高于对弦序参量的直接测量。