Suppr超能文献

基于“单一效应总和”模型的汇总数据精细定位。

Fine-mapping from summary data with the "Sum of Single Effects" model.

机构信息

Department of Statistics, University of Chicago, Chicago, Illinois, United States of America.

Department of Human Genetics, University of Chicago, Chicago, Illinois, United States of America.

出版信息

PLoS Genet. 2022 Jul 19;18(7):e1010299. doi: 10.1371/journal.pgen.1010299. eCollection 2022 Jul.

Abstract

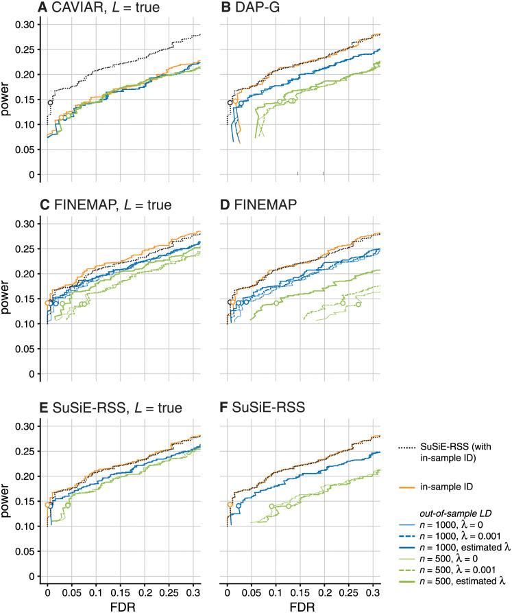
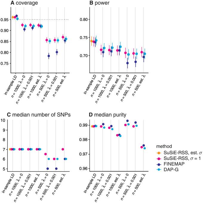
In recent work, Wang et al introduced the "Sum of Single Effects" (SuSiE) model, and showed that it provides a simple and efficient approach to fine-mapping genetic variants from individual-level data. Here we present new methods for fitting the SuSiE model to summary data, for example to single-SNP z-scores from an association study and linkage disequilibrium (LD) values estimated from a suitable reference panel. To develop these new methods, we first describe a simple, generic strategy for extending any individual-level data method to deal with summary data. The key idea is to replace the usual regression likelihood with an analogous likelihood based on summary data. We show that existing fine-mapping methods such as FINEMAP and CAVIAR also (implicitly) use this strategy, but in different ways, and so this provides a common framework for understanding different methods for fine-mapping. We investigate other common practical issues in fine-mapping with summary data, including problems caused by inconsistencies between the z-scores and LD estimates, and we develop diagnostics to identify these inconsistencies. We also present a new refinement procedure that improves model fits in some data sets, and hence improves overall reliability of the SuSiE fine-mapping results. Detailed evaluations of fine-mapping methods in a range of simulated data sets show that SuSiE applied to summary data is competitive, in both speed and accuracy, with the best available fine-mapping methods for summary data.

摘要

在最近的工作中,Wang 等人引入了“单个效应总和”(SuSiE)模型,并表明它为从个体水平数据精细映射遗传变异提供了一种简单而有效的方法。在这里,我们提出了适用于汇总数据的 SuSiE 模型的新拟合方法,例如关联研究中单 SNP z 分数和从合适的参考面板估计的连锁不平衡 (LD) 值。为了开发这些新方法,我们首先描述了一种简单通用的策略,用于扩展任何个体水平数据方法以处理汇总数据。关键思想是用基于汇总数据的类似似然来代替通常的回归似然。我们表明,现有的精细映射方法,如 FINEMAP 和 CAVIAR,也(隐含地)使用这种策略,但方式不同,因此这为理解不同的精细映射方法提供了一个共同的框架。我们研究了汇总数据精细映射中的其他常见实际问题,包括 z 分数和 LD 估计之间不一致引起的问题,我们开发了诊断工具来识别这些不一致。我们还提出了一种新的细化程序,该程序可以改善某些数据集的模型拟合度,从而提高 SuSiE 精细映射结果的整体可靠性。在一系列模拟数据集上对精细映射方法的详细评估表明,在速度和准确性方面,应用于汇总数据的 SuSiE 与汇总数据的最佳可用精细映射方法具有竞争力。

https://cdn.ncbi.nlm.nih.gov/pmc/blobs/e18e/9337707/2f81609f352c/pgen.1010299.g001.jpg

文献检索

告别复杂PubMed语法,用中文像聊天一样搜索,搜遍4000万医学文献。AI智能推荐,让科研检索更轻松。

立即免费搜索

文件翻译

保留排版,准确专业,支持PDF/Word/PPT等文件格式,支持 12+语言互译。

免费翻译文档

深度研究

AI帮你快速写综述,25分钟生成高质量综述,智能提取关键信息,辅助科研写作。

立即免费体验